Giải Toán Lớp 7 Trang 67 Tập 2 Cánh Diều: Phép Chia Đa Thức Một Biến
Toán lớp 7 là hành trang quan trọng giúp học sinh xây dựng nền tảng vững chắc cho các cấp học cao hơn. Trong chương trình Toán 7 Tập 2 theo bộ sách Cánh Diều, bài 5 về phép chia đa thức một biến đóng vai trò cốt lõi. Trang 67 của sách giáo khoa cung cấp các bài tập vận dụng, giúp các em làm quen và thành thạo kỹ năng này. Bài viết này sẽ hướng dẫn chi tiết cách giải toán 7 tập 2 trang 67 một cách dễ hiểu, bám sát kiến thức sách giáo khoa và yêu cầu chuẩn SEO cho website học tập. Chúng ta sẽ cùng nhau chinh phục các bài toán từ cơ bản đến nâng cao, đảm bảo mỗi học sinh đều có thể tự tin giải quyết.
Nội dung dưới đây tập trung vào việc cung cấp lời giải chi tiết, phân tích từng bước làm, giải thích rõ ràng các quy tắc toán học và công thức KaTeX chuẩn xác, giúp các em nắm vững kiến thức về phép chia đa thức một biến.
Đề Bài
Bài 1 trang 67 Toán lớp 7 Tập 2: Tính:
a) (4x^3) : (-2x^2); b)(-7x^2) : (6x);
c) `(-14x^4) : (-8x^3).
Bài 2 trang 67 Toán lớp 7 Tập 2: Tính:
a) (8x^3 + 2x^2 - 6x) : (4x); b)(5x^3 - 4x) : (-2x);
c) `(-15x^6 - 24x^3) : (-3x^2).
Bài 3 trang 67 Toán lớp 7 Tập 2: Tính:
a) (x^2 - 2x + 1) : (x - 1); b)(x^3 + 2x^2 + x) : (x^2 + x);
c) (-16x^4 + 1) : (-4x^2 + 1); d)(-32x^5 + 1) : (-2x + 1).
Bài 4 trang 67 Toán lớp 7 Tập 2: Tính:
a) (6x^2 - 2x + 1) : (3x - 1); b)(27x^3 + x^2 - x + 1) : (-2x + 1);
c) (8x^3 + 2x^2 + x) : (2x^3 + x + 1); d)(3x^4 + 8x^3 - 2x^2 + x + 1) : (3x + 1).
Bài 5 trang 67 Toán lớp 7 Tập 2: Một công ty sau khi tăng giá 30 nghìn đồng mỗi sản phẩm so với giá ban đầu là 2x (nghìn đồng) thì có doanh thu là 6x^2 + 170x + 1200 (nghìn đồng). Tính số sản phẩm mà công ty đó đã bán được theo x.
Bài 6 trang 67 Toán lớp 7 Tập 2: Một hình hộp chữ nhật có thể tích là x^3 + 6x^2 + 11x + 6 (cm³). Biết đáy là hình chữ nhật có các kích thước là x + 1 (cm) và x + 2 (cm). Tính chiều cao của hình hộp chữ nhật đó theo x.
Phân Tích Yêu Cầu
Các bài toán trên trang 67, tập 2 sách Toán lớp 7 Cánh Diều đều xoay quanh chủ đề phép chia đa thức một biến. Cụ thể, chúng ta cần thực hiện phép chia:
- Đơn thức cho đơn thức (Bài 1).
- Đa thức cho đơn thức (Bài 2).
- Đa thức cho đa thức (Bài 3, Bài 4).
- Ứng dụng phép chia đa thức trong các bài toán thực tế về doanh thu (Bài 5) và hình học (Bài 6).
Yêu cầu chung là tính toán chính xác kết quả của phép chia, đưa về dạng rút gọn nhất hoặc biểu diễn theo biến x. Đối với các bài toán thực tế, cần vận dụng kết quả phép chia để tìm ra đại lượng được hỏi (số sản phẩm, chiều cao). Để giải quyết các bài toán này, chúng ta cần nắm vững quy tắc chia hệ số và chia lũy thừa của biến, cũng như phương pháp chia đa thức cho đa thức (thực hiện bằng cách đặt phép chia tương tự như chia số hoặc phân tích nhân tử).
