Giải Toán Lớp 3 Trang 23 Chi Tiết Nhất Theo Ba Bộ Sách Mới
Bài viết này cung cấp lời giải chi tiết và đầy đủ cho các bài tập trong sách giáo khoa Toán lớp 3 trang 23. Tập trung vào từ khóa chính giải toán lớp 3 trang 23, chúng tôi hệ thống hóa kiến thức và phương pháp giải chuẩn xác. Phụ huynh và học sinh sẽ nắm vững các kỹ năng quan trọng như Phép nhân số có hai chữ số, đặt tính rồi tính, bài toán có lời văn và kỹ năng xem đồng hồ. Các giải pháp này bám sát nội dung của cả ba bộ sách mới: Kết nối tri thức, Chân trời sáng tạo và Cánh diều.
Phân Tích Tổng Quan Chương Trình Toán Lớp 3
Chương trình Toán lớp 3 là giai đoạn quan trọng. Học sinh bắt đầu làm quen với các phép tính nâng cao. Các phép tính nhân, chia trong phạm vi 1000 được giới thiệu. Kiến thức này giúp các em xây dựng nền tảng vững chắc cho các lớp học tiếp theo. Đây là bước đệm then chốt.
Mục tiêu cốt lõi là giúp học sinh vận dụng toán học vào đời sống. Chủ đề trang 23 thường tập trung vào phép nhân có nhớ hoặc các bài toán thực tế. Việc hiểu rõ phương pháp giải giúp các em tự tin hơn. Quá trình ôn luyện cần sự tỉ mỉ và chính xác.
Phương Pháp Luận Khi Giải Toán Lớp 3 Trang 23
Để giải quyết các bài tập ở trang 23 một cách hiệu quả, học sinh cần nắm vững quy tắc cơ bản. Việc đặt tính rồi tính phép nhân phải theo đúng thứ tự. Nhân từ phải sang trái, từ hàng đơn vị đến hàng chục. Ghi nhớ số phải nhớ sang hàng bên cạnh là điều bắt buộc.
Đối với bài toán có lời văn, bước đầu tiên là phân tích đề bài. Xác định rõ “cái đã cho” và “cái cần tìm” là rất quan trọng. Sau đó, chọn phép tính phù hợp. Viết lời giải và đáp số đầy đủ giúp rèn luyện tư duy logic.
Lời Giải Chi Tiết Toán Lớp 3 Trang 23 (Sách Kết Nối Tri Thức Với Cuộc Sống)
Nội dung trang 23 của sách Kết nối tri thức thường xoay quanh chủ đề Phép nhân số có hai chữ số với số có một chữ số. Các bài tập được thiết kế để củng cố kỹ năng tính toán. Học sinh cần thực hiện các bước đặt tính và tính toán cẩn thận. Việc luyện tập thường xuyên là chìa khóa thành công.
Lý Thuyết Nền Tảng: Phép Nhân Số Có Hai Chữ Số
Phép nhân là một trong bốn phép tính cơ bản. Khi nhân số có hai chữ số với số có một chữ số, ta cần đặt tính thẳng hàng. Thừa số thứ hai đặt dưới hàng đơn vị của thừa số thứ nhất. Thực hiện nhân từ phải sang trái.
Ví dụ: $24 times 3$. Bước 1: $3 times 4 = 12$, viết 2 nhớ 1. Bước 2: $3 times 2 = 6$, thêm 1 nhớ là 7. Kết quả là 72. Nắm chắc quy tắc này sẽ giúp giải mọi bài toán.
Bài Tập 1: Đặt Tính Rồi Tính
Đây là dạng bài tập cơ bản nhất. Mục đích là rèn luyện kỹ năng tính toán chính xác. Học sinh phải tự đặt tính rồi tính với các phép nhân có nhớ. Sự tập trung là yếu tố quyết định kết quả.
Yêu cầu: $36 times 4$, $58 times 2$, $71 times 5$.
Lời giải:
- $36 times 4$: $4 times 6 = 24$, viết 4 nhớ 2. $4 times 3 = 12$, thêm 2 là 14. Kết quả là 144.
- $58 times 2$: $2 times 8 = 16$, viết 6 nhớ 1. $2 times 5 = 10$, thêm 1 là 11. Kết quả là 116.
- $71 times 5$: $5 times 1 = 5$. $5 times 7 = 35$. Kết quả là 355.
