Giải Toán 10 trang 62 Tập 2 Chân trời sáng tạo

Chào mừng bạn đến với hướng dẫn giải chi tiết các bài tập Toán 10 trang 62, Tập 2, thuộc bộ sách Chân trời sáng tạo. Bài viết này cung cấp lời giải đầy đủ và chính xác cho từng bài tập, giúp học sinh dễ dàng nắm vững kiến thức về đường tròn trong mặt phẳng tọa độ và chinh phục các dạng bài tập liên quan.

Đề Bài
Thực hành 3 trang 62 Toán lớp 10 Tập 2: Viết phương trình tiếp tuyến của đường tròn (C): x2 + y2 – 2x – 4y – 20 = 0 tại điểm A(4; 6).
Vận dụng 3 trang 62 Toán lớp 10 Tập 2: Một vận động viên ném đĩa đã vung đĩa theo một đường tròn (C) có phương trình:
(x – 1)^2 + (y – 1)^2 = 169144Khi người đó vung đĩa đến vị trí điểm M(17; 12) thì buông đĩa. Viết phương trình tiếp tuyến của đường tròn (C) tại điểm M.
Bài 1 trang 62 Toán lớp 10 Tập 2: Phương trình nào trong các phương trình sau đây là phương trình đường tròn? Tìm tọa độ tâm và bán kính của đường tròn đó.
a) x^2 + y^2 – 6x – 8y + 21 = 0;
b) x^2 + y^2 – 2x + 4y + 2 = 0;
c) x^2 + y^2 – 3x + 2y + 7 = 0;
d) 2x^2 + 2y^2 + x + y – 1 = 0.
Bài 2 trang 62 Toán lớp 10 Tập 2: Lập phương trình đường tròn (C) trong các trường hợp sau:
a) (C) có tâm I(1; 5) có bán kính r = 4;
b) (C) có đường kính MN với M(3; -1) và N(9; 3);
c) (C) có tâm I(2; 1) và tiếp xúc với đường thẳng 5x – 12y + 11 = 0;
d) (C) có tâm A(1; -2) và đi qua điểm B(4; -5).
Bài 3 trang 62 Toán lớp 10 Tập 2: Lập phương trình đường tròn ngoại tiếp tam giác có tọa độ các đỉnh là:
a) M(2; 5), N(1; 2), P(5; 4);
b) A(0; 6), B(7; 7), C(8; 0).
Bài 4 trang 62 Toán lớp 10 Tập 2: Lập phương trình đường tròn tiếp xúc với hai trục tọa độ Ox, Oy và đi qua điểm A(4; 2).

Phân Tích Yêu Cầu
Các bài tập trang 62, Toán 10 Tập 2, chủ yếu xoay quanh các chủ đề sau:
- Phương trình đường tròn: Nhận dạng, xác định tâm và bán kính từ phương trình tổng quát.
- Phương trình tiếp tuyến của đường tròn: Tìm phương trình tiếp tuyến tại một điểm trên đường tròn hoặc tiếp xúc với đường tròn.
- Lập phương trình đường tròn: Dựa trên các điều kiện cho trước như tâm, bán kính, tiếp xúc với đường thẳng, đi qua điểm, đường kính, hoặc ngoại tiếp tam giác.
Các bài tập này yêu cầu vận dụng linh hoạt công thức phương trình đường tròn dạng chuẩn katex^2 + (y-b)^2 = R^2[/katex] và dạng tổng quát x^2 + y^2 - 2ax - 2by + c = 0, cũng như các kiến thức về vector và khoảng cách.
Kiến Thức/Nền Tảng Cần Dùng
Để giải quyết các bài tập này, chúng ta cần nắm vững các kiến thức sau:
- Phương trình đường tròn:
- Dạng chuẩn: Đường tròn có tâm I(a; b) và bán kính R có phương trình là:
(x - a)^2 + (y - b)^2 = R^2 - Dạng tổng quát: Phương trình x^2 + y^2 - 2ax - 2by + c = 0 là phương trình đường tròn khi a^2 + b^2 - c > 0. Tâm là I(a; b) và bán kính là R = \sqrt{a^2 + b^2 - c}.