Kiến Thức/Nền Tảng Cần Dùng
Để giải quyết các bài toán trên, học sinh cần ôn lại và vận dụng các kiến thức sau:
-
Quy tắc chia đơn thức cho đơn thức:
- Chia hệ số của đơn thức bị chia cho hệ số của đơn thức chia.
- Chia phần biến của đơn thức bị chia cho phần biến của đơn thức chia theo quy tắc
x^m : x^n = x^{m-n}(vớim \ge n). - Ví dụ:
4x^3 : (-2x^2) = (4 : -2) \cdot (x^3 : x^2) = -2x^{3-2} = -2x.
-
Quy tắc chia đa thức cho đơn thức:
- Chia từng hạng tử của đa thức bị chia cho đơn thức chia.
- Cộng hoặc trừ các kết quả tìm được.
- Ví dụ:
(8x^3 + 2x^2 - 6x) : (4x) = (8x^3 : 4x) + (2x^2 : 4x) - (6x : 4x) = 2x^2 + \frac{1}{2}x - \frac{3}{2}.
-
Phương pháp chia đa thức cho đa thức:
- Chia theo cột dọc: Tương tự như phép chia số tự nhiên hoặc chia đa thức cho đa thức trong chương trình nâng cao hơn. Đảm bảo các hạng tử của đa thức được sắp xếp theo lũy thừa giảm dần của biến.
- Chia hạng tử bậc cao nhất của đa thức bị chia cho hạng tử bậc cao nhất của đa thức chia để được hạng tử đầu tiên của thương.
- Nhân hạng tử vừa tìm được của thương với đa thức chia.
- Lấy đa thức bị chia trừ đi kết quả vừa nhân để được đa thức mới.
- Tiếp tục quá trình trên với đa thức mới cho đến khi được đa thức có bậc nhỏ hơn bậc của đa thức chia hoặc bằng 0.
- Phân tích đa thức thành nhân tử: Nếu có thể phân tích đa thức bị chia và đa thức chia thành nhân tử chung, ta có thể rút gọn biểu thức. Phương pháp này thường hiệu quả khi các đa thức có dạng đặc biệt (như hằng đẳng thức, nhóm hạng tử).
- Ví dụ:
(x^2 - 2x + 1) : (x - 1). Ta nhận thấyx^2 - 2x + 1 = (x-1)^2. Do đó,(x-1)^2 : (x-1) = x-1.
- Chia theo cột dọc: Tương tự như phép chia số tự nhiên hoặc chia đa thức cho đa thức trong chương trình nâng cao hơn. Đảm bảo các hạng tử của đa thức được sắp xếp theo lũy thừa giảm dần của biến.
Hướng Dẫn Giải Chi Tiết
Chúng ta sẽ đi qua từng bài toán cụ thể.
Bài 1: Chia Đơn Thức Cho Đơn Thức
Các bài toán này yêu cầu áp dụng trực tiếp quy tắc chia đơn thức cho đơn thức.
a) (4x^3) : (-2x^2)
- Chia hệ số:
4 : (-2) = -2. - Chia biến:
x^3 : x^2 = x^{3-2} = x. - Kết quả:
-2x.
b) (-7x^2) : (6x)
- Chia hệ số:
-7 : 6 = -\frac{7}{6}. - Chia biến:
x^2 : x = x^{2-1} = x. - Kết quả:
-\frac{7}{6}x.
c) (-14x^4) : (-8x^3)
- Chia hệ số:
-14 : (-8) = \frac{14}{8} = \frac{7}{4}. - Chia biến:
x^4 : x^3 = x^{4-3} = x. - Kết quả:
\frac{7}{4}x.
Bài 2: Chia Đa Thức Cho Đơn Thức
Áp dụng quy tắc chia từng hạng tử của đa thức bị chia cho đơn thức chia.
a) (8x^3 + 2x^2 - 6x) : (4x)
8x^3 : 4x = 2x^22x^2 : 4x = \frac{2}{4}x^{2-1} = \frac{1}{2}x-6x : 4x = -\frac{6}{4} = -\frac{3}{2}- Kết hợp lại:
2x^2 + \frac{1}{2}x - \frac{3}{2}.
b) (5x^3 - 4x) : (-2x)
5x^3 : (-2x) = -\frac{5}{2}x^{3-1} = -\frac{5}{2}x^2-4x : (-2x) = \frac{-4}{-2} = 2- Kết hợp lại:
-\frac{5}{2}x^2 + 2.
c) (-15x^6 - 24x^3) : (-3x^2)
-15x^6 : (-3x^2) = \frac{-15}{-3}x^{6-2} = 5x^4-24x^3 : (-3x^2) = \frac{-24}{-3}x^{3-2} = 8x- Kết hợp lại:
5x^4 + 8x.
