Cách Giải Bài Thực Tế Lớp 9 Bằng Hệ Phương Trình Chuẩn KaTeX
Trong chương trình Toán lớp 9, việc giải các bài toán thực tế bằng cách lập hệ phương trình là một kỹ năng quan trọng, giúp học sinh vận dụng kiến thức toán học vào giải quyết các vấn đề trong cuộc sống. Bài viết này tập trung vào cách giải bài thực tế lớp 9 một cách chi tiết, dễ hiểu, đảm bảo tính chính xác học thuật và tuân thủ quy tắc hiển thị công thức toán học chuẩn KaTeX. Chúng ta sẽ cùng nhau tìm hiểu phương pháp chung và áp dụng qua các ví dụ minh họa cụ thể.
Đề Bài
Bài viết Cách giải bài thực tế lớp 9 với phương pháp giải chi tiết giúp học sinh ôn tập, biết cách làm bài tập Cách giải bài thực tế.
Phân Tích Yêu Cầu
Các bài toán thực tế thường mô tả một tình huống quen thuộc trong đời sống, kinh tế, khoa học kỹ thuật, hoặc xã hội. Yêu cầu của bài toán là tìm một hoặc nhiều đại lượng chưa biết dựa trên các mối quan hệ được cho sẵn. Để giải quyết chúng, chúng ta cần thực hiện các bước phân tích logic, xác định các đại lượng cần tìm (ẩn số) và các mối liên hệ giữa chúng để thiết lập nên một hệ phương trình toán học.
Kiến Thức/Nền Tảng Cần Dùng
Để giải bài toán thực tế bằng cách lập hệ phương trình, học sinh cần nắm vững các kiến thức sau:
- Đại lượng và Ẩn số: Xác định các đại lượng trong bài toán, phân biệt đại lượng đã biết và đại lượng chưa biết. Đại lượng chưa biết sẽ được đặt làm ẩn số. Điều kiện của ẩn số (ví dụ: số lượng phải dương, thời gian phải lớn hơn 0) cũng cần được xác định rõ ràng.
- Thiết lập phương trình: Dựa vào các mối quan hệ định lượng được mô tả trong đề bài (ví dụ: tổng, hiệu, tích, thương, tỉ lệ, mối quan hệ về vận tốc, thời gian, quãng đường, năng suất, khối lượng, thể tích, phần trăm, lãi suất, nhiệt độ, v.v.), chúng ta sẽ biểu diễn các đại lượng này dưới dạng các biểu thức đại số và lập thành các phương trình.
- Hệ phương trình bậc nhất hai ẩn: Đối với các bài toán lớp 9, chúng ta thường gặp các bài toán có thể quy về hệ hai phương trình bậc nhất hai ẩn có dạng:
\begin{cases} ax + by = c \ dx + ey = f \end{cases}trong đó $a, b, c, d, e, f$ là các hệ số đã biết, và $x, y$ là hai ẩn số cần tìm.
- Phương pháp giải hệ phương trình:
- Phương pháp thế: Rút một ẩn từ một phương trình theo ẩn còn lại rồi thế vào phương trình kia.
- Phương pháp cộng đại số: Nhân hai vế của mỗi phương trình với một số thích hợp sao cho hệ số của một cặp ẩn nào đó đối nhau, rồi cộng hai phương trình lại để được một phương trình mới chỉ còn một ẩn.
- Kiểm tra điều kiện và kết luận: Sau khi giải hệ phương trình, ta thu được các giá trị của ẩn. Cần kiểm tra xem các giá trị này có thỏa mãn điều kiện của bài toán ban đầu hay không. Nếu có, ta kết luận. Nếu không, ta xem xét lại bài toán hoặc kết quả.
Hướng Dẫn Giải Chi Tiết
Phương pháp chung để giải bài toán thực tế bằng cách lập hệ phương trình bao gồm ba bước chính:
Bước 1: Lập hệ phương trình
Đây là bước quan trọng nhất, đòi hỏi sự phân tích kỹ lưỡng đề bài.
- Chọn ẩn và đặt điều kiện cho ẩn: Đọc kỹ đề bài để xác định các đại lượng chưa biết cần tìm. Chọn các chữ cái (thường là $x, y$) để đại diện cho các đại lượng này. Đồng thời, ghi rõ điều kiện xác định cho các ẩn số đó (ví dụ: $x, y$ phải là số dương, $x, y$ phải là số nguyên, $x$ phải lớn hơn một giá trị nào đó, v.v.).
- Biểu diễn các đại lượng khác theo ẩn: Dựa vào mối liên hệ đã cho trong đề bài, biểu diễn các đại lượng còn lại (nếu có) theo các ẩn đã chọn và các đại lượng đã biết.