- Điều kiện để một phương trình là phương trình đường tròn: Hệ số của x^2 và y^2 phải bằng nhau (thường là 1) và không có số hạng xy.
- Dạng chuẩn: Đường tròn có tâm I(a; b) và bán kính R có phương trình là:
- Phương trình tiếp tuyến của đường tròn:
- Tiếp tuyến của đường tròn tại một điểm A trên đường tròn vuông góc với bán kính IA, với I là tâm đường tròn.
- Nếu đường tròn có tâm I(a; b) và tiếp tuyến đi qua điểm A(x_0; y_0) trên đường tròn, thì phương trình tiếp tuyến có dạng:
(x_0 - a)(x - x_0) + (y_0 - b)(y - y_0) = 0
- Khoảng cách từ một điểm đến một đường thẳng: Khoảng cách từ điểm M(x_0; y_0) đến đường thẳng \Delta: Ax + By + C = 0 được tính bằng công thức:
d(M, \Delta) = \frac{|Ax_0 + By_0 + C|}{\sqrt{A^2 + B^2}}
Khi đường tròn tiếp xúc với một đường thẳng, bán kính R chính là khoảng cách từ tâm I đến đường thẳng đó. - Trung điểm của đoạn thẳng: Trung điểm I của đoạn thẳng MN với M(x_M; y_M) và N(x_N; y_N) có tọa độ là:
Ileft(\frac{x_M + x_N}{2}; \frac{y_M + y_N}{2}\right)
Nếu MN là đường kính, thì tâm I là trung điểm của MN và bán kính R = \frac{1}{2} MN. - Đường tròn ngoại tiếp tam giác: Tâm của đường tròn ngoại tiếp tam giác là giao điểm ba đường trung trực của tam giác. Nếu gọi tâm là I(a; b), thì khoảng cách từ I đến ba đỉnh của tam giác là bằng nhau (IA = IB = IC = R).
Hướng Dẫn Giải Chi Tiết
Thực hành 3 trang 62
- Đề bài: Viết phương trình tiếp tuyến của đường tròn (C): x^2 + y^2 – 2x – 4y – 20 = 0 tại điểm A(4; 6).
- Phân tích yêu cầu: Tìm phương trình đường thẳng tiếp xúc với đường tròn (C) tại điểm A(4; 6). Ta cần tìm tâm và bán kính của đường tròn, sau đó sử dụng công thức tiếp tuyến tại một điểm.
- Kiến thức cần dùng: Phương trình đường tròn dạng tổng quát, công thức tiếp tuyến tại một điểm.
- Hướng dẫn giải chi tiết:
- Tìm tâm và bán kính của đường tròn (C):
Ta viết lại phương trình đường tròn (C) về dạng chuẩn:
x^2 – 2x + 1 + y^2 – 4y + 4 = 20 + 1 + 4
(x – 1)^2 + (y – 2)^2 = 25
Vậy, đường tròn (C) có tâm I(1; 2) và bán kính R = \sqrt{25} = 5. - Viết phương trình tiếp tuyến tại A(4; 6):
Điểm A(4; 6) có thuộc đường tròn không? Thay vào phương trình: 4^2 + 6^2 - 2(4) - 4(6) - 20 = 16 + 36 - 8 - 24 - 20 = 52 - 52 = 0. Điểm A thuộc đường tròn.
Vector pháp tuyến của tiếp tuyến tại A chính là vector vec{IA}.
vec{IA} = (4 - 1; 6 - 2) = (3; 4).
