Giải Toán Bằng Cách Lập Phương Trình: Hướng Dẫn Chi Tiết Và Bộ Bài Tập Nâng Cao
Phương pháp giải toán bằng cách lập phương trình là kỹ năng cốt lõi trong chương trình Toán học, đặc biệt là ở cấp THCS. Nắm vững các bước giải bài toán này giúp học sinh chuyển hóa ngôn ngữ tự nhiên của bài toán sang ngôn ngữ đại số một cách chuẩn xác. Bài viết này trình bày chi tiết về nguyên tắc chọn ẩn cùng các dạng bài toán chuyển động, bài toán năng suất và bài toán liên quan đến tuổi điển hình. Kỹ thuật này không chỉ áp dụng cho phương trình bậc nhất một ẩn mà còn là nền tảng cho việc giải hệ phương trình phức tạp hơn.
I. Tổng Quan Về Phương Pháp Giải Toán Bằng Cách Lập Phương Trình
Giải bài toán thực tế bằng phương pháp đại số là quá trình mô hình hóa vấn đề. Chúng ta sử dụng biến số để đại diện cho đại lượng chưa biết. Sau đó, dựa vào mối quan hệ giữa các đại lượng đã cho và đại lượng chưa biết, ta xây dựng một phương trình. Quá trình này đòi hỏi sự phân tích sâu sắc các yếu tố trong đề bài. Mục tiêu là tìm ra nghiệm của phương trình, từ đó trả lời yêu cầu của bài toán.
Phương pháp này thể hiện sự kết nối giữa Toán học và thực tiễn. Nó rèn luyện tư duy logic và khả năng trừu tượng hóa của người học. Việc thành thạo các bước giải bài toán bằng cách lập phương trình là chìa khóa để xử lý nhiều vấn đề phức tạp.
II. Ba Bước Cốt Lõi Để Lập Phương Trình Chuẩn Xác
Việc tổ chức quá trình giải quyết bài toán thành các bước rõ ràng giúp giảm thiểu sai sót. Đây là quy trình ba bước không thể thiếu để giải toán bằng cách lập phương trình hiệu quả.
1. Lập Phương Trình
Đây là bước quan trọng nhất và đòi hỏi sự tinh tế trong việc chọn ẩn. Nó bao gồm ba giai đoạn nhỏ.
Chọn Ẩn Số và Đặt Điều Kiện Thích Hợp
Đầu tiên, phải xác định đại lượng cần tìm trong bài toán. Đại lượng này thường được chọn làm ẩn số, ký hiệu là $x$. Điều kiện của ẩn số là bắt buộc. Nếu ẩn đại diện cho số người, số sản phẩm, hoặc tuổi, điều kiện phải là $x in mathbb{N}^$ (số nguyên dương). Nếu là vận tốc, thời gian, hoặc chiều dài, điều kiện phải là $x > 0$. Việc đặt điều kiện giúp loại bỏ các nghiệm không hợp lý.
Biểu Diễn Các Đại Lượng Khác Theo Ẩn Số
Sau khi chọn ẩn, tất cả các đại lượng chưa biết khác phải được biểu diễn qua $x$. Sự liên hệ này dựa trên các công thức hoặc mối quan hệ cho sẵn trong bài toán. Ví dụ, nếu $x$ là chiều rộng và chiều dài hơn chiều rộng $3 text{cm}$, thì chiều dài là $x+3$. Đây là lúc cần áp dụng kiến thức vật lý, hình học, hay các mối quan hệ tỉ lệ.
Thiết Lập Phương Trình Biểu Thị Mối Quan Hệ
Đại lượng được chọn để cân bằng là yếu tố then chốt. Thường là tổng, hiệu, tích, thương, hoặc một công thức toán học nào đó. Đây là bước cuối cùng để hình thành phương trình cần giải. Mối quan hệ này phải được biểu thị chính xác bằng dấu bằng.
