Hướng Dẫn Giải Toán Cao Cấp Với Ma Trận: Từ Cơ Bản Đến Nâng Cao

Giải toán cao cấp ma trận là một kỹ năng quan trọng trong nhiều lĩnh vực khoa học và kỹ thuật. Bài viết này sẽ cung cấp một cái nhìn toàn diện về các phép toán cơ bản trên ma trận, cách tìm ma trận nghịch đảo, và ứng dụng giải hệ phương trình tuyến tính, đi kèm với những ví dụ minh họa chi tiết và dễ hiểu.

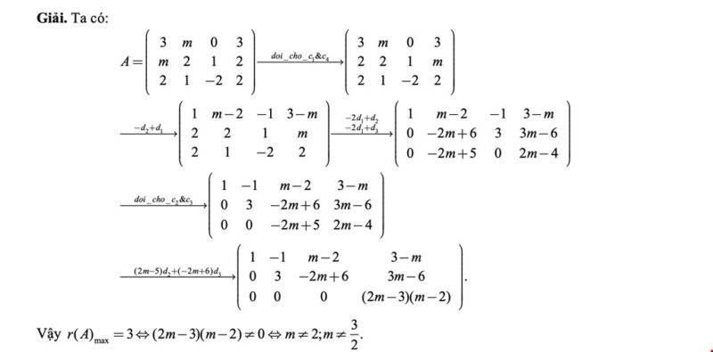
Đề Bài
Trong phần này, chúng ta sẽ đi qua các phương pháp giải và lời giải chi tiết cho các dạng bài tập về ma trận. Các bước được trình bày cụ thể và dễ hiểu để giúp bạn nắm bắt và áp dụng một cách hiệu quả.

Phân Tích Yêu Cầu
Nội dung gốc cung cấp các kiến thức cơ bản về ma trận bao gồm phép cộng, trừ, nhân ma trận, ma trận nghịch đảo và ứng dụng giải hệ phương trình tuyến tính. Yêu cầu của bài viết là trình bày rõ ràng, chi tiết các phương pháp này, kèm theo ví dụ minh họa để người đọc dễ dàng tiếp thu và áp dụng.
Kiến Thức/Nền Tảng Cần Dùng
Để tiếp cận các bài toán liên quan đến ma trận, chúng ta cần nắm vững một số khái niệm và quy tắc cơ bản. Dưới đây là những kiến thức nền tảng quan trọng:
1. Khái Niệm Cơ Bản Về Ma Trận
Ma trận là một bảng chữ nhật gồm các số thực hoặc phức, được sắp xếp thành hàng và cột.
- Một ma trận có kích thước $m times n$ có $m$ hàng và $n$ cột.
- Phần tử của ma trận thường được ký hiệu là a_{ij}, trong đó $i$ là chỉ số hàng và $j$ là chỉ số cột.
2. Phép Cộng và Trừ Ma Trận
Hai ma trận chỉ có thể cộng hoặc trừ với nhau nếu chúng có cùng kích thước (cùng số hàng và cùng số cột). Phép toán này được thực hiện bằng cách cộng hoặc trừ từng cặp phần tử tương ứng.
Nếu có hai ma trận A = (a<em>{ij}) và B = (b</em>{ij}) cùng kích thước $m times n$, thì ma trận kết quả C = A + B hoặc C = A - B cũng có kích thước $m times n$, với các phần tử được tính như sau:
c<em>{ij} = a</em>{ij} + b<em>{ij} (cho phép cộng)
c</em>{ij} = a<em>{ij} - b</em>{ij} (cho phép trừ)
3. Phép Nhân Ma Trận
Phép nhân hai ma trận $A$ và $B$ (theo thứ tự $A times B$) chỉ được thực hiện khi số cột của ma trận $A$ bằng số hàng của ma trận $B$. Nếu $A$ có kích thước $m times n$ và $B$ có kích thước $n times p$, thì ma trận kết quả C = A \times B sẽ có kích thước $m times p$.
