Giải Bài Tập Toán Lớp 8 Bài 5: Phương Trình Chứa Ẩn Ở Mẫu – Luyện Tập Trang 22-23
Giới Thiệu
Giải bài tập Toán lớp 8 chương “Phương trình bậc nhất một ẩn” là một phần quan trọng trong chương trình học. Bài viết này tập trung vào việc giải bài tập Toán lớp 8 về phương trình chứa ẩn ở mẫu, cụ thể là các bài tập luyện tập trang 22-23 trong sách giáo khoa. Chúng ta sẽ cùng nhau phân tích chi tiết từng dạng bài, nắm vững kiến thức nền tảng và phương pháp giải để có thể tự tin chinh phục các bài toán tương tự. Bài viết này sẽ cung cấp lời giải chi tiết, dễ hiểu, giúp học sinh nắm vững cách xác định điều kiện xác định, biến đổi phương trình và kiểm tra nghiệm.
Đề Bài
Bài tập 1 (trang 19): Giá trị x = 1 có phải là nghiệm của phương trình hay không? Vì sao?
Phương trình:
Bài tập 2 (trang 20): Tìm điều kiện xác định của mỗi phương trình sau:
a)
b)
Bài tập 3 (trang 22): Giải các phương trình trong câu hỏi 2.
a)
Phương trình 3ab)
Phương trình 3b
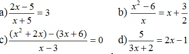
Bài 27 (trang 22): Giải các phương trình:
a)
Phương trình 27ab)
c)
d)
Bài 28 (trang 22): Giải các phương trình:
a)
Phương trình 28ab)
c)
Phương trình 28cd)
Phương trình 28d
Phân Tích Yêu Cầu
Các bài tập được đưa ra yêu cầu giải các phương trình chứa ẩn ở mẫu số. Để giải quyết các bài toán này, chúng ta cần thực hiện các bước sau:
- Tìm điều kiện xác định (ĐKXĐ) của phương trình: Điều này có nghĩa là tìm các giá trị của biến mà làm cho mẫu số khác 0.
- Quy đồng mẫu số: Nhân cả hai vế của phương trình với mẫu số chung để loại bỏ mẫu số.
- Giải phương trình bậc nhất (hoặc bậc cao hơn) thu được sau khi quy đồng.
- Kiểm tra nghiệm: So sánh các nghiệm tìm được với ĐKXĐ. Nghiệm nào không thỏa mãn ĐKXĐ sẽ bị loại bỏ.
Các bài tập này kiểm tra khả năng vận dụng kiến thức về phân thức đại số, phương trình bậc nhất và kỹ năng biến đổi đại số của học sinh.
Kiến Thức/Nền Tảng Cần Dùng
Để giải các phương trình chứa ẩn ở mẫu, chúng ta cần nắm vững các kiến thức sau:
- Phân thức đại số:
- Một phân thức có mẫu thức khác 0.
- Điều kiện xác định của phân thức \frac{A}{B} là B \ne 0.
- Phương trình bậc nhất một ẩn:
- Dạng tổng quát: ax + b = 0, với $a, b$ là các hệ số, a \ne 0.
- Nghiệm của phương trình là x = -\frac{b}{a}.
- Quy đồng mẫu thức nhiều phân thức:
- Tìm mẫu số chung (thường là bội chung nhỏ nhất của các mẫu thức).
- Nhân tử phụ cho mỗi phân thức.
- Biến đổi tương đương phương trình:
- Cộng hoặc trừ hai vế với cùng một biểu thức.
- Nhân hoặc chia hai vế với cùng một biểu thức khác 0.
Công thức cần nhớ:
- Các hằng đẳng thức đáng nhớ: (a+b)^2 = a^2 + 2ab + b^2, (a-b)^2 = a^2 - 2ab + b^2, a^2 - b^2 = (a-b)(a+b).
- Phân tích đa thức thành nhân tử: nhóm hạng tử, dùng hằng đẳng thức.
Hướng Dẫn Giải Chi Tiết
Bài tập 1 (trang 19):
Đề bài: Giá trị x = 1 có phải là nghiệm của phương trình hay không? Vì sao?
