Giải Toán 7 trang 43 Tập 2 Kết nối tri thức: Phép chia đa thức một biến
Chào mừng bạn đến với chuyên mục giải toán 7 tập 2 trang 43 thuộc bộ sách Kết nối tri thức. Bài viết này sẽ cung cấp lời giải chi tiết và dễ hiểu cho các bài tập về phép chia đa thức một biến, giúp học sinh nắm vững kiến thức và tự tin chinh phục các dạng bài tương tự.
Đề Bài
Bài 7.30 trang 43 Toán 7 Tập 2: Tính:
a) 8x⁵ : 4x³;
b) 120x⁷ : (-24x⁵);
c) 34(-x³) : 18x;
d) -3,72x⁴ : (-4x²).
Bài 7.31 trang 43 Toán 7 Tập 2: Thực hiện các phép chia đa thức sau:
a) (-5x³ + 15x² + 18x) : (-5x);
b) (-2x⁵ – 4x³ + 3x²) : 2x².
Bài 7.32 trang 43 Toán 7 Tập 2: Thực hiện các phép chia đa thức sau bằng cách đặt tính chia:
a) (6x³ – 2x² – 9x + 3) : (3x – 1);
b) (4x⁴ + 14x³ – 21x – 9) : (2x² – 3).
Bài 7.33 trang 43 Toán 7 Tập 2: Thực hiện phép chia 0,5x⁵ + 3,2x³ – 2x² cho 0,25xⁿ trong mỗi trường hợp sau:
a) n = 2;
b) n = 3.
Bài 7.34 trang 43 Toán 7 Tập 2: Trong mỗi trường hợp sau đây, tìm thương Q(x) và dư R(x) trong phép chia F(x) cho G(x) rồi biểu diễn F(x) dưới dạng: F(x) = G(x) . Q(x) + R(x).
a) F(x) = 6x⁴ – 3x³ + 15x² + 2x – 1; G(x) = 3x².
b) F(x) = 12x⁴ + 10x³ – x – 3; G(x) = 3x² + x + 1.
Bài 7.35 trang 43 Toán 7 Tập 2: Bạn Tâm lúng túng khi muốn tìm thương và dư trong phép chia đa thức 21x – 4 cho 3x². Em có thể giúp bạn Tâm được không?
Phân Tích Yêu Cầu
Các bài tập từ 7.30 đến 7.35 trang 43, tập 2, sách Kết nối tri thức đều xoay quanh chủ đề phép chia đa thức một biến. Yêu cầu chung là thực hiện các phép chia này, bao gồm cả chia đơn thức cho đơn thức, đa thức cho đơn thức và đa thức cho đa thức. Một số bài còn yêu cầu tìm thương và dư, hoặc áp dụng phép chia trong các trường hợp cụ thể của biến số.
Kiến Thức/Nền Tảng Cần Dùng
Để giải quyết các bài tập này, chúng ta cần nắm vững các quy tắc và kiến thức sau:
-
Quy tắc chia hai đơn thức:
- Chia hệ số của đơn thức bị chia cho hệ số của đơn thức chia.
- Chia phần biến của đơn thức bị chia cho phần biến của đơn thức chia (với các lũy thừa của cùng một biến, ta trừ các số mũ).