Bài Tập 2: Tính Nhẩm Và Ứng Dụng
Dạng bài này kiểm tra khả năng nhẩm nhanh của học sinh. Nó đòi hỏi vận dụng linh hoạt phép nhân với 10, 100 và các số tròn chục. Ví dụ: $20 times 4$ hay $3 times 50$. Học sinh có thể nhẩm $2 times 4 = 8$, rồi thêm số 0 vào.
Yêu cầu: $30 times 3$, $40 times 5$, $6 times 20$.
Lời giải:
- $30 times 3$: $3 times 3 = 9$. Thêm một chữ số 0. Kết quả là 90.
- $40 times 5$: $4 times 5 = 20$. Thêm một chữ số 0. Kết quả là 200.
- $6 times 20$: $6 times 2 = 12$. Thêm một chữ số 0. Kết quả là 120.
Bài Tập 3: Giải Toán Có Lời Văn (Liên Quan Đến Nhân)
Bài toán lời văn giúp học sinh áp dụng toán học vào tình huống thực tế. Phải xác định rõ mối quan hệ giữa các đại lượng. Tìm số lượng tổng thể khi biết số lượng của một phần là phép nhân.
Đề bài giả định: Một cửa hàng bán được 18 thùng sữa, mỗi thùng có 6 hộp. Hỏi cửa hàng đã bán được tất cả bao nhiêu hộp sữa?
Lời giải:
Số hộp sữa cửa hàng đã bán được là:
$18 times 6 = 108$ (hộp)
Đáp số: 108 hộp sữa.
Hướng Dẫn Giải Bài Tập Toán Lớp 3 Trang 23 (Sách Chân Trời Sáng Tạo)
Sách Chân trời sáng tạo có xu hướng lồng ghép kiến thức vào các hoạt động thực hành. Trang 23 có thể tập trung vào chủ đề Thời gian hoặc các đơn vị đo lường khác. Việc kết hợp lý thuyết với thực hành là trọng tâm của bộ sách này.
Kiến Thức Trọng Tâm: Đơn Vị Đo Thời Gian
Học sinh cần ghi nhớ mối quan hệ giữa các đơn vị thời gian. Cụ thể là mối liên hệ giữa giờ, phút, giây. Một ngày có 24 giờ. Một giờ có 60 phút. Việc này rất quan trọng để giải các bài toán liên quan. Kỹ năng xem đồng hồ cũng được củng cố.
Bài Tập 1: Đọc Và Viết Số Đo Thời Gian
Bài tập này yêu cầu học sinh nhận diện và ghi lại thời điểm trên mặt đồng hồ. Kim giờ chỉ giờ, kim phút chỉ phút. Phải chú ý đến vị trí của cả hai kim.
Yêu cầu giả định: Đồng hồ A chỉ 9 giờ 15 phút. Đồng hồ B chỉ 1 giờ 40 phút. Hãy viết lại số đo thời gian này.
Lời giải:
- Đồng hồ A: Kim giờ vượt qua số 9 một chút, kim phút chỉ số 3 (tức là $3 times 5 = 15$ phút). Thời gian là 9 giờ 15 phút.
- Đồng hồ B: Kim giờ gần số 2, kim phút chỉ số 8 (tức là $8 times 5 = 40$ phút). Thời gian là 1 giờ 40 phút.
Bài Tập 2: Bài Toán Thực Tế Về Thời Gian
Các bài toán thực tế yêu cầu học sinh tính khoảng thời gian đã trôi qua. Hoặc tính thời điểm kết thúc khi biết thời điểm bắt đầu và thời gian thực hiện. Bài toán cần sự cẩn trọng khi thực hiện phép tính cộng, trừ với đơn vị thời gian.
Đề bài giả định: Mai bắt đầu làm bài tập lúc 10 giờ 30 phút. Mai làm bài trong 45 phút. Hỏi Mai làm bài xong lúc mấy giờ?
Lời giải:
Thời điểm Mai làm bài xong là:
10 giờ 30 phút + 45 phút = 10 giờ 75 phút
Vì 75 phút = 1 giờ 15 phút.
Thời điểm kết thúc là 10 giờ + 1 giờ 15 phút = 11 giờ 15 phút.
Đáp số: 11 giờ 15 phút.
Hướng Dẫn Giải Bài Tập Toán Lớp 3 Trang 23 (Sách Cánh Diều)
Bộ sách Cánh diều thường tập trung củng cố kiến thức qua các bài toán có tính ứng dụng. Trang 23 có thể là bài tập về phép chia hết hoặc phép chia có dư. Kiến thức này là bước phát triển tiếp theo của phép nhân.
