Các Dạng Bài Tập Về Định Lý Vi-ét Lớp 9: Hướng Dẫn Chi Tiết và Nâng Cao
Định lý Vi-ét là một trong những kiến thức nền tảng và quan trọng nhất trong chương trình Toán học lớp 9, đặc biệt khi ôn luyện cho các kỳ thi quan trọng như thi học kỳ, thi vào lớp 10 và thi học sinh giỏi. Hiểu và vận dụng thành thạo định lý này không chỉ giúp giải quyết nhanh các bài toán về phương trình bậc hai mà còn mở ra nhiều hướng tiếp cận sáng tạo cho các dạng bài phức tạp hơn. Bài viết này sẽ đi sâu vào các dạng bài tập tiêu biểu liên quan đến định lý Vi-ét, cung cấp kiến thức chi tiết, phương pháp giải hiệu quả và các lưu ý quan trọng để học sinh có thể tự tin chinh phục.
Định lý Vi-ét, được đặt theo tên nhà toán học người Pháp François Viète, thiết lập mối quan hệ giữa các nghiệm của một đa thức và các hệ số của nó. Đối với phương trình bậc hai tổng quát dạng [ax^2 + bx + c = 0] (với [a ne 0]), nếu phương trình có hai nghiệm là [x_1] và [x_2], thì định lý Vi-ét cho ta hai hệ thức quan trọng:
- Tổng hai nghiệm: [{x_1} + {x_2} = -frac{b}{a}]
- Tích hai nghiệm: [{x_1}{x_2} = frac{c}{a}]
Việc nắm vững hai công thức này là chìa khóa để giải quyết một loạt các bài toán đa dạng. Dưới đây là các dạng bài tập thường gặp, được phân tích và hướng dẫn giải chi tiết.
Đề Bài
Các dạng bài tập về định lý Viet lớp 9 cơ bản và nâng cao. Định lý Viet là một kiến thức quan trọng ở bậc THCS mà bạn cần phải nhớ khi muốn học tốt toán. Không chỉ có trong bài kiểm tra, thi học kì mà còn xuất hiện nhiều trong đề thi học sinh giỏi, thi vào 10.
Các dạng bài tập về định lý Viet lớp 9 cơ bản và nâng cao
Phân Tích Yêu Cầu
Bài viết này tập trung vào việc trình bày và phân tích các dạng bài tập khác nhau liên quan đến định lý Vi-ét trong chương trình Toán lớp 9. Mục tiêu là cung cấp cho học sinh một cái nhìn tổng quan về cách áp dụng định lý này để giải các bài toán từ cơ bản đến nâng cao, bao gồm tính nhẩm nghiệm, tính giá trị biểu thức chứa nghiệm, phân tích đa thức thành nhân tử, tìm tham số, lập phương trình mới, và các ứng dụng khác. Các ví dụ minh họa cụ thể sẽ được đưa ra cho từng dạng bài để làm rõ phương pháp giải.
Kiến Thức/Nền Tảng Cần Dùng
Để giải quyết các bài tập về định lý Vi-ét, học sinh cần nắm vững các kiến thức sau:
-
Phương trình bậc hai: Dạng tổng quát [ax^2 + bx + c = 0] (với [a ne 0]), điều kiện có nghiệm (biệt thức Delta: [Delta = {b^2} – 4ac]).
- Nếu [Delta > 0], phương trình có hai nghiệm phân biệt: [{x_1} = frac{{ – b + sqrt Delta }}{{2a}}] và [{x_2} = frac{{ – b – sqrt Delta }}{{2a}}].
- Nếu [Delta = 0], phương trình có nghiệm kép: [{x_1} = {x_2} = -frac{b}{2a}].
- Nếu [Delta < 0], phương trình vô nghiệm.