Bài 3: Chia Đa Thức Cho Đa Thức (Dạng Đặc Biệt)
Các bài toán này có thể giải bằng cả hai phương pháp chia cột dọc hoặc phân tích thành nhân tử. Phương pháp phân tích nhân tử thường nhanh hơn nếu nhận ra ngay.
a) (x^2 - 2x + 1) : (x - 1)
- Nhận xét:
x^2 - 2x + 1là hằng đẳng thức(x - 1)^2. - Do đó:
(x - 1)^2 : (x - 1) = x - 1.
Hình ảnh minh họa phép chia đa thức
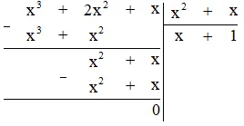
b) (x^3 + 2x^2 + x) : (x^2 + x)
- Phân tích đa thức bị chia:
x^3 + 2x^2 + x = x(x^2 + 2x + 1) = x(x+1)^2. - Phân tích đa thức chia:
x^2 + x = x(x+1). - Thực hiện phép chia:
\frac{x(x+1)^2}{x(x+1)} = x+1.
Hình ảnh minh họa phép chia đa thức
c) (-16x^4 + 1) : (-4x^2 + 1)
- Đây là dạng
(a^2 - b^2). Ta có-16x^4 + 1 = 1 - 16x^4 = 1^2 - (4x^2)^2 = (1 - 4x^2)(1 + 4x^2). - Tuy nhiên, đa thức chia là
-4x^2 + 1, bằng1 - 4x^2. - Do đó:
\frac{(1 - 4x^2)(1 + 4x^2)}{1 - 4x^2} = 1 + 4x^2.
Hình ảnh minh họa phép chia đa thức
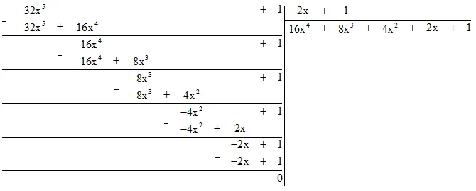
d) (-32x^5 + 1) : (-2x + 1)
- Đây là dạng chia đa thức bậc 5. Ta có thể dùng chia cột dọc hoặc nhận dạng hằng đẳng thức
a^n - b^n. - Nhận thấy
-32x^5 + 1 = 1 - 32x^5 = 1^5 - (2x)^5. - Sử dụng hằng đẳng thức
a^n - b^n = (a-b)(a^{n-1} + a^{n-2}b + ... + ab^{n-2} + b^{n-1}). - Với
a=1, b=2x, n=5:1^5 - (2x)^5 = (1 - 2x)(1^4 + 1^3(2x) + 1^2(2x)^2 + 1(2x)^3 + (2x)^4). = (1 - 2x)(1 + 2x + 4x^2 + 8x^3 + 16x^4).- Đa thức bị chia là
-32x^5 + 1. - Đa thức chia là
-2x + 1, bằng1 - 2x. - Do đó, thương là:
1 + 2x + 4x^2 + 8x^3 + 16x^4. - Sắp xếp lại theo lũy thừa tăng dần của
x:16x^4 + 8x^3 + 4x^2 + 2x + 1.
Hình ảnh minh họa phép chia đa thức
Bài 4: Chia Đa Thức Cho Đa Thức (Phép Chia Thông Thường)
Các bài toán này thường yêu cầu sử dụng phương pháp chia cột dọc vì không dễ dàng phân tích nhân tử.
a) (6x^2 - 2x + 1) : (3x - 1)
- Thực hiện phép chia cột dọc:
6x^2 : 3x = 2x. Nhân2xvới3x - 1ta được6x^2 - 2x.- Lấy
(6x^2 - 2x + 1) - (6x^2 - 2x) = 1.