Ôn Tập: Phép Chia Hết Và Phép Chia Có Dư
Phép chia là phép tính ngược của phép nhân. Trong Toán lớp 3, học sinh làm quen với cả hai dạng chia hết và chia có dư. Điều quan trọng là biết cách kiểm tra lại kết quả. Số bị chia bằng thương nhân với số chia (cộng với số dư nếu có).
Bài Tập 1: Tìm Thành Phần Chưa Biết Của Phép Chia
Dạng bài này yêu cầu học sinh xác định số bị chia hoặc số chia còn thiếu. Việc này giúp củng cố mối quan hệ giữa các thành phần. Nhớ công thức là chìa khóa để giải quyết bài toán.
Yêu cầu giả định: Tìm x, biết: a) $x : 6 = 15$; b) $75 : x = 5$.
Lời giải:
- a) $x : 6 = 15$. Số bị chia bằng thương nhân số chia. $x = 15 times 6 = 90$.
- b) $75 : x = 5$. Số chia bằng số bị chia chia cho thương. $x = 75 : 5 = 15$.
Bài Tập 2: Giải Toán Có Lời Văn (Phép Chia)
Bài toán lời văn về phép chia thường liên quan đến việc chia đều một số lượng thành các phần bằng nhau. Hoặc tìm xem một số lượng lớn gấp mấy lần một số lượng nhỏ hơn.
Đề bài giả định: Cô giáo có 96 chiếc bút chì, cô chia đều cho 8 hộp quà. Hỏi mỗi hộp quà có bao nhiêu chiếc bút chì?
Lời giải:
Số chiếc bút chì mỗi hộp quà có là:
$96 : 8 = 12$ (chiếc)
Đáp số: 12 chiếc bút chì.
Giải Toán Lớp 3 Trang 23 (Sách Giáo Khoa Cũ – Ôn Tập & Nâng Cao)
Phần này cung cấp lời giải chi tiết cho các bài tập trong sách giáo khoa Toán lớp 3 cũ (trang 23). Các bài tập này chủ yếu ôn lại phép nhân và kỹ năng xem đồng hồ. Đây là tài liệu quý giá để ôn tập và nâng cao.
Bài Tập 1: Tính
Bài tập yêu cầu thực hiện phép nhân số có hai chữ số với số có một chữ số. Cả hai phép tính đều có nhớ.
Yêu cầu: Tính: $49 times 2$, $27 times 4$.
Lời giải:
- $49 times 2$: $2 times 9 = 18$, viết 8 nhớ 1. $2 times 4 = 8$, thêm 1 là 9. Kết quả là 98.
- $27 times 4$: $4 times 7 = 28$, viết 8 nhớ 2. $4 times 2 = 8$, thêm 2 là 10. Kết quả là 108.
Bài tập này củng cố kỹ năng nhân có nhớ. Luôn nhớ cộng số đã nhớ vào kết quả của phép nhân tiếp theo. Sai sót thường xảy ra ở bước cộng số nhớ.
Bài Tập 2: Đặt Tính Rồi Tính
Bài tập này tiếp tục rèn luyện kỹ năng đặt tính rồi tính. Có tổng cộng sáu phép tính khác nhau. Học sinh cần thực hiện các phép nhân một cách độc lập và chính xác.
Yêu cầu: a) $38 times 2$, $27 times 6$; b) $53 times 4$, $45 times 5$; c) $84 times 3$, $32 times 4$.
Lời giải:
a) $38 times 2 = 76$. $27 times 6 = 162$.
b) $53 times 4 = 212$. $45 times 5 = 225$.
c) $84 times 3 = 252$. $32 times 4 = 128$.
Hướng dẫn chi tiết cách đặt tính và tính toán cho các phép nhân: 38 nhân 2, 27 nhân 6, 53 nhân 4, 45 nhân 5, 84 nhân 3, và 32 nhân 4
Việc sắp xếp các chữ số thẳng hàng là yêu cầu bắt buộc. Đây là nền tảng để tránh nhầm lẫn khi thực hiện các phép tính lớn hơn.
Bài Tập 3: Giải Toán Có Lời Văn
Đây là một bài toán có lời văn đơn giản nhưng thực tế. Nó liên quan đến đơn vị đo thời gian. Dữ liệu cho là số giờ trong một ngày. Câu hỏi là tổng số giờ trong nhiều ngày.
Yêu cầu: Mỗi ngày có 24 giờ. Hỏi 6 ngày có tất cả bao nhiêu giờ?