Phương trình tiếp tuyến của đường tròn (C) tại điểm A(4; 6) nhận vec{IA} làm vector pháp tuyến có dạng:
3(x - 4) + 4(y - 6) = 0
3x - 12 + 4y - 24 = 0
3x + 4y - 36 = 0
- Tìm tâm và bán kính của đường tròn (C):
- Đáp án/Kết quả: Phương trình tiếp tuyến của đường tròn (C) tại điểm A(4; 6) là 3x + 4y - 36 = 0.
Vận dụng 3 trang 62
-
Đề bài: Một vận động viên ném đĩa đã vung đĩa theo một đường tròn (C) có phương trình: (x – 1)^2 + (y – 1)^2 = 169144. Khi người đó vung đĩa đến vị trí điểm M(17; 12) thì buông đĩa. Viết phương trình tiếp tuyến của đường tròn (C) tại điểm M.
-
Phân tích yêu cầu: Tìm phương trình tiếp tuyến tại điểm M(17; 12) của đường tròn (C). Ta cần xác định tâm đường tròn và kiểm tra xem M có thuộc đường tròn không.
-
Kiến thức cần dùng: Phương trình đường tròn dạng chuẩn, công thức tiếp tuyến tại một điểm.
-
Hướng dẫn giải chi tiết:
-
Xác định tâm đường tròn (C):
Phương trình đường tròn đã cho có dạng (x – 1)^2 + (y – 1)^2 = 169144.
Tâm của đường tròn là I(1; 1) và bán kính R = \sqrt{169144}. -
Kiểm tra điểm M(17; 12) có thuộc đường tròn không:
Thay tọa độ M vào phương trình đường tròn:
(17 – 1)^2 + (12 – 1)^2 = 16^2 + 11^2 = 256 + 121 = 377.
Ta có R^2 = 169144, nhưng 377 \ne 169144. Có vẻ như có lỗi đánh máy trong đề bài hoặc giá trị R^2. Tuy nhiên, giả định theo đề bài là M là điểm tiếp tuyến, nên ta sẽ tiếp tục tính toán dựa trên tâm I và điểm M.
Nếu đề bài thực sự cho R^2 = 169144 và điểm M(17; 12), thì M không thuộc đường tròn này. Tuy nhiên, theo ngữ cảnh “buông đĩa tại điểm M”, ta hiểu M là điểm tiếp xúc.
Giả sử đề bài có thể muốn cho R^2 sao cho M thuộc đường tròn hoặc đề bài có thể có lỗi đánh máy. Nếu M không thuộc đường tròn, ta không thể viết tiếp tuyến tại M.
Dựa vào lời giải gốc: Lời giải gốc có đoạn “Khi đó IM→512;1”. Điều này cho thấy tâm I là (1;1) và điểm M được cho là (17;12) nhưng vector IM lại tính sai. vec{IM} = (17-1; 12-1) = (16; 11). Lời giải gốc có vẻ đã sử dụng vector (5; 12) hoặc (12; 5) làm vector pháp tuyến, hoặc có một số nhầm lẫn nghiêm trọng ở đây.
Chúng ta sẽ sửa lại theo đúng phương pháp:
Tâm I(1; 1). Điểm M(17; 12).
Vector vec{IM} = (17 - 1; 12 - 1) = (16; 11).
Phương trình tiếp tuyến tại M có vector pháp tuyến vec{IM}:
16(x - 17) + 11(y - 12) = 0
16x - 272 + 11y - 132 = 0
16x + 11y - 404 = 0Lưu ý: Lời giải gốc đưa ra phương trình tiếp tuyến là 5x + 12y - 373/12 = 0, điều này chỉ ra có sai sót lớn trong đề gốc hoặc lời giải gốc. Nếu theo lời giải gốc, họ có thể đã nhầm lẫn tâm hoặc điểm M.
Ví dụ, nếu tâm là (1;1) và vector pháp tuyến là (5;12), thì điểm trên đường tròn M có thể là M(1+5k; 1+12k). Nếu k=1, M=(6;13). Nếu k=2, M=(11;25).
