Giải Toán Lớp 7 Bài 2: Cộng, Trừ Số Hữu Tỉ
Chào mừng các em đến với bài viết giải toán lớp 7 bài 2, chuyên đề về cộng và trừ số hữu tỉ. Trang web dehocsinhgioi.com cung cấp những kiến thức nền tảng và hướng dẫn chi tiết, giúp các em nắm vững phương pháp giải bài tập một cách chính xác và hiệu quả. Bài viết này sẽ đi sâu vào các dạng toán, cách áp dụng công thức và những mẹo nhỏ để giải quyết nhanh các bài tập liên quan đến phép cộng và trừ số hữu tỉ, hỗ trợ đắc lực cho quá trình học tập và ôn luyện của các em học sinh lớp 7.
Đề Bài
Trả lời câu hỏi Toán 7 Tập 1 Bài 2 trang 9 : Tính
Trả lời câu hỏi Toán 7 Tập 1 Bài 2 trang 9 : Tìm x, biết :
Bài 6 trang 10 sgk Toán lớp 7 Tập 1: Tính
Giải bài 6 trang 10 Toán 7 Tập 1 | Giải bài tập Toán 7
Giải bài 6 trang 10 Toán 7 Tập 1 | Giải bài tập Toán 7
Giải bài 6 trang 10 Toán 7 Tập 1 | Giải bài tập Toán 7
Giải bài 6 trang 10 Toán 7 Tập 1 | Giải bài tập Toán 7
Giải bài 6 trang 10 Toán 7 Tập 1 | Giải bài tập Toán 7
Bài 7 trang 10 sgk Toán lớp 7 Tập 1: Ta có thể viết số hữu tỉ dưới các dạng sau đây
a) là tổng của hai số hữu tỉ âm. Ví dụ .
b) là hiệu của hai số hữu tỉ dương. Ví dụ .
Với mỗi câu, em hãy tìm thêm ví dụ.
Bài 8 trang 10 sgk Toán lớp 7 Tập 1: Tính
Giải bài 8 trang 10 Toán 7 Tập 1 | Giải bài tập Toán 7
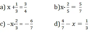
Bài 9 trang 10 sgk Toán lớp 7 Tập 1: Tìm x biết
Giải bài 9 trang 10 Toán 7 Tập 1 | Giải bài tập Toán 7
Bài 10 trang 10 sgk Toán lớp 7 Tập 1: Cho biểu thức
Hãy tính giá trị A theo hai cách
Cách 1: Trước hết tính giá trị từng biểu thức trong ngoặc
Cách 2: Bỏ dấu ngoặc rồi nhóm các số thích hợp
Phân Tích Yêu Cầu
Bài học “Cộng, trừ số hữu tỉ” thuộc chương trình Toán lớp 7 tập 1 này xoay quanh việc thực hiện các phép tính với các số thuộc tập hợp số hữu tỉ (Q). Các bài tập trong phần này yêu cầu học sinh vận dụng quy tắc cộng, trừ phân số, số nguyên, và quy đổi về dạng phân số để tính toán. Cụ thể:
- Tính toán biểu thức: Học sinh cần thực hiện các phép cộng, trừ các số hữu tỉ, bao gồm cả phân số dương, phân số âm và số nguyên.
- Tìm ẩn số: Tìm giá trị của biến
xtrong một phương trình có chứa phép cộng hoặc trừ số hữu tỉ. - Biểu diễn số hữu tỉ dưới dạng khác: Yêu cầu viết một số hữu tỉ cho trước dưới dạng tổng hoặc hiệu của các số hữu tỉ theo những điều kiện nhất định (ví dụ: tổng của hai số hữu tỉ âm, hiệu của hai số hữu tỉ dương).
- Vận dụng tính chất: Thực hiện phép tính theo các cách khác nhau, ví dụ như tính trong ngoặc trước hoặc bỏ ngoặc rồi nhóm các số hạng thích hợp, thể hiện sự hiểu biết về tính chất giao hoán, kết hợp của phép cộng.
Các dữ kiện quan trọng bao gồm các con số cụ thể trong đề bài, dấu của các số hạng, và yêu cầu của từng bài toán (tính giá trị, tìm x, viết dưới dạng…).
Kiến Thức/Nền Tảng Cần Dùng
Để giải quyết các bài tập về cộng, trừ số hữu tỉ, các em cần nắm vững các kiến thức sau:
- Số hữu tỉ: Là số có thể viết dưới dạng phân số \frac{a}{b} với a, b in mathbb{Z} và b \ne 0. Tập hợp số hữu tỉ được ký hiệu là mathbb{Q}.