2. Giải Phương Trình
Bước này áp dụng các kỹ năng đại số đã học. Ta cần giải phương trình vừa lập để tìm ra nghiệm $x$. Tùy thuộc vào bản chất của bài toán, phương trình có thể là bậc nhất, bậc hai, hoặc chứa ẩn ở mẫu. Kỹ năng biến đổi đại số cần phải thành thạo ở bước này.
3. Kiểm Tra và Kết Luận
Nghiệm tìm được phải được đối chiếu với điều kiện ban đầu của ẩn. Nếu nghiệm thỏa mãn, ta kết luận. Nếu không thỏa mãn, hoặc nếu có nhiều nghiệm, ta cần chọn nghiệm thích hợp. Cuối cùng, phải trả lời đầy đủ yêu cầu của bài toán bằng ngôn ngữ tự nhiên.
III. Phân Tích Chuyên Sâu Các Dạng Bài Toán Điển Hình
Các bài toán thường gặp khi giải toán bằng cách lập phương trình được phân loại thành các nhóm chính. Mỗi nhóm có các công thức và quy tắc riêng cần được nắm vững.
1. Dạng Bài Toán Chuyển Động (Vận Tốc, Thời Gian, Quãng Đường)
Đây là dạng bài tập phổ biến nhất. Công thức cơ bản là: $S = v times t$. Trong đó, $S$ là quãng đường, $v$ là vận tốc, và $t$ là thời gian.
Phân Tích Ví Dụ 2 (Bài Toán Chênh Lệch Thời Gian)
Bài toán cho biết chênh lệch thời gian đến đích và tổng thời gian đi của hai xe.
- Chọn ẩn: Gọi $x$ (giờ) là thời gian đi của xe thứ nhất. Điều kiện là $x > 0$.
- Biểu diễn đại lượng: Thời gian xe thứ hai đi là $x + 3$ (giờ).
- Lập phương trình: Tổng thời gian là $9$ giờ. Phương trình: $x + (x + 3) = 9$.
- Kết quả: $x = 3$. Xe thứ nhất đi $3$ giờ, xe thứ hai đi $6$ giờ.
Phân Tích Bài 4 (Bài Toán Đuổi Kịp)
Trong bài toán đuổi kịp, quãng đường đi được của hai đối tượng khi gặp nhau là bằng nhau ($S_1 = S_2$).
- Chọn ẩn: Gọi $t$ (giờ) là thời gian xe hơi chạy đến khi đuổi kịp. Điều kiện $t > 0$.
- Biểu diễn đại lượng: Xe đạp đi trước $6$ giờ, tổng thời gian xe đạp đi là $t + 6$.
- Quãng đường: Xe đạp: $S_1 = 15(t + 6)$. Xe hơi: $S_2 = 60t$.
- Lập phương trình: $15(t + 6) = 60t$. Giải phương trình này, ta tìm được $t = 2$ (giờ).
Phân Tích Bài 6 (Bài Toán Đi và Về Có Thay Đổi Vận Tốc)
Thời gian về ít hơn thời gian đi là mối quan hệ chính để lập phương trình. Đổi $30$ phút thành $frac{1}{2}$ giờ.
-
Chọn ẩn: Gọi $x$ (km/h) là vận tốc lúc đi. Điều kiện $x > 0$.
-
Thời gian: Lúc đi là $frac{24}{x}$. Lúc về là $frac{24}{x+4}$.
-
Lập phương trình: $frac{24}{x} – frac{24}{x+4} = frac{1}{2}$.
Giải phương trình và tìm vận tốc của xe đạp khi giải toán bằng cách lập phương trình
-
Kết quả: $x = 12$ (km/h).
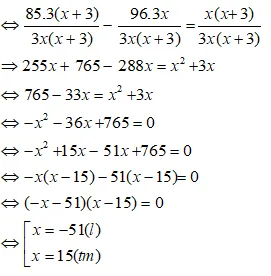
Phân Tích Bài 10 (Bài Toán Ca Nô Trên Sông)
Dạng toán này phải tính đến vận tốc dòng nước. Vận tốc xuôi dòng là $v{text{riêng}} + v{text{nước}}$, ngược dòng là $v{text{riêng}} – v{text{nước}}$.