- Kết quả:
(6x^2 - 2x + 1) = (2x)(3x - 1) + 1. Thương là2xvà số dư là1.
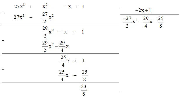
b) (27x^3 + x^2 - x + 1) : (-2x + 1)
- Thực hiện phép chia cột dọc:
27x^3 : (-2x) = -\frac{27}{2}x^2. Nhân-\frac{27}{2}x^2với-2x + 1ta được27x^3 - \frac{27}{2}x^2.- Lấy
(27x^3 + x^2 - x + 1) - (27x^3 - \frac{27}{2}x^2) = x^2 + \frac{27}{2}x^2 - x + 1 = \frac{29}{2}x^2 - x + 1. \frac{29}{2}x^2 : (-2x) = -\frac{29}{4}x. Nhân-\frac{29}{4}xvới-2x + 1ta được\frac{29}{2}x^2 - \frac{29}{4}x.- Lấy
(\frac{29}{2}x^2 - x + 1) - (\frac{29}{2}x^2 - \frac{29}{4}x) = -x + \frac{29}{4}x + 1 = \frac{25}{4}x + 1. \frac{25}{4}x : (-2x) = -\frac{25}{8}. Nhân-\frac{25}{8}với-2x + 1ta được\frac{25}{4}x - \frac{25}{8}.- Lấy
(\frac{25}{4}x + 1) - (\frac{25}{4}x - \frac{25}{8}) = 1 + \frac{25}{8} = \frac{33}{8}.
- Kết quả:
(27x^3 + x^2 - x + 1) = (-\frac{27}{2}x^2 - \frac{29}{4}x - \frac{25}{8})(-2x + 1) + \frac{33}{8}. - Thương là
-\frac{27}{2}x^2 - \frac{29}{4}x - \frac{25}{8}và số dư là\frac{33}{8}.
Hình ảnh minh họa phép chia đa thức
c) (8x^3 + 2x^2 + x) : (2x^3 + x + 1)
- Quan sát, ta thấy bậc của đa thức bị chia (
3) bằng bậc của đa thức chia (3). - Thực hiện phép chia cột dọc:
8x^3 : 2x^3 = 4. Nhân4với2x^3 + x + 1ta được8x^3 + 4x + 4.- Lấy
(8x^3 + 2x^2 + x) - (8x^3 + 4x + 4) = 2x^2 + x - 4x - 4 = 2x^2 - 3x - 4.
- Đa thức mới
2x^2 - 3x - 4có bậc 2, nhỏ hơn bậc 3 của đa thức chia. Do đó, quá trình chia dừng lại. - Kết quả:
8x^3 + 2x^2 + x = 4(2x^3 + x + 1) + (2x^2 - 3x - 4). - Thương là
4và số dư là2x^2 - 3x - 4.
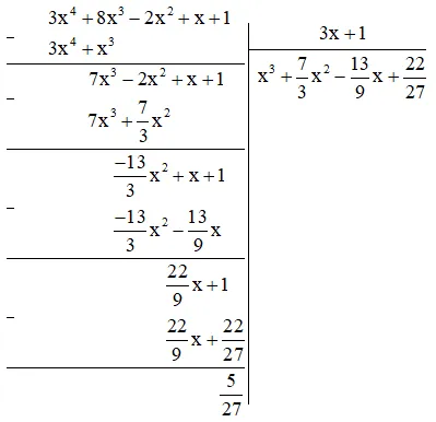
d) (3x^4 + 8x^3 - 2x^2 + x + 1) : (3x + 1)
- Thực hiện phép chia cột dọc:
3x^4 : 3x = x^3. Nhânx^3với3x + 1ta được3x^4 + x^3.- Lấy
(3x^4 + 8x^3 - 2x^2 + x + 1) - (3x^4 + x^3) = 7x^3 - 2x^2 + x + 1. 7x^3 : 3x = \frac{7}{3}x^2. Nhân\frac{7}{3}x^2với3x + 1ta được7x^3 + \frac{7}{3}x^2.- Lấy
(7x^3 - 2x^2 + x + 1) - (7x^3 + \frac{7}{3}x^2) = -2x^2 - \frac{7}{3}x^2 + x + 1 = -\frac{13}{3}x^2 + x + 1. -\frac{13}{3}x^2 : 3x = -\frac{13}{9}x. Nhân-\frac{13}{9}xvới3x + 1ta được-\frac{13}{3}x^2 - \frac{13}{9}x.- Lấy
(-\frac{13}{3}x^2 + x + 1) - (-\frac{13}{3}x^2 - \frac{13}{9}x) = x + \frac{13}{9}x + 1 = \frac{22}{9}x + 1. \frac{22}{9}x : 3x = \frac{22}{27}. Nhân\frac{22}{27}với3x + 1ta được\frac{22}{9}x + \frac{22}{27}.- Lấy
(\frac{22}{9}x + 1) - (\frac{22}{9}x + \frac{22}{27}) = 1 - \frac{22}{27} = \frac{5}{27}.
