Giải Bài 3 Trang 113 SGK Giải Tích 12: Phương Pháp Biến Đổi Số Tính Tích Phân

Trong chương trình Giải Tích 12, việc nắm vững các phương pháp tính tích phân là vô cùng quan trọng. Bài viết này sẽ đi sâu vào giải bài 3 trang 113 SGK Giải Tích 12, tập trung vào kỹ thuật biến đổi số, một công cụ mạnh mẽ giúp đơn giản hóa các biểu thức phức tạp. Chúng ta sẽ cùng nhau phân tích từng bước, làm rõ kiến thức nền tảng và cung cấp những mẹo hữu ích để bạn đọc có thể tự tin chinh phục các dạng bài tương tự.

Đề Bài
Sử dụng phương pháp đổi biến số, tính các tích phân sau:
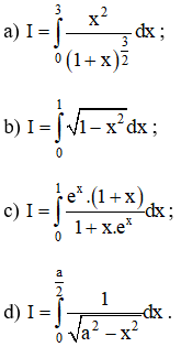
a)
intlimits_{0}^{3}\frac{x^{2}}{(1+x)^{\frac{3}{2}}}dx
b)
intlimits_{0}^{1}\sqrt{1-x^{2}}dx
c)
intlimits_{0}^{1}\dfrac{e^{x}(1+x)}{1+x.e^{x}}dx
d)
intlimits_{0}^{\frac{a}{2}}\frac{1}{\sqrt{a^{2}-x^{2}}}dx

Phân Tích Yêu Cầu
Yêu cầu chung của bài tập này là tính giá trị của bốn tích phân xác định đã cho. Điểm mấu chốt là áp dụng “phương pháp đổi biến số” (hay còn gọi là phương pháp đổi cận). Mỗi câu a, b, c, d sẽ gợi ý một phép đặt biến số cụ thể, giúp định hướng cách giải. Chúng ta cần xác định đúng phép đổi biến, tính vi phân, đổi cận tích phân và cuối cùng là tính tích phân mới theo biến mới.
Kiến Thức/Nền Tảng Cần Dùng
Để giải quyết bài toán này, chúng ta cần ôn lại các kiến thức sau:
-
Công thức nguyên hàm cơ bản:
- \int {{x^alpha }dx} = \frac{{{x^{alpha + 1}}}}{{alpha + 1}} + C (với alpha \ne -1)
- \int {\cos \left( {ax + b} \right)dx} = \frac{{\sin \left( {ax + b} \right)}}{a} + C
- \int {\frac{1}{u}du} = \ln left| u right| + C
-
Phương pháp đổi biến số trong tích phân xác định:
Nếu ta thực hiện phép đổi biến x = phi(t), với phi là hàm số có đạo hàm liên tục trên [alpha, beta], và f(x) liên tục trên tập giá trị của phi, thì:
intlimits<em>{a}^{b} f(x)dx = intlimits</em>{alpha}^{beta} f(phi(t)) phi'(t)dt
Trong đó, các cận mới alpha và beta được xác định từ các cận cũ a và b thông qua mối quan hệ a = phi(alpha) và b = phi(beta). -
Các hằng đẳng thức và công thức lượng giác:
- katex^2 = u^2 – 2u + 1[/katex]
- \cos^2alpha = \frac{1 + \cos 2alpha}{2}
- \sqrt{1-\sin^2 t} = \sqrt{\cos^2 t} = |\cos t|
- \sqrt{a^2 - x^2} khi x = asin t thì \sqrt{a^2 - a^2sin^2 t} = \sqrt{a^2cos^2 t} = |acos t|.
Hướng Dẫn Giải Chi Tiết
Chúng ta sẽ lần lượt giải quyết từng phần của bài toán.
LG a: intlimits_{0}^{3}\frac{x^{2}}{(1+x)^{\frac{3}{2}}}dx
Phân tích: Mẫu số có dạng katex^{frac{3}{2}}[/katex], gợi ý đặt u = 1+x.
Kiến thức áp dụng:
- Đổi biến số.
- Công thức nguyên hàm của x^alpha.
Lời giải chi tiết:
Đặt u = 1 + x.
Suy ra du = dx.
Từ u = 1 + x, ta có x = u - 1.
Đổi cận:
- Khi x = 0 thì u = 1 + 0 = 1.
- Khi x = 3 thì u = 1 + 3 = 4.