-
Định lý Vi-ét:
- Với phương trình [ax^2 + bx + c = 0] (với [a ne 0]) có hai nghiệm [x_1, x_2], ta có:
- [{x_1} + {x_2} = -frac{b}{a}]
- [{x_1}{x_2} = frac{c}{a}]
- Đối với phương trình bậc hai có nghiệm, điều kiện để phương trình có hai nghiệm (phân biệt hoặc kép) là [Delta ge 0].
- Với phương trình [ax^2 + bx + c = 0] (với [a ne 0]) có hai nghiệm [x_1, x_2], ta có:
-
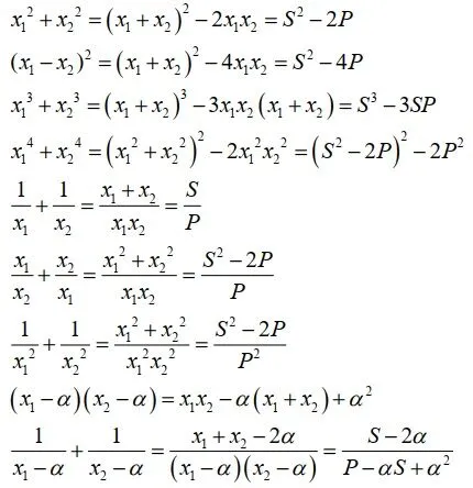
Biến đổi các biểu thức đối xứng của hai nghiệm: Học sinh cần biết cách biểu diễn các biểu thức chứa [x_1] và [x_2] dưới dạng tổng [S = {x_1} + {x_2}] và tích [P = {x_1}{x_2}]. Một số biến đổi thường gặp:
- [x_1^2 + x_2^2 = ({x_1} + {x_2})^2 – 2{x_1}{x_2} = {S^2} – 2P]
- [frac{1}{x_1} + frac{1}{x_2} = frac{{{x_1} + {x_2}}}{{{x_1}{x_2}}} = frac{S}{P}]
- [|{x_1} – {x_2}| = sqrt{({x_1} – {x_2})^2} = sqrt{({x_1} + {x_2})^2 – 4{x_1}{x_2}} = sqrt{{S^2} – 4P}]
- [x_1^3 + x_2^3 = ({x_1} + {x_2})({x_1}^2 – {x_1}{x_2} + {x_2}^2) = S({S^2} – 3P)]
-
Phân tích đa thức bậc hai thành nhân tử: Nếu phương trình [ax^2 + bx + c = 0] có hai nghiệm [x_1, x_2], thì ta có thể phân tích đa thức thành nhân tử như sau: [ax^2 + bx + c = a(x – x_1)(x – x_2)].
Hướng Dẫn Giải Chi Tiết
Dưới đây là phân tích chi tiết các dạng bài tập về định lý Vi-ét:
Dạng 1. Dựa vào định lý Vi-ét để tính nhẩm nghiệm
Khi gặp một phương trình bậc hai [ax^2 + bx + c = 0], thay vì tính Delta và dùng công thức nghiệm, ta có thể thử nhẩm nghiệm dựa vào định lý Vi-ét.
- Trường hợp đặc biệt:
- Nếu [a + b + c = 0], thì phương trình có hai nghiệm là [{x_1} = 1] và [{x_2} = frac{c}{a}].
- Nếu [a – b + c = 0], thì phương trình có hai nghiệm là [{x_1} = -1] và [{x_2} = -frac{c}{a}].
Ví dụ: Giải phương trình [3{x^2} + 5x – 8 = 0].
Phân tích: Ta thấy [a = 3, b = 5, c = -8].
Kiểm tra (a + b + c = 3 + 5 + (-8) = 0).
Do đó, phương trình có hai nghiệm là [{x_1} = 1] và [{x_2} = frac{c}{a} = frac{{-8}}{3}].
Mẹo kiểm tra: Sau khi nhẩm được nghiệm, ta có thể thay nghiệm đó vào phương trình ban đầu để kiểm tra xem có thỏa mãn hay không.