Phần tử c<em>{ij} (phần tử ở hàng $i$, cột $j$ của ma trận $C$) được tính bằng tổng của tích các phần tử của hàng $i$ trong ma trận $A$ với các phần tử tương ứng của cột $j$ trong ma trận $B$. Cụ thể:
c</em>{ij} = sum<em>{k=1}^{n} a</em>{ik} b<em>{kj} = a</em>{i1}b<em>{1j} + a</em>{i2}b<em>{2j} + \ldots + a</em>{in}b_{nj}
Lưu ý rằng phép nhân ma trận thường không có tính giao hoán, nghĩa là A \times B \ne B \times A ngay cả khi cả hai phép nhân đều thực hiện được.
4. Ma Trận Nghịch Đảo
Ma trận nghịch đảo của một ma trận vuông $A$, ký hiệu là A^{-1}, là ma trận sao cho khi nhân với $A$ (theo cả hai thứ tự) đều cho kết quả là ma trận đơn vị $I$: A \times A^{-1} = A^{-1} \times A = I.
Một ma trận có ma trận nghịch đảo được gọi là ma trận khả nghịch. Ma trận vuông có định thức khác 0 thì nó khả nghịch.
Công thức tổng quát để tìm ma trận nghịch đảo của ma trận $A$ là:
A^{-1} = \frac{1}{\text{det}(A)} \text{adj}(A)
trong đó:
- \text{det}(A) là định thức của ma trận $A$.
- \text{adj}(A) là ma trận phụ hợp (adjugate) của $A$, được tính bằng chuyển vị của ma trận đồng yếu tố (cofactor matrix) của $A$.
5. Giải Hệ Phương Trình Tuyến Tính Sử Dụng Ma Trận
Một hệ phương trình tuyến tính có thể được biểu diễn dưới dạng ma trận AX = B, trong đó:
- $A$ là ma trận hệ số của các ẩn.
- $X$ là vector cột chứa các ẩn số.
- $B$ là vector cột chứa các hệ số tự do.
Nếu ma trận hệ số $A$ là ma trận vuông và khả nghịch (tức là \text{det}(A) \ne 0), thì hệ phương trình có một nghiệm duy nhất được tìm bằng công thức:
X = A^{-1}B
Nếu ma trận hệ số không khả nghịch, hệ có thể có vô số nghiệm hoặc vô nghiệm, cần các phương pháp khác (như phương pháp Gauss-Jordan) để xác định.
Hướng Dẫn Giải Chi Tiết
Chúng ta sẽ đi sâu vào từng loại phép toán và ứng dụng với các ví dụ cụ thể.
1. Phép Cộng và Trừ Ma Trận
Để cộng hoặc trừ hai ma trận cùng kích thước, ta chỉ cần cộng hoặc trừ từng phần tử tương ứng của hai ma trận. Dưới đây là các bước chi tiết:
- Kiểm tra kích thước: Đảm bảo hai ma trận có cùng số hàng và cùng số cột. Nếu không, phép cộng/trừ không thể thực hiện.
- Thực hiện phép toán trên từng phần tử: Phần tử ở hàng $i$, cột $j$ của ma trận kết quả sẽ là tổng hoặc hiệu của phần tử ở hàng $i$, cột $j$ của hai ma trận ban đầu.