Thay vào tích phân ban đầu:
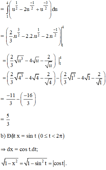
intlimits<em>{0}^{3}\frac{x^{2}}{(1+x)^{\frac{3}{2}}}dx = intlimits</em>{1}^{4}\frac{(u-1)^{2}}{u^{\frac{3}{2}}}du
Khai triển tử số:
= intlimits_{1}^{4}\frac{u^2 - 2u + 1}{u^{\frac{3}{2}}}du
Chia từng số hạng cho mẫu số:
= intlimits<em>{1}^{4}\left( \frac{u^2}{u^{\frac{3}{2}}} - \frac{2u}{u^{\frac{3}{2}}} + \frac{1}{u^{\frac{3}{2}}} \right)du
= intlimits</em>{1}^{4}\left( u^{2-\frac{3}{2}} - 2u^{1-\frac{3}{2}} + u^{-\frac{3}{2}} \right)du
= intlimits_{1}^{4}\left( u^{\frac{1}{2}} - 2u^{-\frac{1}{2}} + u^{-\frac{3}{2}} \right)du
Áp dụng công thức nguyên hàm \int {{x^alpha }dx} = \frac{{{x^{alpha + 1}}}}{{alpha + 1}}:
= \left[ \frac{u^{\frac{1}{2}+1}}{\frac{1}{2}+1} - 2frac{u^{-\frac{1}{2}+1}}{-\frac{1}{2}+1} + \frac{u^{-\frac{3}{2}+1}}{-\frac{3}{2}+1} \right]bigg|<em>{1}^{4}
= \left[ \frac{u^{\frac{3}{2}}}{\frac{3}{2}} - 2frac{u^{\frac{1}{2}}}{\frac{1}{2}} + \frac{u^{-\frac{1}{2}}}{-\frac{1}{2}} \right]bigg|</em>{1}^{4}
= \left[ \frac{2}{3}u^{\frac{3}{2}} - 4u^{\frac{1}{2}} - 2u^{-\frac{1}{2}} \right]bigg|_{1}^{4}
Tính giá trị tại hai cận:
Tại u=4:
\frac{2}{3}(4)^{\frac{3}{2}} - 4(4)^{\frac{1}{2}} - 2(4)^{-\frac{1}{2}} = \frac{2}{3}(8) - 4(2) - 2(\frac{1}{2}) = \frac{16}{3} - 8 - 1 = \frac{16}{3} - 9 = \frac{16-27}{3} = -\frac{11}{3}
Tại u=1:
\frac{2}{3}(1)^{\frac{3}{2}} - 4(1)^{\frac{1}{2}} - 2(1)^{-\frac{1}{2}} = \frac{2}{3} - 4 - 2 = \frac{2}{3} - 6 = \frac{2-18}{3} = -\frac{16}{3}
Kết quả tích phân:
= \left(-\frac{11}{3}\right) - \left(-\frac{16}{3}\right) = -\frac{11}{3} + \frac{16}{3} = \frac{5}{3}
Mẹo kiểm tra: Sau khi tính xong, bạn có thể thử đạo hàm kết quả nguyên hàm (trước khi thế cận) để xem có quay về hàm ban đầu không.
Lỗi hay gặp: Sai sót trong việc đổi cận, khai triển bình phương, hoặc tính toán lũy thừa và số mũ âm.
LG b: intlimits_{0}^{1}\sqrt{1-x^{2}}dx
Phân tích: Biểu thức dưới dấu căn có dạng 1-x^2, đây là dạng quen thuộc của lượng giác hóa, gợi ý đặt x = \sin t.
Kiến thức áp dụng:
- Đổi biến số lượng giác.
- Công thức lượng giác: \sin^2 t + \cos^2 t = 1, \cos^2 t = \frac{1+\cos 2t}{2}.
- Tính nguyên hàm của hàm số lượng giác.
Lời giải chi tiết:
Đặt x = \sin t.
Vì cận x từ 0 đến 1, ta chọn t trong khoảng [0, \frac{\pi}{2}] để \sin t tăng và \cos t \ge 0.
Suy ra dx = \cos t dt.
Và \sqrt{1-x^2} = \sqrt{1-\sin^2 t} = \sqrt{\cos^2 t} = |\cos t| = \cos t (do t in [0, \frac{\pi}{2}] Rightarrow \cos t \ge 0).
Đổi cận:
- Khi x = 0 thì \sin t = 0 Rightarrow t = 0.
- Khi x = 1 thì \sin t = 1 Rightarrow t = \frac{\pi}{2}.