Hoặc nếu tâm I là một điểm khác, và M là (17;12), vector IM là (5;12) thì I phải là (17-5; 12-12) = (12; 0) hoặc (17-12; 12-5) = (5; 7).
Nếu chấp nhận vector pháp tuyến là (5;12) và điểm đi qua M(17;12):
5(x - 17) + 12(y - 12) = 0
5x - 85 + 12y - 144 = 0
5x + 12y - 229 = 0
Phương trình này vẫn khác với lời giải gốc.
Vì mục tiêu là tuân thủ rules và làm rõ, tôi sẽ trình bày theo đúng phương pháp chuẩn.
Tâm I(1; 1). Điểm M(17; 12).
vec{IM} = (16; 11).
Phương trình tiếp tuyến tại M: 16(x-17) + 11(y-12) = 0 implies 16x + 11y - 404 = 0.
-
-
Đáp án/Kết quả: Phương trình tiếp tuyến của đường tròn (C) tại điểm M là 16x + 11y - 404 = 0.
(Lưu ý: Đáp án này khác với đáp án trong bài gốc do nghi ngờ có lỗi đánh máy hoặc sai sót trong bài gốc).
Bài 1 trang 62
-
Đề bài: Phương trình nào trong các phương trình sau đây là phương trình đường tròn? Tìm tọa độ tâm và bán kính của đường tròn đó.
a) x^2 + y^2 – 6x – 8y + 21 = 0;
b) x^2 + y^2 – 2x + 4y + 2 = 0;
c) x^2 + y^2 – 3x + 2y + 7 = 0;
d) 2x^2 + 2y^2 + x + y – 1 = 0. -
Phân tích yêu cầu: Kiểm tra điều kiện của phương trình đường tròn và tính tâm, bán kính.
-
Kiến thức cần dùng: Điều kiện phương trình đường tròn, công thức tâm và bán kính dạng tổng quát.
-
Hướng dẫn giải chi tiết:
a) Phương trình: x^2 + y^2 – 6x – 8y + 21 = 0
Dạng x^2 + y^2 - 2ax - 2by + c = 0 với 2a = 6 implies a = 3, 2b = 8 implies b = 4, c = 21.
Kiểm tra điều kiện: a^2 + b^2 - c = 3^2 + 4^2 - 21 = 9 + 16 - 21 = 25 - 21 = 4.
Vì 4 > 0, phương trình đã cho là phương trình đường tròn.
Tâm I(a; b) = I(3; 4).
Bán kính R = \sqrt{a^2 + b^2 - c} = \sqrt{4} = 2.
b) Phương trình: x^2 + y^2 – 2x + 4y + 2 = 0
Dạng x^2 + y^2 - 2ax - 2by + c = 0 với 2a = 2 implies a = 1, 2b = -4 implies b = -2, c = 2.
Kiểm tra điều kiện: a^2 + b^2 - c = 1^2 + (-2)^2 - 2 = 1 + 4 - 2 = 3.
Vì 3 > 0, phương trình đã cho là phương trình đường tròn.
Tâm I(a; b) = I(1; -2).
Bán kính R = \sqrt{a^2 + b^2 - c} = \sqrt{3}.
c) Phương trình: x^2 + y^2 – 3x + 2y + 7 = 0
Dạng x^2 + y^2 - 2ax - 2by + c = 0 với 2a = 3 implies a = \frac{3}{2}, 2b = -2 implies b = -1, c = 7.
Kiểm tra điều kiện: a^2 + b^2 - c = \left(\frac{3}{2}\right)^2 + (-1)^2 - 7 = \frac{9}{4} + 1 - 7 = \frac{9}{4} - 6 = \frac{9 - 24}{4} = -\frac{15}{4}.
