Giải Toán Hình Lớp 10 Bài 1: Giá Trị Lượng Giác Của Góc Bất Kỳ Từ 0° Đến 180°
Bài 1 trong chương trình giải toán hình lớp 10 bài 1 về giá trị lượng giác là nền tảng quan trọng giúp học sinh nắm vững các khái niệm cơ bản về sin, cos và mối quan hệ giữa chúng. Bài viết này cung cấp lời giải chi tiết cho từng bài tập, kèm theo phân tích cách tiếp cận và các lưu ý quan trọng để học sinh có thể tự tin giải quyết các dạng toán tương tự.
Bài 1: Chứng Minh Công Thức Lượng Giác Trong Tam Giác
Trong tam giác ABC, ta cần chứng minh hai đẳng thức quan trọng liên quan đến tổng các góc.
Phần a: sin A = sin(B + C)
Xuất phát từ tính chất tổng ba góc trong tam giác bằng 180°, ta có A + B + C = 180°. Biến đổi được A = 180° – (B + C), nghĩa là góc A và tổng (B + C) là hai góc bù nhau.
Theo định nghĩa giá trị lượng giác của hai góc bù, sin của hai góc bù nhau luôn bằng nhau. Do đó sin A = sin(B + C).
Minh họa tam giác ABC với các góc và mối quan hệ lượng giác giữa chúng
Phần b: cos A = -cos(B + C)
Tương tự phần a, từ A = 180° – (B + C), ta áp dụng tính chất cos của hai góc bù. Khác với sin, cos của hai góc bù nhau có giá trị đối nhau, tức là cos A = -cos(B + C).
Bài 2: Tính Độ Dài Trong Tam Giác Cân
Cho tam giác cân AOB tại O với OA = a, đường cao OH và AK, biết góc AOH = α. Bài toán yêu cầu tính AK và OK theo a và α.
Trong tam giác vuông AOH, ta có:
- AH = OA × sin α = a sin α
- OH = OA × cos α = a cos α
Do tam giác AOB cân tại O nên H là trung điểm AB, suy ra AB = 2AH = 2a sin α.
Xét tam giác vuông ABK, ta tính được:
- AK = AB × sin(∠ABO)
- OK có thể tính thông qua định lý Pythagore hoặc các tỉ số lượng giác
Kết quả cuối cùng: AK = 2a sin α cos α và OK = a cos 2α.
Bài 3: Chứng Minh Đẳng Thức Với Góc Bù
Bài tập này củng cố khái niệm về hai góc bù nhau thông qua ba ví dụ cụ thể.
Phần a: sin 105° = sin 75°
Nhận thấy 105° + 75° = 180°, hai góc này bù nhau. Theo tính chất, sin của hai góc bù nhau bằng nhau, do đó sin 105° = sin 75°.
Phần b: cos 170° = -cos 10°
Tương tự, 170° = 180° – 10°, hai góc bù nhau. Cos của hai góc bù có giá trị đối nhau, nên cos 170° = -cos 10°.
Đồ thị minh họa giá trị sin và cos của các góc bù nhau trên đường tròn lượng giác
Phần c: cos 122° = -cos 58°
122° = 180° – 58°, áp dụng tính chất tương tự, ta có cos 122° = -cos 58°.
Bài 4: Chứng Minh Đẳng Thức Cơ Bản cos²α + sin²α = 1
Đây là đẳng thức cơ bản nhất trong lượng giác, đúng với mọi góc α từ 0° đến 180°.
Trên đường tròn lượng giác đơn vị (O; 1), điểm M(x₀; y₀) tương ứng với góc α có tọa độ:
- x₀ = cos α
- y₀ = sin α
Vì M nằm trên đường tròn bán kính 1, theo định lý Pythagore: x₀² + y₀² = OM² = 1.
Thay vào ta được cos²α + sin²α = 1.
