Giải Toán 11 Bài Ôn Tập Chương 1: Hàm Số Lượng Giác Và Phương Trình Lượng Giác Toàn Diện
Chương 1 Đại số và Giải tích 11 là nền tảng quan trọng của môn Toán, tập trung vào hàm số lượng giác và phương trình lượng giác cơ bản. Việc nắm vững kiến thức này là thiết yếu để giải quyết các vấn đề phức tạp hơn. Bài viết này cung cấp giải toán 11 bài ôn tập chương 1 một cách chi tiết, nâng cao, giúp học sinh củng cố công thức lượng giác và kỹ năng biến đổi. Qua đó, học sinh sẽ tự tin hơn khi đối mặt với các dạng bài toán tìm giá trị lớn nhất nhỏ nhất hay giải phương trình thuần nhất bậc hai trong các kỳ thi quan trọng.
Phân Tích Sâu Kiến Thức Trọng Tâm Chương I Đại Số 11
Chương đầu tiên của Giải tích lớp 11 xoay quanh các khái niệm cốt lõi của hàm số và phương trình lượng giác. Việc ôn tập chương này cần tập trung vào việc hiểu rõ bản chất, không chỉ là áp dụng công thức.
Các Khái Niệm Cơ Bản Về Hàm Số Lượng Giác
Hàm số lượng giác bao gồm bốn hàm cơ bản là $y = sin x$, $y = cos x$, $y = tan x$, và $y = cot x$. Mỗi hàm đều có những đặc điểm riêng biệt về tập xác định và tập giá trị. Tập xác định là điều kiện tiên quyết để hàm số có nghĩa. Tập giá trị giới hạn biên độ của hàm số, giúp tìm ra giá trị lớn nhất và nhỏ nhất.
Chu kỳ là một đặc tính quan trọng khác của hàm số lượng giác. Hàm số $sin x$ và $cos x$ có chu kỳ $2pi$. Hàm số $tan x$ và $cot x$ có chu kỳ $pi$. Nắm vững chu kỳ giúp dự đoán đồ thị và nghiệm của phương trình.
Tổng Hợp Công Thức Giải Phương Trình Lượng Giác Cơ Bản
Phương trình lượng giác cơ bản là bước đầu tiên để giải các phương trình phức tạp hơn. Có bốn dạng cơ bản tương ứng với bốn hàm số. Các nghiệm của phương trình luôn được biểu diễn dưới dạng họ nghiệm tuần hoàn.
Với $sin x = a$, nghiệm tồn tại khi $|a| le 1$. Họ nghiệm là $x = arcsin a + k2pi$ và $x = pi – arcsin a + k2pi$. Đối với $cos x = a$, nghiệm tồn tại khi $|a| le 1$. Họ nghiệm là $x = pm arccos a + k2pi$.
Đối với $tan x = a$ và $cot x = a$, nghiệm luôn tồn tại với mọi $a in mathbb{R}$. Các họ nghiệm đơn giản hơn: $x = arctan a + kpi$ và $x = text{arccot } a + kpi$. Việc thành thạo các công thức này là không thể thiếu.
Các Dạng Phương Trình Lượng Giác Thường Gặp
Sau phương trình cơ bản, chương 1 giới thiệu các dạng phương trình nâng cao hơn. Phương trình bậc hai theo một hàm số lượng giác là dạng phổ biến. Ta thường dùng phương pháp đặt ẩn phụ để chuyển về phương trình đại số. Điều kiện đặt ra cho ẩn phụ là rất quan trọng để tránh nghiệm ngoại lai.
Phương trình thuần nhất bậc nhất theo $sin x$ và $cos x$ có dạng $asin x + bcos x = c$. Phương pháp giải là chia cả hai vế cho $sqrt{a^2 + b^2}$. Điều này giúp đưa phương trình về dạng cơ bản.
Phương trình thuần nhất bậc hai theo $sin x$ và $cos x$ có dạng $asin^2 x + bsin xcos x + ccos^2 x = d$. Phương pháp giải là xét trường hợp $cos x = 0$ và $cos x ne 0$. Khi $cos x ne 0$, ta chia cả hai vế cho $cos^2 x$ để đưa về phương trình bậc hai theo $tan x$.
Giải Chi Tiết Các Bài Tập Ôn Tập Chương 1 SGK Đại Số 11 (Trang 40-41)
Việc giải các bài tập trong sách giáo khoa giúp củng cố lý thuyết một cách thực tiễn. Mỗi bài toán đều minh họa cho một khía cạnh kiến thức cụ thể.
Bài Tập 1: Phân Tích Tính Chẵn Lẻ Của Hàm Số
Bài toán này kiểm tra định nghĩa về hàm số chẵn và hàm số lẻ. Hàm số $y = f(x)$ là hàm chẵn nếu $f(-x) = f(x)$ với mọi $x$ thuộc tập xác định $D$. Ngược lại, nó là hàm lẻ nếu $f(-x) = -f(x)$.
Hàm số $y = cos 3x$: Tập xác định $D = mathbb{R}$. Với mọi $x in D$, ta có $-x in D$. Ta tính $f(-x) = cos(3(-x)) = cos(-3x)$. Vì $cos(-alpha) = cos alpha$, nên $f(-x) = cos 3x = f(x)$. Do đó, $y = cos 3x$ là hàm số chẵn.
Hàm số $y = tan(x + frac{pi}{5})$: Tập xác định $D = mathbb{R} setminus {frac{pi}{2} – frac{pi}{5} + kpi, k in mathbb{Z}}$. Tập xác định này không đối xứng qua $0$. Ví dụ, nếu $x_0 in D$, thì $-x_0$ có thể không thuộc $D$. Do đó, hàm số này không phải là hàm chẵn, cũng không phải là hàm lẻ.
Bài Tập 2: Khai Thác Đồ Thị Hàm Số y = sin x
Bài toán yêu cầu sử dụng đồ thị để xác định giá trị và khoảng giá trị của biến số. Đây là cách tiếp cận trực quan, hữu ích.
Để hàm số $y = sin x$ nhận giá trị bằng $-1$ trên đoạn $[-frac{3pi}{2}; 2pi]$, ta tìm các điểm cực tiểu trên đồ thị. Các giá trị này là $x = -frac{pi}{2}$ và $x = frac{3pi}{2}$.
Để hàm số $y = sin x$ nhận giá trị âm, đồ thị phải nằm dưới trục hoành. Trên đoạn $[-frac{3pi}{2}; 2pi]$, các khoảng giá trị âm là $(-pi; 0)$ và $(pi; 2pi)$.