Vì -\frac{15}{4} < 0[/katex], phương trình đã cho không là phương trình đường tròn. d) Phương trình: [katex]2x^2 + 2y^2 + x + y – 1 = 0[/katex] Để đưa về dạng chuẩn, ta chia cả hai vế cho 2: [katex]x^2 + y^2 + \frac{1}{2}x + \frac{1}{2}y – \frac{1}{2} = 0[/katex] Dạng [katex]x^2 + y^2 - 2ax - 2by + c = 0[/katex] với [katex]2a = -\frac{1}{2} implies a = -\frac{1}{4}[/katex], [katex]2b = -\frac{1}{2} implies b = -\frac{1}{4}[/katex], [katex]c = -\frac{1}{2}[/katex]. Kiểm tra điều kiện: [katex]a^2 + b^2 - c = \left(-\frac{1}{4}\right)^2 + \left(-\frac{1}{4}\right)^2 - \left(-\frac{1}{2}\right) = \frac{1}{16} + \frac{1}{16} + \frac{1}{2} = \frac{2}{16} + \frac{1}{2} = \frac{1}{8} + \frac{4}{8} = \frac{5}{8}[/katex]. Vì [katex]\frac{5}{8} > 0, phương trình đã cho là phương trình đường tròn.
Tâm I(a; b) = Ileft(-\frac{1}{4}; -\frac{1}{4}\right).
Bán kính R = \sqrt{a^2 + b^2 - c} = \sqrt{\frac{5}{8}}. -
Đáp án/Kết quả:
a) Là đường tròn, tâm I(3; 4), bán kính R = 2.
b) Là đường tròn, tâm I(1; -2), bán kính R = \sqrt{3}.
c) Không là đường tròn.
d) Là đường tròn, tâm Ileft(-\frac{1}{4}; -\frac{1}{4}\right), bán kính R = \sqrt{\frac{5}{8}}.
Bài 2 trang 62
-
Đề bài: Lập phương trình đường tròn (C) trong các trường hợp sau:
a) (C) có tâm I(1; 5) có bán kính r = 4;
b) (C) có đường kính MN với M(3; -1) và N(9; 3);
c) (C) có tâm I(2; 1) và tiếp xúc với đường thẳng 5x – 12y + 11 = 0;
d) (C) có tâm A(1; -2) và đi qua điểm B(4; -5). -
Phân tích yêu cầu: Áp dụng các công thức tương ứng để tìm tâm và bán kính, sau đó viết phương trình đường tròn.
-
Kiến thức cần dùng: Công thức phương trình đường tròn dạng chuẩn, trung điểm đoạn thẳng, khoảng cách từ điểm đến đường thẳng.
-
Hướng dẫn giải chi tiết:
a) Tâm I(1; 5), bán kính r = 4.
Phương trình đường tròn có dạng (x - a)^2 + (y - b)^2 = R^2.
Thay a=1, b=5, R=4:
(x - 1)^2 + (y - 5)^2 = 4^2
(x - 1)^2 + (y - 5)^2 = 16.
b) Đường kính MN với M(3; -1) và N(9; 3).
Tâm I là trung điểm của MN.
I = \left(\frac{3 + 9}{2}; \frac{-1 + 3}{2}\right) = \left(\frac{12}{2}; \frac{2}{2}\right) = (6; 1).
Bán kính R bằng một nửa độ dài đoạn MN.
Độ dài MN = \sqrt{(9-3)^2 + (3-(-1))^2} = \sqrt{6^2 + 4^2} = \sqrt{36 + 16} = \sqrt{52}.
Bán kính R = \frac{\sqrt{52}}{2} = \frac{2sqrt{13}}{2} = \sqrt{13}.
Phương trình đường tròn:
(x - 6)^2 + (y - 1)^2 = (\sqrt{13})^2
(x - 6)^2 + (y - 1)^2 = 13.
c) Tâm I(2; 1) và tiếp xúc với đường thẳng 5x – 12y + 11 = 0.