Lỗi hay gặp: Nhầm lẫn giữa hai trường hợp (a+b+c=0) và (a-b+c=0), hoặc tính sai nghiệm thứ hai khi áp dụng công thức (frac{c}{a}) hoặc (-frac{c}{a}).
Dạng 2. Tính giá trị của biểu thức giữa các nghiệm
Đây là dạng bài phổ biến nhất, yêu cầu tính giá trị của một biểu thức đối xứng hoặc gần đối xứng theo hai nghiệm [x_1, x_2] của một phương trình bậc hai.
Nguyên tắc chung:
- Kiểm tra điều kiện để phương trình có nghiệm (thường là [Delta ge 0]).
- Áp dụng định lý Vi-ét để xác định tổng [S = {x_1} + {x_2}] và tích [P = {x_1}{x_2}].
- Biến đổi biểu thức cần tính sao cho nó chỉ chứa các tổng và tích của nghiệm (hoặc các lũy thừa của tổng và tích).
- Thay giá trị (S) và (P) vào biểu thức đã biến đổi để tính kết quả.
Ví dụ: Cho phương trình [{x^2} – 6x + m = 0]. Gọi [x_1, x_2] là hai nghiệm của phương trình. Tính giá trị của biểu thức [A = {x_1}^2 + {x_2}^2].
Giải:
Phương trình có hai nghiệm khi [Delta = {(-6)^2} – 4(1)(m) = 36 – 4m ge 0 implies m le 9].
Theo định lý Vi-ét, ta có:
[S = {x_1} + {x_2} = -frac{{-6}}{1} = 6]
[P = {x_1}{x_2} = frac{m}{1} = m]
Biểu thức cần tính là [A = {x_1}^2 + {x_2}^2]. Ta biến đổi:
[{x_1}^2 + {x_2}^2 = ({x_1} + {x_2})^2 – 2{x_1}{x_2} = {S^2} – 2P]
Thay giá trị của (S) và (P) vào:
[A = {6^2} – 2m = 36 – 2m]
Vậy, [{x_1}^2 + {x_2}^2 = 36 – 2m] (với điều kiện [m le 9]).
![]()
Mẹo kiểm tra: Sau khi tính toán, hãy thử với một giá trị cụ thể của tham số (m) (sao cho (m le 9)), ví dụ (m=5). Phương trình trở thành [{x^2} – 6x + 5 = 0). Nghiệm là (x_1=1, x_2=5).
Tính trực tiếp: [{x_1}^2 + {x_2}^2 = 1^2 + 5^2 = 1 + 25 = 26].
Theo công thức tìm được: [36 – 2m = 36 – 2(5) = 36 – 10 = 26]. Hai kết quả khớp nhau.
Lỗi hay gặp: Quên kiểm tra điều kiện có nghiệm ((Delta ge 0)); biến đổi biểu thức sai; nhầm lẫn giữa (S) và (P).
Dạng 3. Tìm hai số khi biết tổng và tích
Dạng này là ứng dụng trực tiếp của định lý Vi-ét đảo. Nếu biết hai số (u) và (v) có tổng là (S) và tích là (P), thì (u) và (v) chính là hai nghiệm của phương trình bậc hai có dạng [{x^2} – Sx + P = 0].
Nguyên tắc chung:
- Xác định tổng (S) và tích (P) từ đề bài.
- Lập phương trình bậc hai có dạng [{x^2} – Sx + P = 0].
- Giải phương trình này để tìm hai nghiệm, đó chính là hai số cần tìm.
- Kiểm tra xem hai số tìm được có thỏa mãn các điều kiện khác của đề bài (ví dụ: số nguyên dương) hay không.
Ví dụ: Tìm hai số, biết tổng của chúng bằng 5 và tích của chúng bằng 6.
Giải:
Gọi hai số cần tìm là (x_1) và (x_2).