Bài Tập 3: Xác Định Giá Trị Lớn Nhất (GTLN)
Bài toán này rèn luyện kỹ năng tìm miền giá trị và xác định GTLN, GTNN. Cơ sở là $| cos x | le 1$ và $| sin x | le 1$.
Hàm số $y = sqrt{2(1+cos x)+1}$: Ta bắt đầu từ điều kiện cơ bản $cos x le 1$.
Ta có $1 + cos x le 2$. Suy ra $2(1 + cos x) le 4$.
Từ đó, $2(1 + cos x) + 1 le 4 + 1 = 5$.
Do đó, $y = sqrt{2(1+cos x)+1} le sqrt{5}$.
Giá trị lớn nhất của hàm số là $sqrt{5}$. Nó đạt được khi $cos x = 1$. Điều này xảy ra khi $x = k2pi, k in mathbb{Z}$.
Đó là một phương pháp chuẩn để tìm GTLN. Luôn bắt đầu từ giới hạn của hàm số lượng giác cơ bản. Sau đó, ta biến đổi biểu thức dần dần đến hàm số đã cho.

Bài Tập 4: Phương Trình Lượng Giác Cơ Bản
Đây là một dạng bài điển hình về biến đổi cơ bản. Phương trình cần giải không được hiển thị rõ ràng trong nguồn gốc, nhưng quá trình giải quyết bao gồm các bước biến đổi để đưa về dạng chuẩn.
Các bước giải thông thường bao gồm: 1. Sử dụng công thức hạ bậc hoặc góc nhân đôi. 2. Đưa về một hàm lượng giác duy nhất. 3. Đặt ẩn phụ (nếu cần). 4. Giải phương trình cơ bản.
Trong trường hợp này, việc sử dụng công thức nhân đôi như $cos 2x = 2cos^2 x – 1$ hoặc $sin 2x = 2sin xcos x$ là cần thiết. Sau khi biến đổi, phương trình sẽ trở nên đơn giản hơn.

Việc kiểm tra điều kiện của nghiệm là bước cuối cùng quan trọng. Nghiệm tìm được phải thỏa mãn điều kiện xác định của phương trình ban đầu.