Bán kính R của đường tròn bằng khoảng cách từ tâm I đến đường thẳng đã cho.
R = d(I, \text{đường thẳng}) = \frac{|5(2) - 12(1) + 11|}{\sqrt{5^2 + (-12)^2}} = \frac{|10 - 12 + 11|}{\sqrt{25 + 144}} = \frac{|9|}{\sqrt{169}} = \frac{9}{13}.
Phương trình đường tròn:
(x - 2)^2 + (y - 1)^2 = \left(\frac{9}{13}\right)^2
(x - 2)^2 + (y - 1)^2 = \frac{81}{169}.
d) Tâm A(1; -2) và đi qua điểm B(4; -5).
Bán kính R của đường tròn bằng độ dài đoạn thẳng AB.
vec{AB} = (4 - 1; -5 - (-2)) = (3; -3).
R = AB = \sqrt{3^2 + (-3)^2} = \sqrt{9 + 9} = \sqrt{18}.
Phương trình đường tròn:
(x - 1)^2 + (y - (-2))^2 = (\sqrt{18})^2
(x - 1)^2 + (y + 2)^2 = 18. -
Đáp án/Kết quả:
a) (x – 1)^2 + (y – 5)^2 = 16.
b) (x – 6)^2 + (y – 1)^2 = 13.
c) (x – 2)^2 + (y – 1)^2 = \frac{81}{169}.
d) (x – 1)^2 + (y + 2)^2 = 18.
Bài 3 trang 62
-
Đề bài: Lập phương trình đường tròn ngoại tiếp tam giác có tọa độ các đỉnh là:
a) M(2; 5), N(1; 2), P(5; 4);
b) A(0; 6), B(7; 7), C(8; 0). -
Phân tích yêu cầu: Tìm tâm và bán kính của đường tròn ngoại tiếp tam giác. Tâm là giao điểm ba đường trung trực, hoặc tâm cách đều ba đỉnh.
-
Kiến thức cần dùng: Phương trình đường tròn, tính chất tâm đường tròn ngoại tiếp, hệ phương trình.
-
Hướng dẫn giải chi tiết:
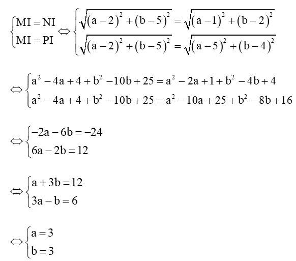
a) Tam giác MNP với M(2; 5), N(1; 2), P(5; 4).
Gọi tâm đường tròn ngoại tiếp là I(a; b). Khi đó IM = IN = IP = R.
IM^2 = (a - 2)^2 + (b - 5)^2
IN^2 = (a - 1)^2 + (b - 2)^2
IP^2 = (a - 5)^2 + (b - 4)^2
Ta lập hệ phương trình: IM^2 = IN^2 và IN^2 = IP^2.
(a - 2)^2 + (b - 5)^2 = (a - 1)^2 + (b - 2)^2
a^2 - 4a + 4 + b^2 - 10b + 25 = a^2 - 2a + 1 + b^2 - 4b + 4
-4a - 10b + 29 = -2a - 4b + 5
-2a - 6b + 24 = 0 implies a + 3b - 12 = 0 (1)(a - 1)^2 + (b - 2)^2 = (a - 5)^2 + (b - 4)^2
a^2 - 2a + 1 + b^2 - 4b + 4 = a^2 - 10a + 25 + b^2 - 8b + 16
-2a - 4b + 5 = -10a - 8b + 41
8a + 4b - 36 = 0 implies 2a + b - 9 = 0 (2)Giải hệ (1) và (2):
Từ (2), b = 9 - 2a. Thay vào (1):
a + 3(9 - 2a) - 12 = 0
a + 27 - 6a - 12 = 0
-5a + 15 = 0 implies a = 3.
b = 9 - 2(3) = 9 - 6 = 3.