Ví dụ: Cho hai ma trận $A$ và $B$ có kích thước $3 times 3$ như sau:
Ma trận A:
\begin{bmatrix} 1 & 2 & 3 4 & 5 & 6 7 & 8 & 9 \end{bmatrix}
Ma trận B:
\begin{bmatrix} 9 & 8 & 7 6 & 5 & 4 3 & 2 & 1 \end{bmatrix}
Phép cộng A + B:
Ta cộng từng phần tử tương ứng:
A + B = \begin{bmatrix} 1+9 & 2+8 & 3+7 4+6 & 5+5 & 6+4 7+3 & 8+2 & 9+1 \end{bmatrix} = \begin{bmatrix} 10 & 10 & 10 10 & 10 & 10 10 & 10 & 10 \end{bmatrix}
Phép trừ A – B:
A - B = \begin{bmatrix} 1-9 & 2-8 & 3-7 4-6 & 5-5 & 6-4 7-3 & 8-2 & 9-1 \end{bmatrix} = \begin{bmatrix} -8 & -6 & -4 -2 & 0 & 2 4 & 6 & 8 \end{bmatrix}
Mẹo kiểm tra: Sau khi cộng/trừ, bạn có thể kiểm tra lại bằng cách thực hiện phép toán ngược lại (ví dụ, nếu C = A + B, thì C - B phải bằng $A$).
Lỗi hay gặp: Nhầm lẫn hoặc sai sót trong quá trình cộng/trừ các số nguyên, hoặc cố gắng thực hiện phép toán trên các ma trận không cùng kích thước.
2. Phép Nhân Ma Trận
Phép nhân hai ma trận $A$ và $B$ có thể thực hiện khi số cột của ma trận $A$ bằng số hàng của ma trận $B$. Kết quả của phép nhân sẽ là một ma trận mới với kích thước là số hàng của $A$ và số cột của $B$. Các bước chi tiết:
- Kiểm tra điều kiện nhân: Đảm bảo số cột của ma trận thứ nhất bằng số hàng của ma trận thứ hai. Nếu ma trận $A$ có kích thước $m times n$ và ma trận $B$ có kích thước $n times p$, thì phép nhân $A times B$ thực hiện được và ma trận kết quả có kích thước $m times p$.
- Tính từng phần tử: Phần tử ở hàng $i$, cột $j$ của ma trận kết quả (C<em>{ij}) bằng tổng của các tích, trong đó ta nhân phần tử thứ $k$ của hàng $i$ (từ ma trận $A$) với phần tử thứ $k$ của cột $j$ (từ ma trận $B$), rồi cộng tất cả lại. Công thức:
C</em>{ij} = sum<em>{k=1}^{n} a</em>{ik} \times b_{kj}
Ví dụ: Nhân ma trận $A$ ($2 times 3$) và ma trận $B$ ($3 times 2$):
Ma trận A:
\begin{bmatrix} 1 & 2 & 3 4 & 5 & 6 \end{bmatrix}
Ma trận B:
\begin{bmatrix} 7 & 8 9 & 10 11 & 12 \end{bmatrix}
Ma trận kết quả C = A \times B sẽ có kích thước $2 times 2$.
- Phần tử C<em>{11} (hàng 1, cột 1): Lấy hàng 1 của $A$ nhân với cột 1 của $B$.
C</em>{11} = (1 \times 7) + (2 \times 9) + (3 \times 11) = 7 + 18 + 33 = 58 - Phần tử C<em>{12} (hàng 1, cột 2): Lấy hàng 1 của $A$ nhân với cột 2 của $B$.
C</em>{12} = (1 \times 8) + (2 \times 10) + (3 \times 12) = 8 + 20 + 36 = 64 - Phần tử C<em>{21} (hàng 2, cột 1): Lấy hàng 2 của $A$ nhân với cột 1 của $B$.
C</em>{21} = (4 \times 7) + (5 \times 9) + (6 \times 11) = 28 + 45 + 66 = 139 - Phần tử C<em>{22} (hàng 2, cột 2): Lấy hàng 2 của $A$ nhân với cột 2 của $B$.
C</em>{22} = (4 \times 8) + (5 \times 10) + (6 \times 12) = 32 + 50 + 72 = 154
Vậy, phép nhân $A times B$:
\begin{bmatrix} 58 & 64 139 & 154 \end{bmatrix}
Mẹo kiểm tra: Có thể thử nhân $B times A$ nếu điều kiện cho phép. Nếu A \times B \ne B \times A, điều này là bình thường. Nếu bạn tính toán một phần tử nhiều lần và ra các kết quả khác nhau, có thể bạn đã nhầm lẫn trong quá trình nhân hoặc cộng.