- Ví dụ:
a^m : a^n = a^{m-n}</code> (với <code>m \ge n</code>).</li> </ul> </li> <li> <p><strong>Quy tắc chia đa thức cho đơn thức:</strong></p> <ul> <li>Chia từng hạng tử của đa thức bị chia cho đơn thức chia.</li> <li>Cộng các kết quả lại với nhau.</li> <li>Ví dụ: <code>(A + B + C) : D = A : D + B : D + C : D</code>.</li> </ul> </li> <li> <p><strong>Quy tắc chia đa thức cho đa thức (Đặt tính chia):</strong></p> <ul> <li>Sắp xếp hai đa thức theo lũy thừa giảm dần của biến.</li> <li>Chia hạng tử bậc cao nhất của đa thức bị chia cho hạng tử bậc cao nhất của đa thức chia để được hạng tử đầu tiên của thương.</li> <li>Nhân hạng tử vừa tìm được của thương với đa thức chia, rồi trừ kết quả này khỏi đa thức bị chia.</li> <li>Tiếp tục thực hiện các bước trên với đa thức còn lại cho đến khi số dư có bậc nhỏ hơn bậc của đa thức chia (hoặc bằng 0).</li> </ul> </li> <li> <p><strong>Định nghĩa thương và dư trong phép chia đa thức:</strong></p> <ul> <li>Khi chia đa thức F(x) cho đa thức G(x) (với G(x) khác đa thức không), ta luôn tìm được hai đa thức Q(x) và R(x) sao cho: <code>[]F(x) = G(x) \cdot Q(x) + R(x)</code></li> <li>Trong đó, R(x) là đa thức không hoặc có bậc nhỏ hơn bậc của G(x). Q(x) được gọi là thương, R(x) được gọi là số dư.</li> </ul> </li> </ol> <h2>Hướng Dẫn Giải Chi Tiết</h2> <p><strong>Bài 7.30 trang 43:</strong></p> <p>Đây là các phép chia đơn thức cho đơn thức. Chúng ta áp dụng quy tắc chia hệ số và chia phần biến.</p> <p>a) <code>[]8x^5 : 4x^3 = (8 : 4) \cdot (x^5 : x^3) = 2 \cdot x^{5-3} = 2x^2</code>b)
120x^7 : (-24x^5) = (120 : (-24)) \cdot (x^7 : x^5) = -5 \cdot x^{7-5} = -5x^2</code>c)
34(-x^3) : 18x = -34x^3 : 18x = (-34 : 18) \cdot (x^3 : x^1) = -\frac{34}{18} \cdot x^{3-1} = -\frac{17}{9}x^2</code>
Lưu ý: Ở đây, đề bài có thể hiểu là 34 nhân với (-x^3). Nếu hiểu là 34(-x^3) là một hạng tử, thì kết quả là-34x^3. Ta chia-34x^3cho18x.d)
[-3,72x^4] : [-4x^2] = ((-3,72) : (-4)) cdot (x^4 : x^2) = 0,93 cdot x^{4-2} = 0,93x^2[/katex]Bài 7.31 trang 43:
Đây là các phép chia đa thức cho đơn thức. Ta chia từng hạng tử của đa thức bị chia cho đơn thức chia.
a)
(-5x^3 + 15x^2 + 18x) : (-5x)</code> <code>= (-5x^3) : (-5x) + (15x^2) : (-5x) + (18x) : (-5x)</code> <code>= ((-5) : (-5)) \cdot (x^3 : x) + (15 : (-5)) \cdot (x^2 : x) + (18 : (-5)) \cdot (x : x)</code> <code>= 1 \cdot x^2 + (-3) \cdot x + (-\frac{18}{5}) \cdot 1</code> <code>= x^2 - 3x - \frac{18}{5}</code>b)
(-2x^5 - 4x^3 + 3x^2) : 2x^2</code> <code>= (-2x^5) : 2x^2 + (-4x^3) : 2x^2 + (3x^2) : 2x^2</code> <code>= ((-2) : 2) \cdot (x^5 : x^2) + ((-4) : 2) \cdot (x^3 : x^2) + (3 : 2) \cdot (x^2 : x^2)</code> <code>= -1 \cdot x^3 + (-2) \cdot x + \frac{3}{2} \cdot 1</code> <code>= -x^3 - 2x + \frac{3}{2}</code>Bài 7.32 trang 43:
Đây là các phép chia đa thức cho đa thức, yêu cầu sử dụng phương pháp đặt tính chia.