-
Chọn ẩn: Gọi $x$ (km/h) là vận tốc riêng của ca nô. Điều kiện $x > 3$.
-
Mối quan hệ: Thời gian ca nô đi bằng thời gian bè trôi (đến điểm gặp).
-
Thời gian bè trôi: $frac{8}{3}$ (giờ).
-
Thời gian ca nô: $text{Thời gian xuôi} + text{Thời gian ngược} = frac{40}{x+3} + frac{32}{x-3}$.
-
Lập phương trình: $frac{40}{x+3} + frac{32}{x-3} = frac{8}{3}$.
Giải phương trình tìm vận tốc riêng của ca nô bằng cách lập phương trình
-
Kết quả: $x = 27$ (km/h).
2. Dạng Bài Toán Năng Suất (Sản Phẩm, Thời Gian, Năng Suất)
Công thức cơ bản: $text{Tổng sản phẩm} = text{Năng suất} times text{Thời gian}$. Các bài toán năng suất thường xoay quanh mối quan hệ chênh lệch thời gian hoàn thành công việc.
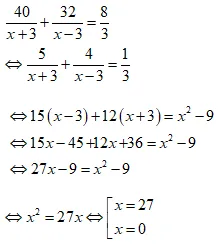
Phân Tích Bài 7 (Bài Toán Tăng Năng Suất)
Bài toán so sánh thời gian dự định và thời gian thực tế khi năng suất thay đổi.
-
Chọn ẩn: Gọi $x$ (sản phẩm/giờ) là năng suất dự định. Điều kiện $0 < x le 20$.
-
Thời gian: Dự kiến: $frac{85}{x}$ (giờ). Thực tế: $frac{96}{x+3}$ (giờ).
-
Lập phương trình: Chênh lệch thời gian là $20$ phút ($frac{1}{3}$ giờ). $frac{85}{x} – frac{96}{x+3} = frac{1}{3}$.
Giải phương trình và tìm năng suất dự định khi giải toán bằng cách lập phương trình
-
Kết quả: $x = 15$ (sản phẩm/giờ).
Phân Tích Bài 12 (Bài Toán Chọn Ẩn Là Tổng Sản Phẩm)
Trong bài này, ẩn số được chọn là tổng sản phẩm cần làm.
-
Chọn ẩn: Gọi $x$ (sản phẩm) là số sản phẩm theo kế hoạch. Điều kiện $x in mathbb{N}^$.
-
Thời gian: Dự kiến: $frac{x}{30}$. Thực tế: $frac{x+20}{40}$.
-
Lập phương trình: Thời gian thực tế sớm hơn $3$ ngày. $frac{x}{30} – frac{x+20}{40} = 3$.
-
Kết quả: Đáp án đúng là B (phương trình đã được thiết lập).
3. Dạng Bài Toán Liên Quan Đến Tuổi
Nguyên tắc của dạng toán này là chênh lệch tuổi luôn không đổi. Mối quan hệ giữa tuổi hai người ở hai thời điểm khác nhau là cốt lõi để lập phương trình.
Phân Tích Bài 1 (Bài Toán Tính Tuổi Hiện Tại)
Chênh lệch tuổi mẹ và con không đổi là $24$ tuổi. Mối quan hệ chính là tuổi mẹ gấp $3$ lần tuổi con sau $2$ năm.
- Chọn ẩn: Gọi $x$ (tuổi) là tuổi con hiện tại. Điều kiện $x in mathbb{N}^$.
- Tuổi sau $2$ năm: Con: $x+2$. Mẹ: $x + 24 + 2 = x + 26$.
- Lập phương trình: $3(x + 2) = x + 26$.
- Kết quả: $x = 10$. Tuổi con hiện nay là $10$ tuổi.