Lỗi hay gặp:
- Nhầm lẫn giữa phép cộng và phép nhân các phần tử.
- Thực hiện sai thứ tự nhân (ví dụ, nhân chéo thay vì nhân hàng với cột).
- Cố gắng nhân các ma trận không thỏa mãn điều kiện.
- Nhầm lẫn thứ tự các phần tử khi thực hiện phép nhân và cộng.
3. Ma Trận Nghịch Đảo
Để tìm ma trận nghịch đảo của ma trận vuông $A$ (khi $A$ khả nghịch), ta sử dụng công thức:
A^{-1} = \frac{1}{\text{det}(A)} \text{adj}(A)
Trong đó:
- \text{det}(A) là định thức của ma trận $A$.
- \text{adj}(A) là ma trận phụ hợp (adjugate) của $A$.
Các bước thực hiện:
- Tính định thức của A (\text{det}(A)): Nếu \text{det}(A) = 0, ma trận $A$ không có nghịch đảo.
- Tìm ma trận đồng yếu tố (Cofactor Matrix): Với mỗi phần tử a<em>{ij}, tính C</em>{ij} = (-1)^{i+j} M<em>{ij}, trong đó M</em>{ij} là định thức của ma trận con thu được bằng cách bỏ đi hàng $i$ và cột $j$ của $A$.
- Tìm ma trận phụ hợp (\text{adj}(A)): Lấy chuyển vị của ma trận đồng yếu tố vừa tìm được. \text{adj}(A) = C^T.
- Tính nghịch đảo: Nhân ma trận phụ hợp với \frac{1}{\text{det}(A)}.
Ví dụ: Tìm ma trận nghịch đảo của:
\begin{bmatrix} 4 & 7 2 & 6 \end{bmatrix}
Bước 1: Tính định thức A
Ma trận $A$ có kích thước $2 times 2$. Định thức của ma trận $2 times 2$ \begin{bmatrix} a & b c & d \end{bmatrix} là ad - bc.
\text{det}(A) = (4 \times 6) - (7 \times 2) = 24 - 14 = 10.
Vì \text{det}(A) = 10 \ne 0, ma trận này có nghịch đảo.
Bước 2: Tìm ma trận đồng yếu tố
Với ma trận $2 times 2$ \begin{bmatrix} a & b c & d \end{bmatrix}:
C<em>{11} = (-1)^{1+1} M</em>{11} = + \text{det}([6]) = 6
C<em>{12} = (-1)^{1+2} M</em>{12} = - \text{det}([2]) = -2
C<em>{21} = (-1)^{2+1} M</em>{21} = - \text{det}([7]) = -7
C<em>{22} = (-1)^{2+2} M</em>{22} = + \text{det}([4]) = 4
Ma trận đồng yếu tố là:
\begin{bmatrix} 6 & -2 -7 & 4 \end{bmatrix}
Bước 3: Tìm ma trận phụ hợp
Chuyển vị của ma trận đồng yếu tố:
\text{adj}(A) = \begin{bmatrix} 6 & -7 -2 & 4 \end{bmatrix}
Bước 4: Tính nghịch đảo
A^{-1} = \frac{1}{10} \begin{bmatrix} 6 & -7 -2 & 4 \end{bmatrix} = \begin{bmatrix} \frac{6}{10} & \frac{-7}{10} \frac{-2}{10} & \frac{4}{10} \end{bmatrix} = \begin{bmatrix} 0.6 & -0.7 -0.2 & 0.4 \end{bmatrix}
Vậy, ma trận nghịch đảo của \begin{bmatrix} 4 & 7 2 & 6 \end{bmatrix} là \begin{bmatrix} 0.6 & -0.7 -0.2 & 0.4 \end{bmatrix}.
Mẹo kiểm tra: Nhân $A$ với A^{-1} để xem kết quả có phải là ma trận đơn vị $I$ hay không.