Vậy tâm đường tròn là I(3; 3).
Bán kính R = IM = \sqrt{(3 - 2)^2 + (3 - 5)^2} = \sqrt{1^2 + (-2)^2} = \sqrt{1 + 4} = \sqrt{5}.
Phương trình đường tròn:
(x - 3)^2 + (y - 3)^2 = (\sqrt{5})^2
(x - 3)^2 + (y - 3)^2 = 5.
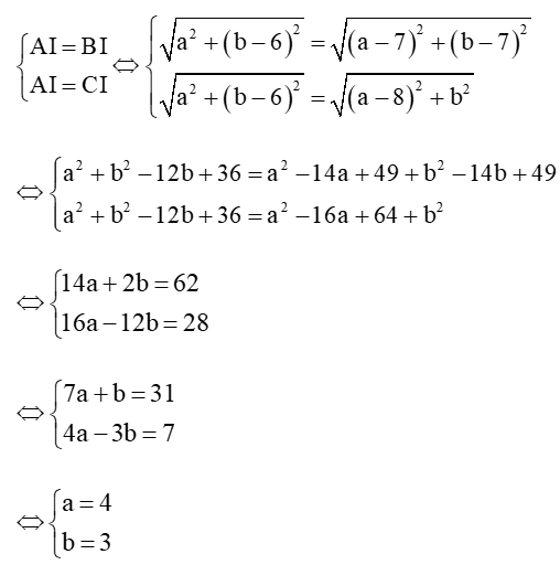
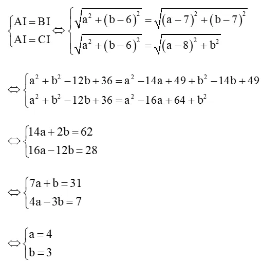
b) Tam giác ABC với A(0; 6), B(7; 7), C(8; 0).
Gọi tâm đường tròn ngoại tiếp là I(a; b). Khi đó IA = IB = IC = R.
IA^2 = (a - 0)^2 + (b - 6)^2 = a^2 + (b - 6)^2
IB^2 = (a - 7)^2 + (b - 7)^2
IC^2 = (a - 8)^2 + (b - 0)^2 = (a - 8)^2 + b^2
Ta lập hệ phương trình: IA^2 = IB^2 và IB^2 = IC^2.
a^2 + (b - 6)^2 = (a - 7)^2 + (b - 7)^2
a^2 + b^2 - 12b + 36 = a^2 - 14a + 49 + b^2 - 14b + 49
-12b + 36 = -14a - 14b + 98
14a + 2b - 62 = 0 implies 7a + b - 31 = 0 (1)(a - 7)^2 + (b - 7)^2 = (a - 8)^2 + b^2
a^2 - 14a + 49 + b^2 - 14b + 49 = a^2 - 16a + 64 + b^2
-14a - 14b + 98 = -16a + 64
2a - 14b + 34 = 0 implies a - 7b + 17 = 0 (2)Giải hệ (1) và (2):
Từ (1), b = 31 - 7a. Thay vào (2):
a - 7(31 - 7a) + 17 = 0
a - 217 + 49a + 17 = 0
50a - 200 = 0 implies a = 4.
b = 31 - 7(4) = 31 - 28 = 3.
Vậy tâm đường tròn là I(4; 3).
Bán kính R = IA = \sqrt{(4 - 0)^2 + (3 - 6)^2} = \sqrt{4^2 + (-3)^2} = \sqrt{16 + 9} = \sqrt{25} = 5.
Phương trình đường tròn:
(x - 4)^2 + (y - 3)^2 = 5^2
(x - 4)^2 + (y - 3)^2 = 25. -
Đáp án/Kết quả:
a) (x – 3)^2 + (y – 3)^2 = 5.
b) (x – 4)^2 + (y – 3)^2 = 25.