- Lập hệ phương trình: Dựa vào các mối quan hệ định lượng còn lại trong đề bài, thiết lập hai phương trình tương ứng với hai ẩn số đã chọn. Mỗi phương trình phải phản ánh một mối quan hệ độc lập giữa các đại lượng.
Bước 2: Giải hệ phương trình
Sau khi đã thiết lập được hệ phương trình, ta sử dụng một trong các phương pháp giải hệ phương trình bậc nhất hai ẩn (thế hoặc cộng đại số) để tìm giá trị của hai ẩn số.
Bước 3: So sánh với điều kiện và kết luận
- Kiểm tra điều kiện: Đối chiếu các giá trị tìm được của ẩn số với điều kiện xác định đã đặt ra ở Bước 1. Nếu các giá trị tìm được thỏa mãn điều kiện, thì chúng là nghiệm của bài toán. Nếu có giá trị không thỏa mãn, ta loại bỏ giá trị đó.
- Kết luận: Trả lời câu hỏi của đề bài bằng cách diễn đạt các giá trị nghiệm tìm được theo đúng ngữ cảnh của bài toán thực tế.
Mẹo kiểm tra
- Sau khi tìm được nghiệm, hãy thay các giá trị của ẩn vào lại các điều kiện và phương trình ban đầu để đảm bảo chúng đều thỏa mãn.
- Đọc lại câu hỏi và đảm bảo câu trả lời của bạn đã giải quyết đúng yêu cầu của đề bài.
Lỗi hay gặp
- Đặt sai ẩn: Chọn sai đại lượng làm ẩn hoặc không xác định rõ điều kiện của ẩn.
- Thiếu phương trình: Không khai thác hết các dữ kiện hoặc mối quan hệ trong đề bài, dẫn đến chỉ lập được một phương trình hoặc hệ phương trình không đủ để giải.
- Sai sót trong quá trình biến đổi đại số: Lỗi tính toán khi rút gọn, nhân, chia, cộng, trừ các biểu thức.
- Quên kiểm tra điều kiện: Tìm ra nghiệm nhưng không đối chiếu với điều kiện ban đầu, dẫn đến kết quả không hợp lý trong thực tế.
Ví dụ 1:
Bạn Dũng trung bình tiêu thụ hết 15 calo cho mỗi phút bơi và 10 calo cho mỗi phút chạy bộ. Hôm nay, Dũng mất 1,5 giờ cho hai động trên và 1200 calo được tiêu thụ. Hỏi hôm nay, bạn Dũng mất bao nhiêu phút cho mỗi hoạt động?
Hướng dẫn:
Đổi đơn vị thời gian: 1,5 giờ = 1,5 $times$ 60 phút = 90 phút.
-
Đặt ẩn và điều kiện:
Gọi $x$ là số phút bơi của Dũng.
Gọi $y$ là số phút chạy bộ của Dũng.
Điều kiện: $x > 0$, $y > 0$, và tổng thời gian x + y = 90 phút. -
Biểu diễn và lập hệ phương trình:
Tổng thời gian cho hai hoạt động là 90 phút:
x + y = 90
Tổng lượng calo tiêu thụ là 1200 calo:
Lượng calo từ bơi: 15x
Lượng calo từ chạy bộ: 10y
Ta có phương trình:
15x + 10y = 1200
Ta có hệ phương trình:
\begin{cases} x + y = 90 15x + 10y = 1200 \end{cases} -
Giải hệ phương trình:
Từ phương trình (1), ta rút ra x = 90 - y.
Thế vào phương trình (2):
15(90 - y) + 10y = 1200
1350 - 15y + 10y = 1200
-5y = 1200 - 1350
-5y = -150
y = \frac{-150}{-5} = 30
Thay y = 30 vào phương trình x = 90 - y:
x = 90 - 30 = 60 -
Kiểm tra điều kiện và kết luận:
Ta tìm được x = 60 và y = 30. Cả hai giá trị này đều dương và thỏa mãn điều kiện x + y = 90.
Vậy, Dũng mất 60 phút để bơi và 30 phút để chạy bộ.
Ví dụ 2:
Có 45 người bác sĩ và luật sư, tuổi trung bình của họ là 40. Tính số bác sĩ, số luật sư, biết rằng tuổi trung bình của các bác sĩ là 35, tuổi trung bình của các luật sư là 50.
Hướng dẫn:
-
Đặt ẩn và điều kiện:
Gọi $x$ là số bác sĩ.
Gọi $y$ là số luật sư.
Điều kiện: $x, y$ là các số nguyên dương và x + y = 45. -
Biểu diễn và lập hệ phương trình:
Tổng số người là 45:
x + y = 45
Tổng số tuổi của các bác sĩ là 35x.
Tổng số tuổi của các luật sư là 50y.
Tổng số tuổi của tất cả mọi người là 40 \times 45 = 1800.