Phương trình:
Phân tích: Phương trình có mẫu thức là x-1. Để x=1 có phải là nghiệm hay không, ta cần kiểm tra xem khi thay x=1 vào phương trình thì mẫu thức có bằng 0 hay không.
Lời giải:
Tại x = 1, mẫu thức x-1 trở thành 1-1 = 0.
Vì mẫu số bằng 0, biểu thức trong phương trình không xác định tại x=1. Do đó, x=1 không phải là nghiệm của phương trình.
Mẹo kiểm tra: Luôn kiểm tra ĐKXĐ trước khi kết luận nghiệm.
Lỗi hay gặp: Quên kiểm tra ĐKXĐ và kết luận nghiệm một cách vội vàng.
Bài tập 2 (trang 20): Tìm điều kiện xác định
a) Phương trình:
Phân tích: Phương trình có hai mẫu thức là x-1 và x+1. Cả hai mẫu thức này phải khác 0.
Lời giải:
Để phương trình xác định, ta cần:
x-1 \ne 0 implies x \ne 1
x+1 \ne 0 implies x \ne -1
Vậy, điều kiện xác định của phương trình là x \ne 1 và x \ne -1.
b) Phương trình:
Phân tích: Phương trình có mẫu thức là x-2. Mẫu thức này phải khác 0.
Lời giải:
Để phương trình xác định, ta cần:
x-2 \ne 0 implies x \ne 2
Vậy, điều kiện xác định của phương trình là x \ne 2.
Bài tập 3 (trang 22): Giải các phương trình trong câu hỏi 2
a) Phương trình:
Phương trình 3a
Phân tích: Đã có ĐKXĐ là x \ne \pm 1 từ câu 2a. Ta quy đồng mẫu số. Mẫu số chung là (x-1)(x+1) = x^2 - 1.
Lời giải:
ĐKXĐ: x \ne 1, x \ne -1.
Quy đồng mẫu số:
Quy đồng 3aSuy ra: x(x+1) = (x-1)(x+4)
x^2 + x = x^2 + 4x - x - 4
x^2 + x = x^2 + 3x - 4
x = 3x - 4
2x = 4
x = 2
Kiểm tra với ĐKXĐ: x=2 thỏa mãn x \ne 1 và x \ne -1.
Vậy tập nghiệm của phương trình là S = {2}.
Mẹo kiểm tra: Sau khi tìm được nghiệm, thay nghiệm đó vào phương trình gốc để xem các mẫu số có bằng 0 không.
Lỗi hay gặp: Sai sót trong quá trình nhân đa thức hoặc chuyển vế.
b) Phương trình:
Phương trình 3b
Phân tích: Đã có ĐKXĐ là x \ne 2 từ câu 2b. Mẫu số chung là x-2.
Lời giải:
ĐKXĐ: x \ne 2.
Quy đồng mẫu số:
Quy đồng 3bSuy ra: 3 = 2x - 1 - x(x-2)
3 = 2x - 1 - (x^2 - 2x)
3 = 2x - 1 - x^2 + 2x
3 = -x^2 + 4x - 1
x^2 - 4x + 4 = 0
(x-2)^2 = 0
x-2 = 0
x = 2
Kiểm tra với ĐKXĐ: x=2 KHÔNG thỏa mãn ĐKXĐ (x \ne 2).
Vậy phương trình vô nghiệm. Tập nghiệm S = emptyset.
Mẹo kiểm tra: Luôn đối chiếu nghiệm tìm được với ĐKXĐ.
Lỗi hay gặp: Nhầm lẫn giữa nghiệm tìm được và điều kiện xác định.
Bài 27 (trang 22): Giải các phương trình
a) Phương trình:
Phương trình 27a
Phân tích: Mẫu thức là x+5.
Lời giải:
Điều kiện xác định: x+5 \ne 0 implies x \ne -5.
Quy đồng mẫu số:
Suy ra: 2x - 5 = 3(x+5)
2x - 5 = 3x + 15
-5 - 15 = 3x - 2x
x = -20
Kiểm tra với ĐKXĐ: x=-20 thỏa mãn x \ne -5.
Vậy phương trình có tập nghiệm S = {-20}.
b) Phương trình:
Phân tích: Mẫu thức là $x$.