- Quy tắc cộng, trừ phân số:
- Cộng, trừ hai phân số cùng mẫu: \frac{a}{m} + \frac{b}{m} = \frac{a+b}{m} và \frac{a}{m} - \frac{b}{m} = \frac{a-b}{m} (với m \ne 0).
- Cộng, trừ hai phân số khác mẫu: Quy đồng mẫu số rồi áp dụng quy tắc cộng, trừ hai phân số cùng mẫu.
- Quy đồng mẫu số: Nhân cả tử và mẫu của phân số thứ nhất với mẫu của phân số thứ hai, và ngược lại. Hoặc tìm Bội chung nhỏ nhất (BCNN) của hai mẫu số.
- Quy tắc cộng, trừ số nguyên: Học sinh đã quen thuộc từ lớp 6.
- Chuyển đổi số nguyên về dạng phân số: Số nguyên $a$ có thể viết là \frac{a}{1}.
- Quy tắc cộng, trừ số hữu tỉ: Thực chất là quy tắc cộng, trừ phân số.
- Cộng, trừ hai số hữu tỉ $x, y$: Viết x = \frac{a}{m}, y = \frac{b}{m} rồi tính x+y = \frac{a+b}{m} hoặc x-y = \frac{a-b}{m}.
- Tính chất của phép cộng số hữu tỉ:
- Giao hoán: x + y = y + x
- Kết hợp: (x + y) + z = x + (y + z)
- Cộng với số 0: x + 0 = 0 + x = x
- Số đối: Số đối của số hữu tỉ $x$ là -x. Ta có x + (-x) = 0.
- Quy tắc bỏ dấu ngoặc:
- Nếu dấu ngoặc được đặt trước bởi dấu cộng (+) hoặc không có dấu: Giữ nguyên dấu của các số hạng bên trong.
- Nếu dấu ngoặc được đặt trước bởi dấu trừ (-): Đổi dấu của tất cả các số hạng bên trong.
Hướng Dẫn Giải Chi Tiết
Bài tập trả lời câu hỏi (Trang 9)
1. Tính:
-
Các phép tính này yêu cầu vận dụng trực tiếp quy tắc cộng, trừ phân số và số nguyên.
-
Ví dụ:
- \frac{-1}{3} + \frac{1}{4}: Quy đồng mẫu số chung là 12.
\frac{-1}{3} = \frac{-1 \times 4}{3 \times 4} = \frac{-4}{12}
\frac{1}{4} = \frac{1 \times 3}{4 \times 3} = \frac{3}{12}
Vậy, \frac{-1}{3} + \frac{1}{4} = \frac{-4}{12} + \frac{3}{12} = \frac{-4+3}{12} = \frac{-1}{12}. - 2 + (-\frac{1}{5}): Viết 2 dưới dạng phân số \frac{2}{1}.
\frac{2}{1} + \frac{-1}{5}. Quy đồng mẫu số chung là 5.
\frac{2}{1} = \frac{2 \times 5}{1 \times 5} = \frac{10}{5}
Vậy, 2 + (-\frac{1}{5}) = \frac{10}{5} + \frac{-1}{5} = \frac{10-1}{5} = \frac{9}{5}. - \frac{-3}{4} - \frac{1}{3}: Quy đồng mẫu số chung là 12.
\frac{-3}{4} = \frac{-3 \times 3}{4 \times 3} = \frac{-9}{12}
\frac{1}{3} = \frac{1 \times 4}{3 \times 4} = \frac{4}{12}
Vậy, \frac{-3}{4} - \frac{1}{3} = \frac{-9}{12} - \frac{4}{12} = \frac{-9-4}{12} = \frac{-13}{12}.
- \frac{-1}{3} + \frac{1}{4}: Quy đồng mẫu số chung là 12.
-
Mẹo kiểm tra: Sau khi tính toán, em có thể ước lượng kết quả để xem có hợp lý không. Ví dụ, cộng hai phân số âm thì kết quả phải là một số âm có giá trị tuyệt đối lớn hơn.
-
Lỗi hay gặp: Nhầm lẫn dấu khi quy đồng mẫu số hoặc khi thực hiện phép trừ (ví dụ: trừ đi một số âm thành cộng).
2. Tìm x, biết:
- Đây là các bài toán tìm ẩn trong một biểu thức. Chúng ta sẽ sử dụng quy tắc cộng, trừ số hữu tỉ và chuyển vế để tìm $x$.
- Ví dụ: Tìm $x$, biết x - \frac{1}{2} = -\frac{2}{3}.
Để tìm $x$, ta chuyển -\frac{1}{2} sang vế phải, đổi dấu thành +\frac{1}{2}.
x = -\frac{2}{3} + \frac{1}{2}
Quy đồng mẫu số chung là 6.