Theo đề bài, ta có:
[{x_1} + {x_2} = 5]
[{x_1}{x_2} = 6]
Theo định lý Vi-ét đảo, (x_1) và (x_2) là nghiệm của phương trình:
[{x^2} – ({x_1} + {x_2})x + {x_1}{x_2} = 0]
[{x^2} – 5x + 6 = 0]
Giải phương trình này: [Delta = {(-5)^2} – 4(1)(6) = 25 – 24 = 1 > 0].
Nghiệm là [x = frac{{ – (-5) pm sqrt 1 }}{{2(1)}} = frac{{5 pm 1}}{2}].
Vậy hai nghiệm là [{x_1} = frac{{5 + 1}}{2} = 3] và [{x_2} = frac{{5 – 1}}{2} = 2].
Hai số cần tìm là 2 và 3.
![]()
Mẹo kiểm tra: Kiểm tra lại tổng và tích của hai số tìm được có khớp với đề bài không. (2+3=5), (2 times 3 = 6).
Lỗi hay gặp: Lập sai phương trình bậc hai (nhầm dấu của (S)), hoặc giải sai phương trình bậc hai.
Dạng 4. Phân tích tam thức bậc hai thành nhân tử
Nếu một tam thức bậc hai [ax^2 + bx + c] có hai nghiệm là [x_1] và [x_2], thì nó có thể được phân tích thành nhân tử dưới dạng [a(x – x_1)(x – x_2)].
Nguyên tắc chung:
- Tìm nghiệm của phương trình [ax^2 + bx + c = 0]. Có thể dùng Delta hoặc các trường hợp đặc biệt (như Dạng 1).
- Áp dụng công thức phân tích: [ax^2 + bx + c = a(x – x_1)(x – x_2)].
Ví dụ: Phân tích tam thức [3{x^2} + 5x – 8] thành nhân tử.
Giải:
Xét phương trình [3{x^2} + 5x – 8 = 0].
Ta nhận thấy (a = 3, b = 5, c = -8).
Kiểm tra (a + b + c = 3 + 5 – 8 = 0).
Vậy phương trình có hai nghiệm là [{x_1} = 1] và [{x_2} = frac{c}{a} = frac{{-8}}{3}].
Áp dụng công thức phân tích:
[3{x^2} + 5x – 8 = 3(x – 1)left(x – left(-frac{8}{3}right)right)]
[3{x^2} + 5x – 8 = 3(x – 1)left(x + frac{8}{3}right)]
Nhân hệ số 3 vào ngoặc thứ hai:
[3{x^2} + 5x – 8 = (x – 1)(3x + 8)]
![]()
Mẹo kiểm tra: Nhân ngược lại biểu thức đã phân tích để xem có ra tam thức ban đầu không. ((x – 1)(3x + 8) = 3x^2 + 8x – 3x – 8 = 3x^2 + 5x – 8).
Lỗi hay gặp: Quên nhân hệ số (a) ở ngoài, hoặc nhầm lẫn dấu khi viết (x – x_1).
Dạng 5. Tìm điều kiện của tham số để phương trình bậc 2 có một nghiệm cho trước, và tìm nghiệm còn lại
Dạng này yêu cầu tìm giá trị của tham số (m) sao cho phương trình thỏa mãn điều kiện có một nghiệm cụ thể, sau đó tìm nghiệm còn lại.
Cách 1: Sử dụng định lý Vi-ét kết hợp với việc thay nghiệm
- Bước 1: Kiểm tra điều kiện để phương trình có nghiệm (thường là [Delta ge 0]).
- Bước 2: Thay nghiệm (x_1) đã cho vào phương trình. Phương trình này sẽ trở thành một phương trình chỉ còn chứa tham số (m). Giải phương trình này để tìm (m).
- Bước 3: Đối chiếu giá trị (m) tìm được với điều kiện [Delta ge 0] (hoặc các điều kiện khác của (m)) để kết luận.
- Bước 4: Sử dụng định lý Vi-ét (tổng hoặc tích hai nghiệm) để tìm nghiệm còn lại. Ví dụ, nếu phương trình có nghiệm là (x_1) và (x_2), ta có [{x_1} + {x_2} = S] hoặc [{x_1}{x_2} = P]. Từ đó, [{x_2} = S – {x_1}] hoặc [{x_2} = frac{P}{x_1}].