Phân Tích Bài 19 (Bài Toán Tuổi Trong Tương Lai)
Tương tự, ta thiết lập mối quan hệ tỉ lệ tuổi trong tương lai.
- Chọn ẩn: Gọi $x$ là tuổi Phương năm nay. Điều kiện $x in mathbb{N}^$.
- Tuổi sau $13$ năm: Phương: $x + 13$. Mẹ: $3x + 13$.
- Lập phương trình: $3x + 13 = 2(x + 13)$.
- Kết quả: $x = 13$.
4. Dạng Bài Toán Hình Học
Dạng toán này áp dụng các công thức tính chu vi, diện tích, và định lý Pitago trong hình học. Mối quan hệ giữa các cạnh là cơ sở để lập phương trình.
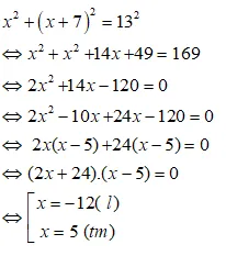
Phân Tích Bài 8 (Bài Toán Hình Chữ Nhật và Đường Chéo)
Định lý Pitago là công cụ chính. Hình chữ nhật có chiều dài $a$, chiều rộng $b$, đường chéo $d$. Ta có $a^2 + b^2 = d^2$.
- Chọn ẩn: Gọi $x$ (m) là chiều rộng. Điều kiện $0 < x < 13$.
- Biểu diễn đại lượng: Chiều dài là $x + 7$.
- Lập phương trình: $x^2 + (x + 7)^2 = 13^2$.
Áp dụng định lý Pitago để lập phương trình cho bài toán hình học
- Kết quả: $x = 5$. Chiều dài là $12$m.
Phân Tích Bài 17 (Bài Toán Diện Tích Hình Chữ Nhật Thay Đổi)
Bài toán so sánh diện tích ban đầu và diện tích sau khi thay đổi kích thước.
- Chọn ẩn: Gọi $x$ (m) là chiều dài. Nửa chu vi là $186$m. Chiều rộng là $186 – x$.
- Diện tích ban đầu: $S_1 = x(186 – x)$.
- Diện tích mới: $S_2 = (x + 21)(196 – x)$.
- Lập phương trình: $S_2 – S_1 = 2862$.
- Kết quả: $x = 114$m.
IV. Thực Hành Giải Chi Tiết Các Bài Tập Khác
Sự đa dạng của các bài toán đòi hỏi người học phải linh hoạt trong việc lựa chọn ẩn và thiết lập mối quan hệ. Dưới đây là phần tổng hợp các bài tập khác, sắp xếp theo logic toán học.
Dạng Bài Tập Thú Vị Khác
Bài 2: Tìm Hai Số Tự Nhiên Chẵn Liên Tiếp
- Chọn ẩn: Hai số chẵn liên tiếp là $x$ và $x + 2$. Điều kiện $x$ chia hết cho $2, x in mathbb{N}^$.
- Lập phương trình: $x(x + 2) = 24$.
- Kết quả: $x = 4$. Hai số là $4$ và $6$.
Bài 5: Bài Toán Vận Tốc Trung Bình
Vận tốc trung bình được tính bằng $frac{text{Tổng quãng đường}}{text{Tổng thời gian}}$. Ta có thể đặt độ dài nửa quãng đường là $a$.
- Tổng quãng đường: $2a$.
- Tổng thời gian: $frac{a}{20} + frac{a}{30} = frac{5a}{60} = frac{a}{12}$.
- Vận tốc trung bình: $v_{text{tb}} = frac{2a}{a/12} = 24$ (km/h).
Bài 13: Bài Toán Quãng Đường AB
Quãng đường AB không đổi nên ta cân bằng thời gian đi và về.
-
Chọn ẩn: Gọi $x$ (km) là quãng đường AB. Điều kiện $x > 0$.
Đổi 20 phút thành 1/3 giờ khi giải toán bằng cách lập phương trình
-
Lập phương trình: $frac{x}{25} – frac{x}{30} = frac{1}{3}$.