⚠️ Lưu ý: Đẳng thức này là nền tảng để giải nhiều bài toán lượng giác phức tạp hơn, học sinh cần ghi nhớ và vận dụng thành thạo.
Bài 5: Tính Giá Trị Biểu Thức Lượng Giác
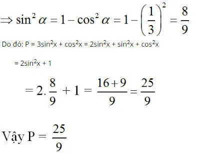
Cho cos x = 1/3, tính P = 3sin²x + cos²x.
Từ đẳng thức cơ bản sin²x + cos²x = 1, ta có:
sin²x = 1 – cos²x = 1 – (1/3)² = 1 – 1/9 = 8/9
Thay vào biểu thức P:
P = 3sin²x + cos²x = 3 × (8/9) + (1/3)² = 24/9 + 1/9 = 25/9
Các bước biến đổi đại số để tính giá trị biểu thức lượng giác
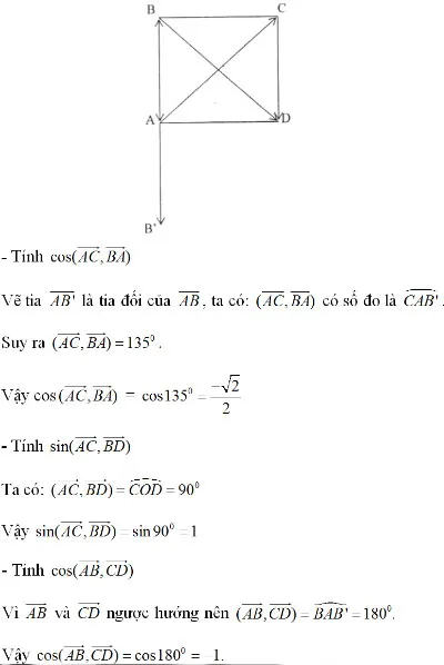
Bài 6: Tính Tích Vô Hướng Trong Hình Vuông
Cho hình vuông ABCD, bài toán yêu cầu tính các tích vô hướng giữa các vectơ.
Trong hình vuông, các cạnh vuông góc với nhau và đường chéo tạo với cạnh góc 45°. Áp dụng công thức tích vô hướng:
AB · AC = |AB| × |AC| × cos(∠BAC)
Nếu cạnh hình vuông là a, đường chéo AC = a√2, và góc BAC = 45°.
AB · AC = a × a√2 × cos 45° = a × a√2 × (√2/2) = a²
Tương tự, ta tính được các tích vô hướng khác dựa trên góc giữa các vectơ và độ dài của chúng.
Hình vuông ABCD với các vectơ và góc được đánh dấu để tính tích vô hướng
Qua sáu bài tập trong giải toán hình lớp 10 bài 1, học sinh đã được rèn luyện các kỹ năng cơ bản về giá trị lượng giác, từ chứng minh đẳng thức đến tính toán cụ thể. Nắm vững các công thức và tính chất này sẽ giúp các em tự tin hơn khi tiếp cận các bài toán phức tạp hơn trong chương trình Toán 10.
Ngày chỉnh sửa nội dung mới nhất Tháng 3 12, 2026 by Thầy Đông

Thầy Đông – Giảng viên Đại học Công nghiệp Hà Nội, giáo viên luyện thi THPT
Thầy Đông bắt đầu sự nghiệp tại một trường THPT ở quê nhà, sau đó trúng tuyển giảng viên Đại học Công nghiệp Hà Nội nhờ chuyên môn vững và kinh nghiệm giảng dạy thực tế. Với nhiều năm đồng hành cùng học sinh, thầy được biết đến bởi phong cách giảng dạy rõ ràng, dễ hiểu và gần gũi. Hiện thầy giảng dạy tại dehocsinhgioi, tiếp tục truyền cảm hứng học tập cho học sinh cấp 3 thông qua các bài giảng súc tích, thực tiễn và giàu nhiệt huyết.

huhqrn