Cách 2: Chỉ sử dụng việc thay nghiệm
- Bước 1: Thay nghiệm (x_1) đã cho vào phương trình để tìm (m).
- Bước 2: Thay giá trị (m) vừa tìm được vào phương trình ban đầu.
- Bước 3: Giải phương trình bậc hai mới này để tìm cả hai nghiệm. Nếu [Delta < 0] với giá trị (m) tìm được, điều đó có nghĩa là không có giá trị (m) nào để phương trình có nghiệm (x_1) cho trước (trừ khi đề bài cho phép nghiệm phức, nhưng trong chương trình lớp 9 thường không xét).
- Bước 4: Từ hai nghiệm tìm được, xác định nghiệm còn lại.
Ví dụ: Cho phương trình [2{x^2} + kx – 10 = 0]. Với giá trị nào của (k) thì phương trình có một nghiệm (x = 2)? Tìm nghiệm kia.
Giải theo Cách 1:
- Điều kiện để phương trình có nghiệm: [Delta = {k^2} – 4(2)(-10) = {k^2} + 80 ge 0]. Bất đẳng thức này luôn đúng với mọi (k) vì [{k^2} ge 0].
- Thay (x = 2) vào phương trình:
[2(2)^2 + k(2) – 10 = 0]
[2(4) + 2k – 10 = 0]
[8 + 2k – 10 = 0]
[2k – 2 = 0]
[2k = 2 implies k = 1] - Giá trị (k=1) luôn thỏa mãn điều kiện (Delta ge 0).
- Với (k=1), phương trình trở thành [2{x^2} + x – 10 = 0].
Theo định lý Vi-ét, tổng hai nghiệm là [{x_1} + {x_2} = -frac{k}{2} = -frac{1}{2}].
Ta biết một nghiệm là [{x_1} = 2]. Gọi nghiệm kia là [x_2].
[2 + {x_2} = -frac{1}{2}]
[{x_2} = -frac{1}{2} – 2 = -frac{1}{2} – frac{4}{2} = -frac{5}{2}]
Vậy, nghiệm kia là [-frac{5}{2}].
Giải theo Cách 2:
- Thay (x = 2) vào phương trình: [2(2)^2 + k(2) – 10 = 0 implies 8 + 2k – 10 = 0 implies 2k = 2 implies k = 1).
- Thay (k=1) vào phương trình: [2{x^2} + x – 10 = 0).
- Giải phương trình [2{x^2} + x – 10 = 0):
[Delta = {1^2} – 4(2)(-10) = 1 + 80 = 81 > 0].
Nghiệm là [x = frac{{ – 1 pm sqrt{81} }}{{2(2)}} = frac{{ – 1 pm 9}}{4}].
Hai nghiệm là [x = frac{{ – 1 + 9}}{4} = frac{8}{4} = 2] và [x = frac{{ – 1 – 9}}{4} = frac{{-10}}{4} = -frac{5}{2}]. - Ta thấy một nghiệm là 2 (đúng như đề bài cho), nghiệm còn lại là [-frac{5}{2}].
![]()
Mẹo kiểm tra: Thay cả hai nghiệm (2) và (-frac{5}{2}) vào phương trình (2{x^2} + x – 10 = 0) để kiểm tra.
Với (x=2): (2(2)^2 + 2 – 10 = 8 + 2 – 10 = 0).
Với (x=-frac{5}{2}): (2(-frac{5}{2})^2 + (-frac{5}{2}) – 10 = 2(frac{25}{4}) – frac{5}{2} – 10 = frac{25}{2} – frac{5}{2} – frac{20}{2} = frac{25-5-20}{2} = 0).
Lỗi hay gặp: Quên kiểm tra điều kiện có nghiệm ((Delta ge 0)), hoặc nhầm lẫn khi sử dụng công thức tổng/tích nghiệm để tìm nghiệm còn lại.