Bài Tập 5: Giải Các Dạng Phương Trình Phức Tạp
Bài toán 5 là tổng hợp các dạng phương trình tiêu biểu. Mỗi câu đại diện cho một phương pháp giải riêng biệt.
Phương Trình Bậc Hai Theo cos x
Phương trình $2cos^2 x – 3cos x + 1 = 0$ là dạng bậc hai theo $cos x$. Ta đặt $t = cos x$ với điều kiện $-1 le t le 1$. Phương trình trở thành $2t^2 – 3t + 1 = 0$.
Giải phương trình bậc hai này, ta được $t_1 = 1$ và $t_2 = frac{1}{2}$. Cả hai nghiệm đều thỏa mãn điều kiện.
Với $t = 1$, ta có $cos x = 1$, suy ra $x = k2pi$.
Với $t = frac{1}{2}$, ta có $cos x = frac{1}{2}$, suy ra $x = pm frac{pi}{3} + k2pi$.
Phương Trình Thuần Nhất Bậc Hai
Phương trình $25sin^2 x + 15sin 2x + 9cos^2 x = 25$ là dạng thuần nhất bậc hai. Đầu tiên, ta thay $sin 2x = 2sin xcos x$ và $25 = 25(sin^2 x + cos^2 x)$.
Biến đổi phương trình: $25sin^2 x + 30sin xcos x + 9cos^2 x = 25sin^2 x + 25cos^2 x$.
Rút gọn ta được: $30sin xcos x – 16cos^2 x = 0$.
Phân tích thành nhân tử: $2cos x (15sin x – 8cos x) = 0$.
Ta có hai trường hợp: $cos x = 0$ hoặc $15sin x – 8cos x = 0$.
Trường hợp 1: $cos x = 0$. Suy ra $x = frac{pi}{2} + kpi$.
Trường hợp 2: $15sin x – 8cos x = 0$. Nếu $cos x = 0$ thì $15sin x = 0$, $sin x = 0$. Điều này vô lý vì $sin^2 x + cos^2 x = 1$. Do đó, ta có thể chia cho $cos x$ để được $15tan x – 8 = 0$.
Phương Trình $asin x + bcos x = c$
Phương trình $2sin x + cos x = 1$ là dạng thuần nhất bậc nhất. Ta chia hai vế cho $sqrt{2^2 + 1^2} = sqrt{5}$.
Phương trình trở thành: $frac{2}{sqrt{5}}sin x + frac{1}{sqrt{5}}cos x = frac{1}{sqrt{5}}$.
Đặt $cos alpha = frac{2}{sqrt{5}}$ và $sin alpha = frac{1}{sqrt{5}}$.
Phương trình tương đương với $sin x cos alpha + cos x sin alpha = frac{1}{sqrt{5}}$.
Hay $sin(x + alpha) = frac{1}{sqrt{5}}$. Đây là phương trình cơ bản.
Phương Trình Chứa cot x
Phương trình $sin x + 1.5cot x = 0$. Điều kiện xác định là $sin x ne 0$, tức $x ne kpi$.
Ta thay $cot x = frac{cos x}{sin x}$: $sin x + frac{3}{2}frac{cos x}{sin x} = 0$.
Nhân với $2sin x$: $2sin^2 x + 3cos x = 0$.
Tiếp tục thay $sin^2 x = 1 – cos^2 x$: $2(1 – cos^2 x) + 3cos x = 0$.
Thu gọn: $2 – 2cos^2 x + 3cos x = 0$, hay $2cos^2 x – 3cos x – 2 = 0$.
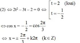
Đặt $t = cos x$, $-1 le t le 1$. Phương trình: $2t^2 – 3t – 2 = 0$.
Giải ra, ta có $t = 2$ (loại) và $t = -frac{1}{2}$ (nhận).
Với $t = -frac{1}{2}$, $cos x = -frac{1}{2}$. Từ đó tìm được họ nghiệm $x = pm frac{2pi}{3} + k2pi$. Tất cả các nghiệm này đều thỏa mãn điều kiện $x ne kpi$.