A \times A^{-1} = \begin{bmatrix} 4 & 7 2 & 6 \end{bmatrix} \begin{bmatrix} 0.6 & -0.7 -0.2 & 0.4 \end{bmatrix} = \begin{bmatrix} (4 \times 0.6) + (7 \times -0.2) & (4 \times -0.7) + (7 \times 0.4) (2 \times 0.6) + (6 \times -0.2) & (2 \times -0.7) + (6 \times 0.4) \end{bmatrix}
= \begin{bmatrix} 2.4 - 1.4 & -2.8 + 2.8 1.2 - 1.2 & -1.4 + 2.4 \end{bmatrix} = \begin{bmatrix} 1 & 0 0 & 1 \end{bmatrix} = I
Lỗi hay gặp: Tính sai định thức, nhầm lẫn công thức tính đồng yếu tố, quên chuyển vị ma trận đồng yếu tố, hoặc sai sót trong phép nhân khi tính A \times A^{-1}.
4. Giải Hệ Phương Trình Tuyến Tính Sử Dụng Ma Trận
Hệ phương trình tuyến tính có thể giải bằng cách sử dụng ma trận và phép nhân ma trận. Để giải hệ phương trình dạng AX = B, ta thực hiện các bước sau:
- Viết hệ dưới dạng ma trận: Chuyển đổi hệ phương trình đã cho thành dạng AX = B, trong đó $A$ là ma trận hệ số, $X$ là vector ẩn, và $B$ là vector hằng số.
- Kiểm tra ma trận hệ số A: Xác định xem $A$ có phải là ma trận vuông và có khả nghịch hay không (bằng cách tính định thức).
- Tìm nghịch đảo của A (A^{-1}): Nếu $A$ khả nghịch, tính ma trận nghịch đảo A^{-1}.
- Tìm nghiệm: Nhân ma trận nghịch đảo A^{-1} với vector $B$ để tìm vector ẩn $X$: X = A^{-1}B.
Ví dụ: Giải hệ phương trình:
\begin{cases} 2x + 3y = 5 4x + 6y = 10 \end{cases}
Bước 1: Viết hệ dưới dạng ma trận
Ma trận hệ số $A$:
\begin{bmatrix} 2 & 3 4 & 6 \end{bmatrix}
Vector ẩn $X$:
\begin{bmatrix} x y \end{bmatrix}
Vector hằng số $B$:
\begin{bmatrix} 5 10 \end{bmatrix}
Vậy hệ phương trình có dạng AX = B:
\begin{bmatrix} 2 & 3 4 & 6 \end{bmatrix} \begin{bmatrix} x y \end{bmatrix} = \begin{bmatrix} 5 10 \end{bmatrix}
Bước 2: Kiểm tra ma trận hệ số A
Tính định thức của $A$:
\text{det}(A) = (2 \times 6) - (3 \times 4) = 12 - 12 = 0.
Kết quả: Vì định thức của ma trận hệ số bằng 0, ma trận $A$ không khả nghịch. Trong trường hợp này, hệ phương trình có thể vô nghiệm hoặc có vô số nghiệm. Phương pháp sử dụng ma trận nghịch đảo không áp dụng được trực tiếp để tìm nghiệm duy nhất.
Để xác định chính xác, ta có thể phân tích sâu hơn. Nhận thấy phương trình thứ hai (4x + 6y = 10) thực chất là phương trình thứ nhất (2x + 3y = 5) nhân với 2. Điều này cho thấy hai phương trình này biểu diễn cùng một đường thẳng. Do đó, hệ phương trình này có vô số nghiệm.