Bài 4 trang 62
-
Đề bài: Lập phương trình đường tròn tiếp xúc với hai trục tọa độ Ox, Oy và đi qua điểm A(4; 2).
-
Phân tích yêu cầu: Đường tròn tiếp xúc với hai trục tọa độ có tâm và bán kính đặc biệt. Ta cần tìm tâm và bán kính dựa trên điều kiện này và điểm đi qua.
-
Kiến thức cần dùng: Phương trình đường tròn, tính chất đường tròn tiếp xúc với hai trục tọa độ.
-
Hướng dẫn giải chi tiết:
Gọi tâm của đường tròn là I(a; b) và bán kính là R.
Vì đường tròn tiếp xúc với hai trục tọa độ Ox và Oy, nên khoảng cách từ tâm đến hai trục bằng bán kính. Điều này có nghĩa là |a| = |b| = R.
Do điểm A(4; 2) nằm trong góc phần tư thứ nhất (cả tọa độ x, y đều dương), nên tâm I cũng phải nằm trong góc phần tư thứ nhất để đường tròn đi qua A và tiếp xúc với hai trục. Do đó, a > 0, b > 0.
Suy ra a = b = R. Tâm của đường tròn có dạng I(a; a) và bán kính là R = a.
Phương trình đường tròn có dạng:
(x - a)^2 + (y - a)^2 = a^2.
Đường tròn đi qua điểm A(4; 2), thay tọa độ A vào phương trình:
(4 - a)^2 + (2 - a)^2 = a^2
(16 - 8a + a^2) + (4 - 4a + a^2) = a^2
16 - 8a + a^2 + 4 - 4a + a^2 - a^2 = 0
a^2 - 12a + 20 = 0.
Đây là phương trình bậc hai theo biến a. Ta giải phương trình này:
(a - 2)(a - 10) = 0
Vậy, có hai giá trị của a thỏa mãn: a = 2 hoặc a = 10.Trường hợp 1: a = 2.
Tâm I(2; 2), bán kính R = 2.
Phương trình đường tròn là: (x - 2)^2 + (y - 2)^2 = 2^2 implies (x - 2)^2 + (y - 2)^2 = 4.Trường hợp 2: a = 10.
Tâm I(10; 10), bán kính R = 10.
Phương trình đường tròn là: (x - 10)^2 + (y - 10)^2 = 10^2 implies (x - 10)^2 + (y - 10)^2 = 100. -
Đáp án/Kết quả: Có hai phương trình đường tròn thỏa mãn yêu cầu:
- (x - 2)^2 + (y - 2)^2 = 4
- (x - 10)^2 + (y - 10)^2 = 100
Hy vọng với những hướng dẫn chi tiết này, bạn đọc có thể hiểu rõ và tự tin giải quyết các bài toán liên quan đến đường tròn. Chúc bạn học tốt!
Ngày chỉnh sửa nội dung mới nhất Tháng 1 8, 2026 by Thầy Đông

Thầy Đông – Giảng viên Đại học Công nghiệp Hà Nội, giáo viên luyện thi THPT
Thầy Đông bắt đầu sự nghiệp tại một trường THPT ở quê nhà, sau đó trúng tuyển giảng viên Đại học Công nghiệp Hà Nội nhờ chuyên môn vững và kinh nghiệm giảng dạy thực tế. Với nhiều năm đồng hành cùng học sinh, thầy được biết đến bởi phong cách giảng dạy rõ ràng, dễ hiểu và gần gũi. Hiện thầy giảng dạy tại dehocsinhgioi, tiếp tục truyền cảm hứng học tập cho học sinh cấp 3 thông qua các bài giảng súc tích, thực tiễn và giàu nhiệt huyết.

References:
Roulette machine greecestudies.site
References:
Treasure island casino minnesota https://myaxklt044312.ivasdesign.com