a) (6x³ – 2x² – 9x + 3) : (3x – 1)
2x² -3 ________________ 3x - 1 | 6x³ - 2x² - 9x + 3 -(6x³ - 2x²) ___________ 0 - 9x + 3 -(-9x + 3) _________ 0Thực hiện đặt phép chia ta được:
Thực hiện các phép chia đa thức sau bằng cách đặt tính chia: (6x^3 – 2x^2 – 9x + 3) : (3x – 1)b) (4x⁴ + 14x³ – 21x – 9) : (2x² – 3)
2x² + 7x + 3 ____________________ 2x² - 3 | 4x⁴ + 14x³ + 0x² - 21x - 9 -(4x⁴ - 6x²) ____________________ 14x³ + 6x² - 21x -(14x³ - 21x) ____________________ 6x² - 9 -(6x² - 9) ___________ 0Thực hiện đặt phép chia ta được:
Thực hiện các phép chia đa thức sau bằng cách đặt tính chia: (6x^3 – 2x^2 – 9x + 3) : (3x – 1)Bài 7.33 trang 43:
Chúng ta thực hiện phép chia đa thức cho đơn thức, với số mũ
ncủa biến ở đa thức chia thay đổi.a) Với n = 2, ta có phép chia: (0,5x⁵ + 3,2x³ – 2x²) : 0,25x²
=(0,5x^5) : (0,25x^2) + (3,2x^3) : (0,25x^2) + (-2x^2) : (0,25x^2)</code> <code>= (0,5 : 0,25) \cdot (x^5 : x^2) + (3,2 : 0,25) \cdot (x^3 : x^2) + (-2 : 0,25) \cdot (x^2 : x^2)</code> <code>= 2 \cdot x^3 + 12,8 \cdot x + (-8) \cdot 1</code> <code>= 2x^3 + 12,8x - 8</code>b) Với n = 3, ta có đa thức chia là 0,25x³. Bậc của đa thức chia là 3.
Đa thức bị chia là 0,5x⁵ + 3,2x³ – 2x².
Hạng tử -2x² có bậc là 2, nhỏ hơn bậc của đa thức chia (là 3). Do đó, khi thực hiện phép chia đa thức cho đa thức, hạng tử -2x² sẽ là một phần của số dư.
Ta thực hiện phép chia bằng cách đặt tính chia:
Thực hiện phép chia 0,5x^5 + 3,2x^3 – 2x^2 cho 0,25x^n trong mỗi trường hợp sauKết quả: Thương là `2x^2 + 12.8` và dư là `-2x^2`.Bài 7.34 trang 43:
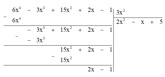
Yêu cầu tìm thương Q(x) và dư R(x) và biểu diễn dưới dạng
F(x) = G(x) . Q(x) + R(x).a) F(x) = 6x⁴ – 3x³ + 15x² + 2x – 1; G(x) = 3x².
Thực hiện đặt phép chia ta được:
Tìm thương Q(x) và dư R(x) trong phép chia F(x) cho G(x) rồi biểu diễn F(x) dưới dạng: F(x) = G(x) . Q(x) + R(x)Do đó, thương `Q(x) = 2x^2 – x + 5` và dư `R(x) = 2x – 1`.
Vậy: `6x^4 - 3x^3 + 15x^2 + 2x - 1 = 3x^2 \cdot (2x^2 - x + 5) + (2x - 1)`b) F(x) = 12x⁴ + 10x³ – x – 3; G(x) = 3x² + x + 1.
Thực hiện phép chia ta được:
Tìm thương Q(x) và dư R(x) trong phép chia F(x) cho G(x) rồi biểu diễn F(x) dưới dạng: F(x) = G(x) . Q(x) + R(x)Do đó, thương `Q(x) = 4x^2 + 2x – 2` và dư `R(x) = -x – 1`.
Vậy: `12x^4 + 10x^3 - x - 3 = (3x^2 + x + 1) \cdot (4x^2 + 2x - 2) + (-x - 1)`Bài 7.35 trang 43:
Ta cần tìm thương và dư trong phép chia đa thức 21x – 4 cho 3x².
Bậc của đa thức bị chia (21x – 4) là 1.
Bậc của đa thức chia (3x²) là 2.