Ví dụ khác (hệ có nghiệm duy nhất): Giải hệ phương trình:
\begin{cases} x + 2y = 4 3x + 5y = 11 \end{cases}
Bước 1: Viết hệ dưới dạng ma trận
A = \begin{bmatrix} 1 & 2 3 & 5 \end{bmatrix}, X = \begin{bmatrix} x y \end{bmatrix}, B = \begin{bmatrix} 4 11 \end{bmatrix}
\begin{bmatrix} 1 & 2 3 & 5 \end{bmatrix} \begin{bmatrix} x y \end{bmatrix} = \begin{bmatrix} 4 11 \end{bmatrix}
Bước 2: Kiểm tra ma trận hệ số A
\text{det}(A) = (1 \times 5) - (2 \times 3) = 5 - 6 = -1.
Vì \text{det}(A) = -1 \ne 0, ma trận $A$ khả nghịch.
Bước 3: Tìm nghịch đảo của A
Ma trận đồng yếu tố: \begin{bmatrix} 5 & -3 -2 & 1 \end{bmatrix}
Ma trận phụ hợp: \text{adj}(A) = \begin{bmatrix} 5 & -2 -3 & 1 \end{bmatrix}
A^{-1} = \frac{1}{-1} \begin{bmatrix} 5 & -2 -3 & 1 \end{bmatrix} = \begin{bmatrix} -5 & 2 3 & -1 \end{bmatrix}
Bước 4: Tìm nghiệm
X = A^{-1}B = \begin{bmatrix} -5 & 2 3 & -1 \end{bmatrix} \begin{bmatrix} 4 11 \end{bmatrix}
X = \begin{bmatrix} (-5 \times 4) + (2 \times 11) (3 \times 4) + (-1 \times 11) \end{bmatrix} = \begin{bmatrix} -20 + 22 12 - 11 \end{bmatrix} = \begin{bmatrix} 2 1 \end{bmatrix}
Vậy nghiệm của hệ phương trình là x = 2 và y = 1.
Mẹo kiểm tra: Thay giá trị của $x$ và $y$ vào các phương trình ban đầu để đảm bảo chúng thỏa mãn.
Phương trình 1: 1(2) + 2(1) = 2 + 2 = 4 (Đúng)
Phương trình 2: 3(2) + 5(1) = 6 + 5 = 11 (Đúng)
Lỗi hay gặp:
- Nhầm lẫn giữa ma trận hệ số, vector ẩn và vector hằng số.
- Tính sai định thức dẫn đến kết luận sai về khả năng tồn tại nghiệm duy nhất.
- Sai sót trong quá trình tính ma trận nghịch đảo.
- Thực hiện sai phép nhân ma trận nghịch đảo với vector hằng số.
Kết Luận
Việc thành thạo các phép toán ma trận như cộng, trừ, nhân và tìm ma trận nghịch đảo mở ra cánh cửa giải quyết nhiều bài toán phức tạp trong toán học ứng dụng và các ngành khoa học kỹ thuật. Khi đối mặt với hệ phương trình tuyến tính, việc biểu diễn dưới dạng ma trận và sử dụng ma trận nghịch đảo là một phương pháp mạnh mẽ, cho phép tìm ra nghiệm một cách hiệu quả, miễn là ma trận hệ số khả nghịch. Hãy luyện tập thường xuyên với các bài tập đa dạng để củng cố kiến thức và nâng cao kỹ năng giải toán cao cấp ma trận.
Ngày chỉnh sửa nội dung mới nhất Tháng 1 6, 2026 by Thầy Đông

Thầy Đông – Giảng viên Đại học Công nghiệp Hà Nội, giáo viên luyện thi THPT
Thầy Đông bắt đầu sự nghiệp tại một trường THPT ở quê nhà, sau đó trúng tuyển giảng viên Đại học Công nghiệp Hà Nội nhờ chuyên môn vững và kinh nghiệm giảng dạy thực tế. Với nhiều năm đồng hành cùng học sinh, thầy được biết đến bởi phong cách giảng dạy rõ ràng, dễ hiểu và gần gũi. Hiện thầy giảng dạy tại dehocsinhgioi, tiếp tục truyền cảm hứng học tập cho học sinh cấp 3 thông qua các bài giảng súc tích, thực tiễn và giàu nhiệt huyết.