Thay vào tích phân ban đầu:
intlimits<em>{0}^{1}\sqrt{1-x^{2}}dx = intlimits</em>{0}^{\frac{\pi}{2}} (\cos t) (\cos t dt)
= intlimits_{0}^{\frac{\pi}{2}} \cos^2 t dt
Sử dụng công thức hạ bậc \cos^2 t = \frac{1+\cos 2t}{2}:
= intlimits<em>{0}^{\frac{\pi}{2}} \frac{1+\cos 2t}{2} dt
= \frac{1}{2} intlimits</em>{0}^{\frac{\pi}{2}} (1+\cos 2t) dt
Tính nguyên hàm:
= \frac{1}{2} \left[ t + \frac{\sin 2t}{2} \right]bigg|_{0}^{\frac{\pi}{2}}
Tính giá trị tại hai cận:
Tại t=\frac{\pi}{2}:
\frac{\pi}{2} + \frac{\sin (2 \cdot \frac{\pi}{2})}{2} = \frac{\pi}{2} + \frac{\sin \pi}{2} = \frac{\pi}{2} + \frac{0}{2} = \frac{\pi}{2}
Tại t=0:
0 + \frac{\sin (2 \cdot 0)}{2} = 0 + \frac{\sin 0}{2} = 0 + 0 = 0
Kết quả tích phân:
= \frac{1}{2} \left( \frac{\pi}{2} - 0 \right) = \frac{\pi}{4}
Mẹo kiểm tra: Tích phân intlimits_{0}^{1}\sqrt{1-x^{2}}dx biểu diễn diện tích của một phần tư hình tròn bán kính 1. Diện tích hình tròn bán kính r là \pi r^2, nên diện tích một phần tư hình tròn là \frac{1}{4}\pi (1)^2 = \frac{\pi}{4}. Kết quả này khớp với tính toán.
Lỗi hay gặp: Quên đổi cận, sai sót khi tính đạo hàm dx, quên trị tuyệt đối khi khai căn \cos^2 t (mặc dù trong trường hợp này \cos t \ge 0), hoặc sai công thức lượng giác.
LG c: intlimits_{0}^{1}\dfrac{e^{x}(1+x)}{1+x.e^{x}}dx
Phân tích: Tử số có dạng e^x(1+x), đây là đạo hàm của 1+xe^x. Điều này gợi ý đặt mẫu số làm biến mới.
Kiến thức áp dụng:
- Đổi biến số.
- Tính đạo hàm của hàm số chứa tích u.v.
- Công thức nguyên hàm \int \frac{1}{u}du = \ln|u|.
Lời giải chi tiết:
Đặt u = 1 + x.e^{x}.
Tính vi phân du:
du = d(1) + d(x.e^{x})
du = 0 + (1 \cdot e^x + x \cdot e^x) dx (sử dụng quy tắc đạo hàm của tích katex‘ = f’g + fg’[/katex])
du = (e^x + xe^x) dx = e^x(1+x) dx.
Đổi cận:
- Khi x = 0 thì u = 1 + 0 \cdot e^0 = 1 + 0 = 1.
- Khi x = 1 thì u = 1 + 1 \cdot e^1 = 1 + e.
Thay vào tích phân ban đầu:
intlimits<em>{0}^{1}\dfrac{e^{x}(1+x)}{1+x.e^{x}}dx = intlimits</em>{1}^{1+e} \frac{du}{u}
Tính nguyên hàm:
= \left[ \ln left| u right| \right]bigg|_{1}^{1+e}
Tính giá trị tại hai cận:
Tại u=1+e:
\ln left| 1+e right| = \ln (1+e) (vì 1+e > 0)
Tại u=1:
\ln left| 1 right| = \ln 1 = 0
Kết quả tích phân:
= \ln (1+e) - 0 = \ln (1+e)
Mẹo kiểm tra: Đảm bảo rằng bạn đã tính đúng đạo hàm của biểu thức đặt dưới mẫu số.
Lỗi hay gặp: Sai sót trong quy tắc đạo hàm của tích, quên đổi cận, hoặc nhầm lẫn giữa \ln (1+e) và \ln e.
LG d: intlimits_{0}^{\frac{a}{2}}\frac{1}{\sqrt{a^{2}-x^{2}}}dx
Phân tích: Biểu thức dưới dấu căn có dạng a^2-x^2, tương tự câu b, gợi ý đặt x = asin t.
Kiến thức áp dụng:
- Đổi biến số lượng giác.
- Công thức lượng giác: \sin^2 t + \cos^2 t = 1.