Lời giải:
Số giờ của 6 ngày là:
$24 times 6 = 144$ (giờ)
Đáp số: 144 giờ.
Phép nhân này là $24 times 6$. $6 times 4 = 24$, viết 4 nhớ 2. $6 times 2 = 12$, thêm 2 là 14. Tổng cộng là 144 giờ.
Bài Tập 4: Quay Kim Đồng Hồ Để Chỉ
Bài tập này rèn luyện kỹ năng xem đồng hồ và nhận biết thời gian. Học sinh phải xác định vị trí kim giờ và kim phút chính xác. Kim giờ di chuyển chậm hơn, kim phút di chuyển nhanh hơn.
Yêu cầu: Quay kim đồng hồ để chỉ: a) 3 giờ 10 phút; b) 8 giờ 20 phút; c) 6 giờ 45 phút; d) 11 giờ 35 phút.
Lời giải:
a) 3 giờ 10 phút: Kim giờ ở sau số 3 một chút, kim phút ở số 2.
b) 8 giờ 20 phút: Kim giờ ở sau số 8 một chút, kim phút ở số 4.
c) 6 giờ 45 phút: Kim giờ ở gần số 7, kim phút ở số 9.
d) 11 giờ 35 phút: Kim giờ ở giữa số 11 và 12, kim phút ở số 7.
Kỹ năng này giúp học sinh quản lý thời gian tốt hơn. Đây là một kỹ năng sống quan trọng.
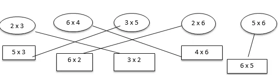
Bài Tập 5: Hai Phép Nhân Nào Có Kết Quả Bằng Nhau
Bài tập cuối cùng này yêu cầu tính toán và so sánh kết quả. Mục đích là củng cố phép nhân và kiểm tra sự nhạy bén của học sinh. Phải tính kết quả của tất cả các phép tính.
Yêu cầu: Nối các phép nhân có kết quả bằng nhau.
Lời giải:
Cần tính kết quả của mỗi phép nhân:
- $15 times 6 = 90$
- $45 times 2 = 90$
- $23 times 4 = 92$
- $31 times 3 = 93$
- $46 times 2 = 92$
- $93 times 1 = 93$
Sau đó nối các cặp có kết quả bằng nhau:
- $15 times 6$ nối với $45 times 2$ (cùng bằng 90)
- $23 times 4$ nối với $46 times 2$ (cùng bằng 92)
- $31 times 3$ nối với $93 times 1$ (cùng bằng 93)
Các phép nhân cần so sánh kết quả bằng nhau: 15×6, 45×2, 23×4, 31×3, 46×2, 93×1
Việc này giúp học sinh nhận ra các phép tính tương đương. Đồng thời rèn luyện tính chính xác trong tính toán.
Kết quả sau khi nối các phép nhân có kết quả bằng nhau
Các bài tập ở trang 23 của sách cũ là sự ôn tập toàn diện. Nó tập trung vào cả tính toán và ứng dụng thực tế.
Bài viết này đã cung cấp một bản giải toán lớp 3 trang 23 chi tiết. Nó bao gồm lời giải của các bài tập điển hình từ ba bộ sách mới và toàn bộ nội dung sách giáo khoa cũ. Việc nắm vững các phương pháp giải quyết vấn đề toán học ở Toán lớp 3 trang 23 là chìa khóa để đạt được thành tích học tập tốt. Học sinh cần thực hành thường xuyên các dạng bài tập về phép nhân và phép chia, cũng như thành thạo kỹ năng xem đồng hồ để củng cố kiến thức một cách vững chắc.
Ngày chỉnh sửa nội dung mới nhất November 29, 2025 by Thầy Đông

Thầy Đông – Giảng viên Đại học Công nghiệp Hà Nội, giáo viên luyện thi THPT
Thầy Đông bắt đầu sự nghiệp tại một trường THPT ở quê nhà, sau đó trúng tuyển giảng viên Đại học Công nghiệp Hà Nội nhờ chuyên môn vững và kinh nghiệm giảng dạy thực tế. Với nhiều năm đồng hành cùng học sinh, thầy được biết đến bởi phong cách giảng dạy rõ ràng, dễ hiểu và gần gũi. Hiện thầy giảng dạy tại dehocsinhgioi, tiếp tục truyền cảm hứng học tập cho học sinh cấp 3 thông qua các bài giảng súc tích, thực tiễn và giàu nhiệt huyết.