Vì bậc của đa thức bị chia (1) nhỏ hơn bậc của đa thức chia (2), nên phép chia này không thể thực hiện theo quy tắc chia đa thức thông thường để có thương bậc khác 0.
Theo định nghĩa phép chia có dư, khi bậc của đa thức bị chia nhỏ hơn bậc của đa thức chia, thì thương của phép chia bằng 0 và số dư chính là đa thức bị chia.
Do đó, thươngQ(x) = 0và dưR(x) = 21x - 4.
Ta có thể biểu diễn:21x - 4 = (3x^2) \cdot 0 + (21x - 4)</code>Đáp Án/Kết Quả
- Bài 7.30:
a)2x^2</code>
b)-5x^2</code>
c)-\frac{17}{9}x^2</code>
d)0,93x^2</code> - Bài 7.31:
a)x^2 - 3x - \frac{18}{5}</code>
b)-x^3 - 2x + \frac{3}{2}</code> - Bài 7.32:
a) Thương là2x^2 - 3, dư là 0.
b) Thương là2x^2 + 7x + 3, dư là 0. - Bài 7.33:
a) Kết quả:2x^3 + 12,8x - 8
b) Thương:2x^2 + 12.8, dư:-2x^2 - Bài 7.34:
a)Q(x) = 2x^2 - x + 5,R(x) = 2x - 1
b)Q(x) = 4x^2 + 2x - 2,R(x) = -x - 1 - Bài 7.35: Thương là 0, dư là 21x – 4.
Kết Luận
Việc nắm vững các quy tắc chia đơn thức, đa thức cho đơn thức và đa thức cho đa thức là chìa khóa để giải quyết hiệu quả các bài tập trong giải toán 7 tập 2 trang 43. Phương pháp đặt tính chia, cùng với việc hiểu rõ khái niệm thương và dư, sẽ giúp các em học sinh tự tin chinh phục mọi dạng bài liên quan đến phép chia đa thức.
Ngày chỉnh sửa nội dung mới nhất Tháng 1 15, 2026 by Thầy Đông

Thầy Đông – Giảng viên Đại học Công nghiệp Hà Nội, giáo viên luyện thi THPT
Thầy Đông bắt đầu sự nghiệp tại một trường THPT ở quê nhà, sau đó trúng tuyển giảng viên Đại học Công nghiệp Hà Nội nhờ chuyên môn vững và kinh nghiệm giảng dạy thực tế. Với nhiều năm đồng hành cùng học sinh, thầy được biết đến bởi phong cách giảng dạy rõ ràng, dễ hiểu và gần gũi. Hiện thầy giảng dạy tại dehocsinhgioi, tiếp tục truyền cảm hứng học tập cho học sinh cấp 3 thông qua các bài giảng súc tích, thực tiễn và giàu nhiệt huyết. - Bài 7.30:

Thực hiện các phép chia đa thức sau bằng cách đặt tính chia: (6x^3 – 2x^2 – 9x + 3) : (3x – 1)
Thực hiện các phép chia đa thức sau bằng cách đặt tính chia: (6x^3 – 2x^2 – 9x + 3) : (3x – 1)
Thực hiện phép chia 0,5x^5 + 3,2x^3 – 2x^2 cho 0,25x^n trong mỗi trường hợp sauKết quả: Thương là `2x^2 + 12.8` và dư là `-2x^2`.
Tìm thương Q(x) và dư R(x) trong phép chia F(x) cho G(x) rồi biểu diễn F(x) dưới dạng: F(x) = G(x) . Q(x) + R(x)Do đó, thương `Q(x) = 2x^2 – x + 5` và dư `R(x) = 2x – 1`.
Tìm thương Q(x) và dư R(x) trong phép chia F(x) cho G(x) rồi biểu diễn F(x) dưới dạng: F(x) = G(x) . Q(x) + R(x)Do đó, thương `Q(x) = 4x^2 + 2x – 2` và dư `R(x) = -x – 1`.
References:
The meadows casino https://zoewckq801334.jts-blog.com/
References:
Manoir de beauregard architecturewiki.site