Dạng 6. Xác định tham số để các nghiệm của phương trình bậc 2 thỏa mãn một điều kiện cho trước
Đây là dạng bài nâng cao, kết hợp định lý Vi-ét với các điều kiện về nghiệm.
Nguyên tắc chung:
- Bước 1: Tìm điều kiện để phương trình có nghiệm (thường là [Delta ge 0]).
- Bước 2: Áp dụng định lý Vi-ét để xác định tổng [S = {x_1} + {x_2}] và tích [P = {x_1}{x_2}] theo tham số.
- Bước 3: Biến đổi điều kiện cho trước của các nghiệm thành một biểu thức chỉ chứa (S) và (P).
- Bước 4: Giải phương trình/bất phương trình thu được để tìm tham số.
- Bước 5: Đối chiếu kết quả tìm được với điều kiện [Delta ge 0] (hoặc các điều kiện khác) để đưa ra kết luận cuối cùng.
Ví dụ: Cho phương trình: [{x^2} – 6x + m = 0]. Tính giá trị của (m) biết phương trình có hai nghiệm [x_1, x_2] thỏa mãn điều kiện: [{x_1} – {x_2} = 4].
Giải:
- Điều kiện để phương trình có nghiệm: [Delta = {(-6)^2} – 4(1)(m) = 36 – 4m ge 0 implies m le 9].
- Theo định lý Vi-ét:
[S = {x_1} + {x_2} = -frac{{-6}}{1} = 6]
[P = {x_1}{x_2} = frac{m}{1} = m] - Biến đổi điều kiện [{x_1} – {x_2} = 4].
Ta biết ((x_1 – x_2)^2 = (x_1 + x_2)^2 – 4x_1x_2).
Do đó, [4^2 = {6^2} – 4m]
[16 = 36 – 4m] - Giải phương trình tìm (m):
[4m = 36 – 16]
[4m = 20]
[m = 5] - Đối chiếu với điều kiện (m le 9). Giá trị (m = 5) thỏa mãn.
Vậy, giá trị của (m) cần tìm là 5.
![]()
Mẹo kiểm tra: Thay (m=5) vào phương trình ban đầu: [{x^2} – 6x + 5 = 0). Nghiệm là (x_1=1, x_2=5).
Kiểm tra điều kiện: (x_1 – x_2 = 1 – 5 = -4) hoặc (x_2 – x_1 = 5 – 1 = 4). Điều kiện thỏa mãn (lưu ý rằng (x_1 – x_2 = 4) hoặc (x_2 – x_1 = 4), tức là (|x_1 – x_2| = 4)).
Lỗi hay gặp: Quên điều kiện (Delta ge 0), biến đổi sai biểu thức chứa nghiệm, hoặc tính toán sai.
Dạng 7. Lập phương trình bậc hai khi biết hai nghiệm hoặc hai nghiệm có liên quan tới hai nghiệm của một phương trình đã cho
Dạng này yêu cầu xây dựng một phương trình bậc hai mới dựa trên mối quan hệ với nghiệm của một phương trình đã cho.
Nguyên tắc chung:
- Gọi hai nghiệm mới là (alpha) và (beta).
- Tìm tổng (alpha + beta) và tích (alpha beta) dựa trên mối quan hệ đã cho với nghiệm (x_1, x_2) của phương trình ban đầu.
- Áp dụng định lý Vi-ét đảo: phương trình mới cần lập có dạng [{x^2} – (alpha + beta)x + alpha beta = 0].
Ví dụ: Gọi (x_1, x_2) là hai nghiệm của phương trình [{x^2} – 7x + 3 = 0]. Hãy lập phương trình bậc hai có hai nghiệm là [2{x_1} – {x_2}] và [2{x_2} – {x_1}].
Giải:
Phương trình ban đầu: [{x^2} – 7x + 3 = 0].