- Kết quả:
3x^4 + 8x^3 - 2x^2 + x + 1 = (x^3 + \frac{7}{3}x^2 - \frac{13}{9}x + \frac{22}{27})(3x + 1) + \frac{5}{27}. - Thương là
x^3 + \frac{7}{3}x^2 - \frac{13}{9}x + \frac{22}{27}và số dư là\frac{5}{27}.
Hình ảnh minh họa phép chia đa thức
Bài 5: Ứng Dụng Thực Tế – Doanh Thu
Bài toán cho biết doanh thu và giá bán sau khi tăng, yêu cầu tính số sản phẩm bán được.
- Giá bán ban đầu:
2x(nghìn đồng). - Giá bán sau khi tăng:
2x + 30(nghìn đồng). - Doanh thu:
6x^2 + 170x + 1200(nghìn đồng).
Để tìm số sản phẩm, ta lấy doanh thu chia cho giá bán của một sản phẩm sau khi tăng giá.
- Số sản phẩm =
(6x^2 + 170x + 1200) : (2x + 30).
Thực hiện phép chia cột dọc:
6x^2 : 2x = 3x. Nhân3xvới2x + 30ta được6x^2 + 90x.- Lấy
(6x^2 + 170x + 1200) - (6x^2 + 90x) = 80x + 1200. 80x : 2x = 40. Nhân40với2x + 30ta được80x + 1200.- Lấy
(80x + 1200) - (80x + 1200) = 0.
Hình ảnh minh họa bài toán doanh thu
Vậy số sản phẩm mà công ty đó đã bán được là 3x + 40 sản phẩm.
Bài 6: Ứng Dụng Hình Học – Thể Tích Hình Hộp Chữ Nhật
Bài toán cho biết thể tích và kích thước hai cạnh đáy của hình hộp chữ nhật, yêu cầu tính chiều cao.
- Thể tích hình hộp chữ nhật:
V = x^3 + 6x^2 + 11x + 6(cm³). - Kích thước đáy:
x + 1(cm) vàx + 2(cm).
Bước 1: Tính diện tích đáy.
- Diện tích đáy
S_{đáy} = (x + 1)(x + 2). - Khai triển:
S_{đáy} = x(x+2) + 1(x+2) = x^2 + 2x + x + 2 = x^2 + 3x + 2(cm²).
Bước 2: Tính chiều cao.
- Chiều cao
h = V : S_{đáy}. - Ta cần tính:
(x^3 + 6x^2 + 11x + 6) : (x^2 + 3x + 2).
Thực hiện phép chia cột dọc:
x^3 : x^2 = x. Nhânxvớix^2 + 3x + 2ta đượcx^3 + 3x^2 + 2x.- Lấy
(x^3 + 6x^2 + 11x + 6) - (x^3 + 3x^2 + 2x) = 3x^2 + 9x + 6. 3x^2 : x^2 = 3. Nhân3vớix^2 + 3x + 2ta được3x^2 + 9x + 6.- Lấy
(3x^2 + 9x + 6) - (3x^2 + 9x + 6) = 0.
Hình ảnh minh họa bài toán hình hộp chữ nhật
Vậy chiều cao của hình hộp chữ nhật đó là x + 3 cm.