Ta có phương trình:
35x + 50y = 1800
Ta có hệ phương trình:
\begin{cases} x + y = 45 35x + 50y = 1800 \end{cases} -
Giải hệ phương trình:
Từ phương trình (1), rút x = 45 - y.
Thế vào phương trình (2):
35(45 - y) + 50y = 1800
1575 - 35y + 50y = 1800
15y = 1800 - 1575
15y = 225
y = \frac{225}{15} = 15
Thay y = 15 vào phương trình x = 45 - y:
x = 45 - 15 = 30 -
Kiểm tra điều kiện và kết luận:
Ta tìm được x = 30 và y = 15. Cả hai giá trị đều là số nguyên dương và thỏa mãn x + y = 45.
Vậy, có 30 bác sĩ và 15 luật sư.
Ví dụ 3:
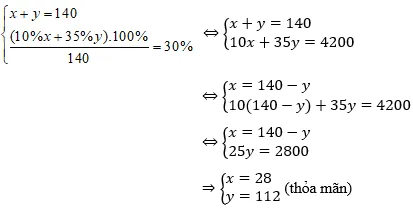
Có 2 thỏi thép vụn loại một thỏi chứa 10% niken và thỏi còn lại chứa 35% niken, cần lấy bao nhiêu tấn thép vụn mỗi loại trên để luyện được 140 tấn thép chứa 30% Niken?
Hướng dẫn:
-
Đặt ẩn và điều kiện:
Gọi $x$ (tấn) là khối lượng thép vụn loại I (chứa 10% niken).
Gọi $y$ (tấn) là khối lượng thép vụn loại II (chứa 35% niken).
Điều kiện: $x > 0$, $y > 0$. -
Biểu diễn và lập hệ phương trình:
Tổng khối lượng thép thu được là 140 tấn:
x + y = 140
Khối lượng niken trong thép loại I là 10%x = 0.1x.
Khối lượng niken trong thép loại II là 35%y = 0.35y.
Tổng khối lượng niken trong hỗn hợp là 30% \times 140 = 0.3 \times 140 = 42 tấn.
Ta có phương trình:
0.1x + 0.35y = 42
Ta có hệ phương trình:
\begin{cases} x + y = 140 0.1x + 0.35y = 42 \end{cases} -
Giải hệ phương trình:
Nhân phương trình (2) với 10 để loại bỏ số thập phân: x + 3.5y = 420.
Ta có hệ mới:
\begin{cases} x + y = 140 x + 3.5y = 420 \end{cases}
Trừ phương trình (1) cho phương trình (2) (hoặc ngược lại):
(x + 3.5y) - (x + y) = 420 - 140
2.5y = 280
y = \frac{280}{2.5} = 112
Thay y = 112 vào phương trình x + y = 140:
x + 112 = 140
x = 140 - 112 = 28 -
Kiểm tra điều kiện và kết luận:
Ta tìm được x = 28 và y = 112. Cả hai giá trị đều dương và thỏa mãn x + y = 140.
Vậy, cần lấy 28 tấn thép vụn loại I và 112 tấn thép vụn loại II.
Hình ảnh minh họa các thỏi thép
Đáp Án/Kết Quả
Sau khi thực hiện các bước phân tích, thiết lập hệ phương trình, giải hệ và kiểm tra điều kiện, chúng ta sẽ thu được kết quả cuối cùng cho bài toán. Kết quả này cần được trình bày rõ ràng, đúng đơn vị và ngữ cảnh của bài toán.
Conclusion
Việc nắm vững cách giải bài thực tế lớp 9 bằng hệ phương trình không chỉ giúp học sinh chinh phục các bài toán trong sách giáo khoa mà còn trang bị cho các em tư duy logic và khả năng ứng dụng toán học vào giải quyết các vấn đề đa dạng trong cuộc sống. Bằng cách phân tích cẩn thận, đặt ẩn và điều kiện hợp lý, thiết lập hệ phương trình chính xác, và giải quyết chúng một cách chặt chẽ, các em hoàn toàn có thể tự tin làm chủ dạng bài này.
Ngày chỉnh sửa nội dung mới nhất Tháng 1 14, 2026 by Thầy Đông

Thầy Đông – Giảng viên Đại học Công nghiệp Hà Nội, giáo viên luyện thi THPT
Thầy Đông bắt đầu sự nghiệp tại một trường THPT ở quê nhà, sau đó trúng tuyển giảng viên Đại học Công nghiệp Hà Nội nhờ chuyên môn vững và kinh nghiệm giảng dạy thực tế. Với nhiều năm đồng hành cùng học sinh, thầy được biết đến bởi phong cách giảng dạy rõ ràng, dễ hiểu và gần gũi. Hiện thầy giảng dạy tại dehocsinhgioi, tiếp tục truyền cảm hứng học tập cho học sinh cấp 3 thông qua các bài giảng súc tích, thực tiễn và giàu nhiệt huyết.