Theo định lý Vi-ét cho phương trình ban đầu:
[{x_1} + {x_2} = 7]
[{x_1}{x_2} = 3]
Gọi hai nghiệm mới là (alpha = 2{x_1} – {x_2}) và (beta = 2{x_2} – {x_1}).
Ta cần tính tổng và tích của (alpha) và (beta).
-
Tính tổng (alpha + beta):
[alpha + beta = (2{x_1} – {x_2}) + (2{x_2} – {x_1})]
[alpha + beta = (2{x_1} – {x_1}) + (2{x_2} – {x_2})]
[alpha + beta = {x_1} + {x_2}]
Thay giá trị từ Vi-ét ban đầu: [alpha + beta = 7]. -
Tính tích (alpha beta):
[alpha beta = (2{x_1} – {x_2})(2{x_2} – {x_1})]
[alpha beta = 4{x_1}{x_2} – 2{x_1}^2 – 2{x_2}^2 + {x_1}{x_2}]
[alpha beta = 5{x_1}{x_2} – 2({x_1}^2 + {x_2}^2)]
Ta cần tính [{x_1}^2 + {x_2}^2):
[{x_1}^2 + {x_2}^2 = ({x_1} + {x_2})^2 – 2{x_1}{x_2} = {7^2} – 2(3) = 49 – 6 = 43]
Thay vào biểu thức tích (alpha beta):
[alpha beta = 5(3) – 2(43)]
[alpha beta = 15 – 86]
[alpha beta = -71]
Phương trình bậc hai cần lập có dạng [{x^2} – (alpha + beta)x + alpha beta = 0].
Thay giá trị đã tính:
[{x^2} – 7x + (-71) = 0]
[{x^2} – 7x – 71 = 0]
![]()
Mẹo kiểm tra: Kiểm tra lại các bước biến đổi biểu thức tổng và tích của nghiệm mới.
Lỗi hay gặp: Nhầm lẫn trong các phép biến đổi đại số, đặc biệt là khi tính toán các biểu thức bậc cao hoặc biểu thức chứa lũy thừa của nghiệm.
Dạng 8. Tìm hệ thức liên hệ giữa hai nghiệm của phương trình bậc hai không phụ thuộc vào tham số
Dạng này yêu cầu tìm một đẳng thức liên quan đến các nghiệm (x_1, x_2) mà không chứa tham số (m).
Nguyên tắc chung:
- Sử dụng định lý Vi-ét để biểu diễn tổng (S) và tích (P) theo tham số (m).
- Biến đổi các biểu thức chứa (S) và (P) sao cho có thể loại bỏ được tham số (m). Thường là tìm cách biểu diễn (m) theo (S) hoặc (P) rồi thế vào biểu thức còn lại.
- Kiểm tra điều kiện phương trình có nghiệm ((Delta ge 0)).
Ví dụ: Cho phương trình [8{x^2} – 4left( {m – 2} right)x + mleft( {m – 4} right) = 0]. Tìm hệ thức giữa hai nghiệm độc lập với (m).
Giải:
Phương trình đã cho là bậc hai với (a = 8), (b = -4(m-2)), (c = m(m-4
Ngày chỉnh sửa nội dung mới nhất Tháng 1 15, 2026 by Thầy Đông

Thầy Đông – Giảng viên Đại học Công nghiệp Hà Nội, giáo viên luyện thi THPT
Thầy Đông bắt đầu sự nghiệp tại một trường THPT ở quê nhà, sau đó trúng tuyển giảng viên Đại học Công nghiệp Hà Nội nhờ chuyên môn vững và kinh nghiệm giảng dạy thực tế. Với nhiều năm đồng hành cùng học sinh, thầy được biết đến bởi phong cách giảng dạy rõ ràng, dễ hiểu và gần gũi. Hiện thầy giảng dạy tại dehocsinhgioi, tiếp tục truyền cảm hứng học tập cho học sinh cấp 3 thông qua các bài giảng súc tích, thực tiễn và giàu nhiệt huyết.