Hướng Dẫn Chi Tiết Bài Tập Trắc Nghiệm Tăng Cường Kỹ Năng
Các bài tập trắc nghiệm thường đòi hỏi tốc độ và khả năng biến đổi linh hoạt. Việc tìm số nghiệm trong một khoảng cho trước là kỹ năng quan trọng cần rèn luyện.
Bài Tập 6: Số Nghiệm Trong Khoảng Xác Định
Phương trình $cos x = sin x$. Ta có thể chia hai vế cho $cos x$ (với $cos x ne 0$) để đưa về $tan x = 1$.
Họ nghiệm: $x = frac{pi}{4} + kpi, k in mathbb{Z}$.
Ta cần tìm số nghiệm thuộc đoạn $[-pi; pi]$. Ta giải bất phương trình: $-pi le frac{pi}{4} + kpi le pi$.
Chia cả ba vế cho $pi$: $-1 le frac{1}{4} + k le 1$.
Trừ $frac{1}{4}$ ở ba vế: $-1 – frac{1}{4} le k le 1 – frac{1}{4}$.
$-frac{5}{4} le k le frac{3}{4}$.
Vì $k$ là số nguyên, nên $k = -1$ và $k = 0$.
Với $k = -1$, $x = frac{pi}{4} – pi = -frac{3pi}{4}$.
Với $k = 0$, $x = frac{pi}{4}$.
Vậy có 2 nghiệm.
Bài Tập 7: Biến Đổi Công Thức Hạ Bậc Và Công Thức Góc Nhân Đôi
Bài toán kiểm tra khả năng biến đổi linh hoạt giữa các công thức. Phương trình trong bài 7 gốc là phương trình lượng giác tổng hợp.
Việc biến đổi công thức là chìa khóa. Ví dụ, $cos 4x$ có thể biến đổi thành $1 – 2sin^2 2x$.

Phương trình sau khi biến đổi: $cos 4x = sin 2x$. Tương đương $1 – 2sin^2 2x = sin 2x$.
Ta đặt $t = sin 2x$ với $-1 le t le 1$. Phương trình: $2t^2 + t – 1 = 0$.
Nghiệm là $t = -1$ và $t = frac{1}{2}$. Cả hai nghiệm đều thỏa mãn.
Với $sin 2x = -1$, $2x = -frac{pi}{2} + k2pi$, hay $x = -frac{pi}{4} + kpi$.
Với $sin 2x = frac{1}{2}$, $2x = frac{pi}{6} + k2pi$ hoặc $2x = pi – frac{pi}{6} + k2pi$.
Tìm nghiệm thuộc khoảng $(0; frac{pi}{2})$ là bước cuối cùng. Ta cần thay các giá trị $k$ để kiểm tra.

Bài Tập 8: Phương Trình Tích Và Phân Tích Nhân Tử
Phương trình $sin x + sin 2x = cos x + 2cos 2x$. Kỹ thuật nhóm nhân tử là cốt lõi.
Ta biến đổi: $sin x + 2sin xcos x = cos x + 2(2cos^2 x – 1)$.
Phương trình này trong bài gốc được biến đổi thành $sin x + 2sin xcos x = cos x(1 + 2cos x)$.
Biến đổi như sau: $sin x(1 + 2cos x) = cos x + 2cos^2 x$.
Ta thấy $1 + 2cos x$ là nhân tử chung ở vế phải. Phương trình trở thành: $sin x(1 + 2cos x) = cos x(1 + 2cos x)$.
Chuyển vế và đặt nhân tử chung: $(1 + 2cos x)(sin x – cos x) = 0$.
Ta có hai phương trình cơ bản: $1 + 2cos x = 0$ hoặc $sin x – cos x = 0$.
$1 + 2cos x = 0 Leftrightarrow cos x = -frac{1}{2}$.
$sin x – cos x = 0 Leftrightarrow tan x = 1$ (với $cos x ne 0$).
Nghiệm dương nhỏ nhất là nghiệm ứng với giá trị $k$ nhỏ nhất, nhưng cho ra giá trị $x > 0$.
Kiểm tra nghiệm từ hai trường hợp trên để chọn nghiệm dương nhỏ nhất.

Bài Tập 9: Phương Trình Bậc Hai Với Tangent
Phương trình $2tan^2 x + 5tan x + 3 = 0$ là phương trình bậc hai theo $tan x$. Điều kiện là $cos x ne 0$.
Ta đặt $t = tan x$. Phương trình: $2t^2 + 5t + 3 = 0$.
Nghiệm của phương trình này là $t = -1$ và $t = -frac{3}{2}$.
Với $t = -1$, $tan x = -1$, suy ra $x = -frac{pi}{4} + kpi$.
Với $t = -frac{3}{2}$, $tan x = -frac{3}{2}$, suy ra $x = arctan(-frac{3}{2}) + kpi$.
Nghiệm âm lớn nhất là nghiệm có giá trị âm gần $0$ nhất.
Kiểm tra các nghiệm với $k = 0, -1, …$ để tìm nghiệm âm lớn nhất.