Lời giải:
Điều kiện xác định: x \ne 0.
Quy đồng mẫu số:
Suy ra: 2(x^2 - 6) = 2x^2 + 3x
2x^2 - 12 = 2x^2 + 3x
-12 = 3x
x = -4
Kiểm tra với ĐKXĐ: x=-4 thỏa mãn x \ne 0.
Vậy phương trình có tập nghiệm S = {-4}.
c) Phương trình:
Phân tích: Mẫu thức là x-3.
Lời giải:
Điều kiện xác định: x-3 \ne 0 implies x \ne 3.
Quy đồng mẫu số:
Suy ra: (x^2 + 2x) - (3x + 6) = 0
x^2 + 2x - 3x - 6 = 0
x^2 - x - 6 = 0
Phân tích đa thức thành nhân tử: (x-3)(x+2) = 0.
Hoặc x-3 = 0 hoặc x+2 = 0.
Nếu x-3 = 0 implies x = 3.
Nếu x+2 = 0 implies x = -2.
Kiểm tra với ĐKXĐ:
x=3 không thỏa mãn ĐKXĐ (x \ne 3). Loại nghiệm này.
x=-2 thỏa mãn ĐKXĐ (x \ne 3). Nhận nghiệm này.
Vậy phương trình có tập nghiệm S = {-2}.
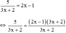
d) Phương trình:
Phương trình 27d
Phân tích: Mẫu thức là 3x+2.
Lời giải:
Điều kiện xác định: 3x+2 \ne 0 implies 3x \ne -2 implies x \ne -\frac{2}{3}.
Quy đồng mẫu số:
Quy đồng 27dSuy ra: 5 = (2x-1)(3x+2)
5 = 6x^2 + 4x - 3x - 2
5 = 6x^2 + x - 2
6x^2 + x - 7 = 0
Phân tích đa thức thành nhân tử:
6x^2 - 6x + 7x - 7 = 0
6x(x-1) + 7(x-1) = 0
(6x+7)(x-1) = 0
Hoặc 6x+7 = 0 hoặc x-1 = 0.
Nếu 6x+7 = 0 implies 6x = -7 implies x = -\frac{7}{6}.
Nếu x-1 = 0 implies x = 1.
Kiểm tra với ĐKXĐ:
x = -\frac{7}{6} thỏa mãn x \ne -\frac{2}{3}.
x = 1 thỏa mãn x \ne -\frac{2}{3}.
Vậy phương trình có tập nghiệm S = {-\frac{7}{6}, 1}.
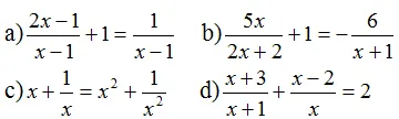
Bài 28 (trang 22): Giải các phương trình
a) Phương trình:
Phương trình 28a
Phân tích: Mẫu thức là x-1.
Lời giải:
Điều kiện xác định: x-1 \ne 0 implies x \ne 1.
Quy đồng mẫu số:
Suy ra: 2x - 1 + x - 1 = 1
3x - 2 = 1
3x = 3
x = 1
Kiểm tra với ĐKXĐ: x=1 KHÔNG thỏa mãn ĐKXĐ (x \ne 1).
Vậy phương trình vô nghiệm.
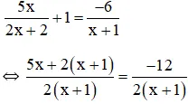
b) Phương trình:
Phương trình 28b
Phân tích: Mẫu thức là x+1.
Lời giải:
Điều kiện xác định: x+1 \ne 0 implies x \ne -1.
Quy đồng mẫu số:
Quy đồng 28bSuy ra: 5x + 2(x+1) = -12
5x + 2x + 2 = -12
7x + 2 = -12
7x = -14
x = -2
Kiểm tra với ĐKXĐ: x=-2 thỏa mãn x \ne -1.
Vậy phương trình có tập nghiệm S = {-2}.
c) Phương trình:
Phân tích: Mẫu thức là $x$.
Lời giải:
Điều kiện xác định: x \ne 0.
Quy đồng mẫu số:
Suy ra: x^3 + x = x^4 + 1
Chuyển tất cả sang một vế: x^4 - x^3 - x + 1 = 0.