Đáp Án/Kết Quả
Tổng kết lại, các kết quả cho các bài tập trên trang 67, tập 2 Toán lớp 7 Cánh Diều như sau:
-
Bài 1:
- a)
-2x - b)
-\frac{7}{6}x - c)
\frac{7}{4}x
- a)
-
Bài 2:
- a)
2x^2 + \frac{1}{2}x - \frac{3}{2} - b)
-\frac{5}{2}x^2 + 2 - c)
5x^4 + 8x
- a)
-
Bài 3:
- a)
x - 1 - b)
x + 1 - c)
4x^2 + 1 - d)
16x^4 + 8x^3 + 4x^2 + 2x + 1
- a)
-
Bài 4:
- a) Thương
2x, dư1 - b) Thương
-\frac{27}{2}x^2 - \frac{29}{4}x - \frac{25}{8}, dư\frac{33}{8} - c) Thương
4, dư2x^2 - 3x - 4 - d) Thương
x^3 + \frac{7}{3}x^2 - \frac{13}{9}x + \frac{22}{27}, dư\frac{5}{27}
- a) Thương
-
Bài 5: Số sản phẩm bán được là
3x + 40sản phẩm. -
Bài 6: Chiều cao của hình hộp chữ nhật là
x + 3cm.
Mẹo Kiểm Tra
- Đối với các bài toán chia đa thức, sau khi tìm được thương và số dư (nếu có), ta có thể kiểm tra lại bằng cách nhân thương với đa thức chia rồi cộng với số dư. Kết quả phải bằng đa thức bị chia ban đầu. Tức là:
(Đa thức chia) \times (Thương) + (Số dư) = Đa thức bị chia. - Ví dụ với Bài 1c:
(-2x) \times (-2x^2) = 4x^3. Đúng. - Ví dụ với Bài 3a:
(x-1) \times (x-1) = (x-1)^2 = x^2 - 2x + 1. Đúng.
Lỗi Hay Gặp
- Sai sót trong quy tắc chia lũy thừa: Quên trừ số mũ hoặc cộng nhầm. Luôn nhớ
x^m : x^n = x^{m-n}. - Sai dấu khi chia: Đặc biệt khi chia cho số âm hoặc thực hiện phép trừ trong chia cột dọc. Cần cẩn thận với từng dấu.
- Nhầm lẫn giữa chia đa thức cho đơn thức và đa thức cho đa thức: Cần áp dụng đúng phương pháp cho từng dạng.
- Sắp xếp sai thứ tự các hạng tử: Khi chia đa thức cho đa thức, phải đảm bảo các hạng tử được sắp xếp theo thứ tự lũy thừa giảm dần của biến.
- Lỗi tính toán số học: Sai sót trong cộng, trừ, nhân, chia các hệ số, đặc biệt là với phân số.
Việc luyện tập thường xuyên các bài tập trong sách giáo khoa và các nguồn tham khảo uy tín sẽ giúp các em thành thạo hơn kỹ năng chia đa thức một biến. Hy vọng với những hướng dẫn chi tiết trong bài giải toán 7 tập 2 trang 67 này, các em học sinh sẽ tự tin hơn khi đối mặt với các bài toán tương tự.
Giải bài tập Toán lớp 7 Cánh diều luôn là một quá trình đòi hỏi sự kiên trì và phương pháp học đúng đắn. Bài viết này đã cung cấp lời giải chi tiết cho giải toán 7 tập 2 trang 67 về phép chia đa thức một biến, từ đó củng cố kiến thức nền tảng và kỹ năng giải toán cho học sinh. Chúc các em học tốt và đạt kết quả cao trong học tập!
Ngày chỉnh sửa nội dung mới nhất Tháng 1 7, 2026 by Thầy Đông

Thầy Đông – Giảng viên Đại học Công nghiệp Hà Nội, giáo viên luyện thi THPT
Thầy Đông bắt đầu sự nghiệp tại một trường THPT ở quê nhà, sau đó trúng tuyển giảng viên Đại học Công nghiệp Hà Nội nhờ chuyên môn vững và kinh nghiệm giảng dạy thực tế. Với nhiều năm đồng hành cùng học sinh, thầy được biết đến bởi phong cách giảng dạy rõ ràng, dễ hiểu và gần gũi. Hiện thầy giảng dạy tại dehocsinhgioi, tiếp tục truyền cảm hứng học tập cho học sinh cấp 3 thông qua các bài giảng súc tích, thực tiễn và giàu nhiệt huyết.