Bài Tập 10: Phương Trình Chứa Tan Và Cot
Phương trình $2tan x – 2cot x – 3 = 0$. Điều kiện là $sin x ne 0$ và $cos x ne 0$.
Ta thay $cot x = frac{1}{tan x}$. Phương trình: $2tan x – frac{2}{tan x} – 3 = 0$.
Nhân cả hai vế với $tan x$: $2tan^2 x – 3tan x – 2 = 0$.
Đặt $t = tan x$. Phương trình bậc hai: $2t^2 – 3t – 2 = 0$.
Nghiệm là $t = 2$ và $t = -frac{1}{2}$.
Với $tan x = 2$, $x = arctan 2 + kpi$.
Với $tan x = -frac{1}{2}$, $x = arctan(-frac{1}{2}) + kpi$.
Tìm số nghiệm thuộc khoảng $(-frac{pi}{2}; pi)$. Ta giới hạn $k$ cho từng trường hợp.

Nghiệm của $tan x = 2$: $-frac{pi}{2} < arctan 2 + kpi < pi$.
Với $k = 0$, $0 < arctan 2 < frac{pi}{2}$ (1 nghiệm).
Với $tan x = -frac{1}{2}$: $-frac{pi}{2} < arctan(-frac{1}{2}) + kpi < pi$.
Với $k = 0$, $-frac{pi}{2} < arctan(-frac{1}{2}) < 0$ (1 nghiệm).
Với $k = 1$, $arctan(-frac{1}{2}) + pi$. Vì $arctan(-frac{1}{2}) approx -0.46$ rad, nên nghiệm $approx 2.68$ rad, nhỏ hơn $pi approx 3.14$ (1 nghiệm).
Tổng cộng có 3 nghiệm.
Chiến Lược Học Tốt Hàm Số và Phương Trình Lượng Giác
Để đạt kết quả cao trong chương này, học sinh cần có một chiến lược học tập khoa học và chuyên sâu. Sự hiểu biết vững chắc về lý thuyết là không thể thiếu.
Lỗi Sai Thường Gặp Và Cách Khắc Phục
Một lỗi sai phổ biến là quên đặt điều kiện xác định cho $tan x$ và $cot x$. Điều này dẫn đến nghiệm ngoại lai. Cách khắc phục là luôn viết điều kiện ngay từ bước đầu tiên giải phương trình.
Lỗi thứ hai là nhầm lẫn các công thức biến đổi, đặc biệt là công thức cộng và công thức góc nhân đôi. Để tránh, hãy thường xuyên ôn tập và tự kiểm tra công thức trước khi áp dụng.
Lỗi thứ ba là quên kiểm tra lại nghiệm khi dùng phép biến đổi tương đương hoặc hệ quả. Mỗi nghiệm tìm được phải được thay vào phương trình gốc để xác nhận tính đúng đắn.
Mẹo Ghi Nhớ Công Thức Lượng Giác Nhanh Chóng
Phương pháp ghi nhớ tốt nhất là thông qua việc áp dụng liên tục. Thay vì học vẹt, hãy giải các bài toán đa dạng để công thức trở thành phản xạ tự nhiên.
Sử dụng sơ đồ tư duy (mind map) để kết nối các công thức liên quan. Ví dụ, nhóm tất cả công thức hạ bậc vào một nhánh và công thức góc nhân đôi vào nhánh khác.
Sử dụng quy tắc bàn tay để nhớ các giá trị đặc biệt của $sin$ và $cos$. Đây là một mẹo thủ công hiệu quả cho các góc $0, frac{pi}{6}, frac{pi}{4}, frac{pi}{3}, frac{pi}{2}$.
Việc luyện tập giải giải toán 11 bài ôn tập chương 1 không chỉ là nắm được đáp số. Điều quan trọng là hiểu rõ quy trình tư duy, từ việc xác định dạng phương trình đến việc áp dụng công thức và kiểm tra điều kiện. Nắm vững chương này sẽ tạo đà vững chắc cho các chương học phức tạp hơn.
Ngày chỉnh sửa nội dung mới nhất November 26, 2025 by Thầy Đông

Thầy Đông – Giảng viên Đại học Công nghiệp Hà Nội, giáo viên luyện thi THPT
Thầy Đông bắt đầu sự nghiệp tại một trường THPT ở quê nhà, sau đó trúng tuyển giảng viên Đại học Công nghiệp Hà Nội nhờ chuyên môn vững và kinh nghiệm giảng dạy thực tế. Với nhiều năm đồng hành cùng học sinh, thầy được biết đến bởi phong cách giảng dạy rõ ràng, dễ hiểu và gần gũi. Hiện thầy giảng dạy tại dehocsinhgioi, tiếp tục truyền cảm hứng học tập cho học sinh cấp 3 thông qua các bài giảng súc tích, thực tiễn và giàu nhiệt huyết.