Nhóm hạng tử: (x^4 - x^3) - (x - 1) = 0.
x^3(x-1) - (x-1) = 0.
(x^3-1)(x-1) = 0.
Sử dụng hằng đẳng thức a^3-b^3 = (a-b)(a^2+ab+b^2):
(x-1)(x^2+x+1)(x-1) = 0.
(x-1)^2(x^2+x+1) = 0.
Ta có hai trường hợp:
Trường hợp 1: (x-1)^2 = 0 implies x-1 = 0 implies x = 1.
Trường hợp 2: x^2+x+1 = 0.
Để xét phương trình bậc hai này, ta tính biệt thức \Delta = b^2 - 4ac = 1^2 - 4(1)(1) = 1 - 4 = -3.
Vì \Delta < 0[/katex], phương trình [katex]x^2+x+1=0[/katex] vô nghiệm.</p>
<p>Kiểm tra với ĐKXĐ: [katex]x=1 thỏa mãn x \ne 0.
Vậy phương trình có tập nghiệm S = {1}.
d) Phương trình:
Phương trình 28d
Phân tích: Mẫu thức là $x$ và x+1.
Lời giải:
Điều kiện xác định: x \ne 0 và x+1 \ne 0 implies x \ne -1.
Mẫu số chung là x(x+1).
Quy đồng mẫu số:
Quy đồng 28dSuy ra: x(x+3) + (x+1)(x-2) = 2x(x+1)
x^2 + 3x + (x^2 - 2x + x - 2) = 2x^2 + 2x
x^2 + 3x + x^2 - x - 2 = 2x^2 + 2x
2x^2 + 2x - 2 = 2x^2 + 2x
0x - 2 = 0
0x = 2
Phương trình này vô nghiệm vì $0$ không thể bằng $2$.
Mẹo kiểm tra: Khi gặp phương trình dạng 0x = c với c \ne 0, kết luận ngay là vô nghiệm.
Lỗi hay gặp: Sai sót trong quá trình nhân đa thức hoặc rút gọn, dẫn đến kết quả sai.
Đáp Án/Kết Quả
- Bài tập 1: x=1 không phải là nghiệm vì làm mẫu số bằng 0.
- Bài tập 2:
- a) ĐKXĐ: x \ne 1, x \ne -1.
- b) ĐKXĐ: x \ne 2.
- Bài tập 3:
- a) S = {2}.
- b) S = emptyset.
- Bài 27:
- a) S = {-20}.
- b) S = {-4}.
- c) S = {-2}.
- d) S = {-\frac{7}{6}, 1}.
- Bài 28:
- a) Vô nghiệm.
- b) S = {-2}.
- c) S = {1}.
- d) Vô nghiệm.
Kết Luận
Việc giải phương trình chứa ẩn ở mẫu đòi hỏi sự cẩn thận và chính xác trong từng bước, đặc biệt là việc xác định điều kiện xác định và kiểm tra nghiệm. Nắm vững các kỹ năng quy đồng mẫu thức, phân tích đa thức thành nhân tử và biến đổi đại số là chìa khóa để giải thành công các bài toán này. Thông qua việc luyện tập các bài tập trên, hy vọng học sinh đã củng cố kiến thức và tự tin hơn khi đối mặt với các dạng toán tương tự trong chương trình giải bài tập Toán lớp 8.
Ngày chỉnh sửa nội dung mới nhất Tháng 1 14, 2026 by Thầy Đông

Thầy Đông – Giảng viên Đại học Công nghiệp Hà Nội, giáo viên luyện thi THPT
Thầy Đông bắt đầu sự nghiệp tại một trường THPT ở quê nhà, sau đó trúng tuyển giảng viên Đại học Công nghiệp Hà Nội nhờ chuyên môn vững và kinh nghiệm giảng dạy thực tế. Với nhiều năm đồng hành cùng học sinh, thầy được biết đến bởi phong cách giảng dạy rõ ràng, dễ hiểu và gần gũi. Hiện thầy giảng dạy tại dehocsinhgioi, tiếp tục truyền cảm hứng học tập cho học sinh cấp 3 thông qua các bài giảng súc tích, thực tiễn và giàu nhiệt huyết.