-
Kết quả: $x = 50$ (km).
Bài 14: Bài Toán Tính Thời Gian Lúc Đi
-
Chọn ẩn: Gọi $x$ (giờ) là thời gian lúc đi. Quãng đường $S = 30x$.
-
Thời gian về: $frac{30x}{24}$.
-
Lập phương trình: $frac{30x}{24} – x = frac{1}{2}$.
Giải phương trình và tìm thời gian lúc đi trong bài toán giải toán bằng cách lập phương trình
-
Kết quả: $x = 2$ (giờ).
Bài 15 & 16: Bài Toán So Sánh Thời Gian Xuôi Dòng và Ngược Dòng
Quãng đường xuôi dòng và ngược dòng là bằng nhau. Ta cân bằng hai biểu thức quãng đường.
-
Chọn ẩn: Gọi $x$ (km/h) là vận tốc riêng của ca nô ($x > 3$).
-
Bài 15 (1h20′ = 4/3h): $frac{4}{3}(x + 3) = 2(x – 3)$.
Kết quả: $x = 15$ (km/h).
-
Bài 16 (1h24′ = 7/5h): $frac{7}{5}(x + 3) = 2(x – 3)$.
Kết quả: $x = 17$ (km/h).
Bài 20: Tính Diện Tích Hình Chữ Nhật Bằng Định Lý Pitago
-
Chọn ẩn: Chiều dài $x$ (cm). Chiều rộng $x – 2$.
-
Lập phương trình: $x^2 + (x – 2)^2 = 10^2$.
-
Giải: $2x^2 – 4x – 96 = 0 Leftrightarrow (x – 8)(x + 6) = 0$.
-
Kết quả: $x = 8$. Chiều dài $8$ cm, chiều rộng $6$ cm. Diện tích $48 text{cm}^2$.
Kỹ thuật giải toán bằng cách lập phương trình là một công cụ mạnh mẽ, giúp học sinh giải quyết các bài toán phức tạp một cách có hệ thống. Việc nắm vững quy trình ba bước và khả năng phân loại, ứng dụng công thức cho từng dạng bài là yếu tố quyết định sự thành công. Thực hành thường xuyên với đa dạng các bước giải bài toán và mô hình hóa vấn đề sẽ giúp nâng cao khả năng tư duy đại số. Để thành thạo, cần luôn chú trọng đến việc chọn ẩn số phù hợp và kiểm tra điều kiện nghiệm một cách cẩn thận.
Ngày chỉnh sửa nội dung mới nhất November 26, 2025 by Thầy Đông

Thầy Đông – Giảng viên Đại học Công nghiệp Hà Nội, giáo viên luyện thi THPT
Thầy Đông bắt đầu sự nghiệp tại một trường THPT ở quê nhà, sau đó trúng tuyển giảng viên Đại học Công nghiệp Hà Nội nhờ chuyên môn vững và kinh nghiệm giảng dạy thực tế. Với nhiều năm đồng hành cùng học sinh, thầy được biết đến bởi phong cách giảng dạy rõ ràng, dễ hiểu và gần gũi. Hiện thầy giảng dạy tại dehocsinhgioi, tiếp tục truyền cảm hứng học tập cho học sinh cấp 3 thông qua các bài giảng súc tích, thực tiễn và giàu nhiệt huyết.

Giải phương trình và tìm vận tốc của xe đạp khi giải toán bằng cách lập phương trình
Giải phương trình tìm vận tốc riêng của ca nô bằng cách lập phương trình
Giải phương trình và tìm năng suất dự định khi giải toán bằng cách lập phương trình
Áp dụng định lý Pitago để lập phương trình cho bài toán hình học
Đổi 20 phút thành 1/3 giờ khi giải toán bằng cách lập phương trình
Giải phương trình và tìm thời gian lúc đi trong bài toán giải toán bằng cách lập phương trình