- Tính nguyên hàm của hàm số lượng giác.
Lời giải chi tiết:
Đặt x = asin t.
Vì a là một hằng số dương (thường giả định trong các bài toán dạng này, nếu a<0[/katex] thì [katex]a^2[/katex] vẫn dương), ta chọn [katex]t[/katex] sao cho [katex]\sin t[/katex] tương ứng với cận [katex]x[/katex].
Suy ra [katex]dx = acos t dt[/katex].
Và [katex]\sqrt{a^2-x^2} = \sqrt{a^2 - (asin t)^2} = \sqrt{a^2 - a^2sin^2 t} = \sqrt{a^2(1-\sin^2 t)} = \sqrt{a^2cos^2 t} = |acos t|[/katex].
Giả sử [katex]a>0. Để \cos t \ge 0 khi x tăng từ 0 đến a/2, ta chọn t in [0, \frac{\pi}{6}]. Trong khoảng này, \cos t > 0, nên |acos t| = acos t.
Đổi cận:
- Khi x = 0 thì asin t = 0 Rightarrow \sin t = 0 Rightarrow t = 0.
- Khi x = \frac{a}{2} thì asin t = \frac{a}{2} Rightarrow \sin t = \frac{1}{2} Rightarrow t = \frac{\pi}{6}.
Thay vào tích phân ban đầu:
intlimits<em>{0}^{\frac{a}{2}}\frac{1}{\sqrt{a^{2}-x^{2}}}dx = intlimits</em>{0}^{\frac{\pi}{6}} \frac{1}{acos t} (acos t dt)
= intlimits_{0}^{\frac{\pi}{6}} dt
Tính nguyên hàm:
= \left[ t \right]bigg|_{0}^{\frac{\pi}{6}}
Tính giá trị tại hai cận:
Tại t=\frac{\pi}{6}: \frac{\pi}{6}
Tại t=0: 0
Kết quả tích phân:
= \frac{\pi}{6} - 0 = \frac{\pi}{6}
Mẹo kiểm tra: Biểu thức \frac{1}{\sqrt{a^2-x^2}} là đạo hàm của arcsin(\frac{x}{a}). Bạn có thể kiểm tra bằng cách tính arcsin(\frac{x}{a}) tại các cận.
arcsin(\frac{a/2}{a}) - arcsin(\frac{0}{a}) = arcsin(\frac{1}{2}) - arcsin(0) = \frac{\pi}{6} - 0 = \frac{\pi}{6}.
Lỗi hay gặp: Sai sót trong việc xác định khoảng của t để \cos t dương, quên nhân a vào dx, hoặc nhầm lẫn giữa arcsin và \sin.
Đáp Án/Kết Quả
- Câu a: Giá trị của tích phân là \frac{5}{3}.
- Câu b: Giá trị của tích phân là \frac{\pi}{4}.
- Câu c: Giá trị của tích phân là \ln (1+e).
- Câu d: Giá trị của tích phân là \frac{\pi}{6}.
Việc nắm vững phương pháp đổi biến số là chìa khóa để giải quyết nhiều bài toán tích phân phức tạp trong chương trình Giải Tích 12. Qua việc phân tích chi tiết giải bài 3 trang 113 SGK Giải Tích 12, chúng ta đã thấy cách áp dụng linh hoạt các phép đặt biến số khác nhau, từ đại số đến lượng giác, để đưa bài toán về dạng quen thuộc và dễ tính toán hơn. Hy vọng bài viết này cung cấp cho bạn đọc cái nhìn rõ ràng và công cụ hiệu quả để chinh phục các dạng bài tích phân tương tự.
Ngày chỉnh sửa nội dung mới nhất Tháng 1 14, 2026 by Thầy Đông

Thầy Đông – Giảng viên Đại học Công nghiệp Hà Nội, giáo viên luyện thi THPT
Thầy Đông bắt đầu sự nghiệp tại một trường THPT ở quê nhà, sau đó trúng tuyển giảng viên Đại học Công nghiệp Hà Nội nhờ chuyên môn vững và kinh nghiệm giảng dạy thực tế. Với nhiều năm đồng hành cùng học sinh, thầy được biết đến bởi phong cách giảng dạy rõ ràng, dễ hiểu và gần gũi. Hiện thầy giảng dạy tại dehocsinhgioi, tiếp tục truyền cảm hứng học tập cho học sinh cấp 3 thông qua các bài giảng súc tích, thực tiễn và giàu nhiệt huyết.