-\frac{2}{3} = \frac{-2 \times 2}{3 \times 2} = \frac{-4}{6}
\frac{1}{2} = \frac{1 \times 3}{2 \times 3} = \frac{3}{6}
x = \frac{-4}{6} + \frac{3}{6} = \frac{-4+3}{6} = \frac{-1}{6}. - Mẹo kiểm tra: Thay giá trị $x$ vừa tìm được vào phương trình ban đầu để xem hai vế có bằng nhau không.
- Lỗi hay gặp: Sai lầm khi chuyển vế (không đổi dấu) hoặc sai sót trong quy đồng mẫu số và cộng, trừ phân số.
Bài tập 6 (Trang 10)
Tính: Các phép tính này tương tự như phần 1, nhưng có thể phức tạp hơn một chút với nhiều phân số âm hoặc phép trừ.
-
a) \frac{-7}{10} + \frac{2}{-3}
Đầu tiên, viết lại -\frac{2}{3} thành \frac{-2}{3}.
\frac{-7}{10} + \frac{-2}{3}. Quy đồng mẫu số chung là 30.
\frac{-7}{10} = \frac{-7 \times 3}{10 \times 3} = \frac{-21}{30}
\frac{-2}{3} = \frac{-2 \times 10}{3 \times 10} = \frac{-20}{30}
Vậy, \frac{-7}{10} + \frac{-2}{3} = \frac{-21}{30} + \frac{-20}{30} = \frac{-21 - 20}{30} = \frac{-41}{30}. -
b) -1,2 - \frac{-4}{5}
Đổi số thập phân sang phân số: -1,2 = \frac{-12}{10} = \frac{-6}{5}.
\frac{-6}{5} - \frac{-4}{5}. Khi trừ đi một số âm, ta cộng với số dương tương ứng.
\frac{-6}{5} + \frac{4}{5} = \frac{-6+4}{5} = \frac{-2}{5}. -
c) \frac{3}{20} - (-\frac{7}{10})
\frac{3}{20} + \frac{7}{10}. Quy đồng mẫu số chung là 20.
\frac{7}{10} = \frac{7 \times 2}{10 \times 2} = \frac{14}{20}
Vậy, \frac{3}{20} + \frac{14}{20} = \frac{3+14}{20} = \frac{17}{20}. -
d) -0,75 - \frac{-3}{4}
Đổi số thập phân sang phân số: -0,75 = \frac{-75}{100} = \frac{-3}{4}.
\frac{-3}{4} - \frac{-3}{4}.
\frac{-3}{4} + \frac{3}{4} = 0.
Bài tập 7 (Trang 10)
Ta có thể viết số hữu tỉ \frac{-5}{6} dưới các dạng sau đây:
a) \frac{-5}{6} là tổng của hai số hữu tỉ âm. Ví dụ: \frac{-5}{6} = \frac{-1}{6} + \frac{-4}{6} hoặc \frac{-5}{6} = \frac{-2}{6} + \frac{-3}{6}.
- Phân tích: Ta cần tìm hai số hữu tỉ âm $a, b$ sao cho a+b = \frac{-5}{6}. Ta có thể chọn hai phân số có cùng mẫu số với \frac{-5}{6} (ví dụ mẫu là 6) và có tổng hai tử số bằng -5. Các cặp tử số âm có tổng bằng -5 là: (-1, -4), (-2, -3), (-3, -2), (-4, -1). Từ đó ta có các ví dụ:
- \frac{-5}{6} = \frac{-1}{6} + \frac{-4}{6}
- \frac{-5}{6} = \frac{-2}{6} + \frac{-3}{6}
Ta cũng có thể sử dụng các phân số có mẫu số khác, sau khi quy đồng chúng về mẫu số 6. Ví dụ: \frac{-1}{2} = \frac{-3}{6}, \frac{-1}{3} = \frac{-2}{6}. Vậy \frac{-5}{6} = \frac{-1}{2} + \frac{-1}{3} = \frac{-3}{6} + \frac{-2}{6}.
b) \frac{-5}{6} là hiệu của hai số hữu tỉ dương. Ví dụ: \frac{-5}{6} = \frac{1}{6} - \frac{6}{6} hoặc \frac{-5}{6} = \frac{2}{6} - \frac{7}{6}.
- Phân tích: Ta cần tìm hai số hữu tỉ dương $x, y$ sao cho x - y = \frac{-5}{6}. Điều này tương đương với x = y + \frac{-5}{6}. Ta có thể chọn một số hữu tỉ dương $y$ bất kỳ, rồi tính x = y - \frac{5}{6}.
- Chọn y = \frac{1}{6}. Khi đó x = \frac{1}{6} - \frac{5}{6} = \frac{1-5}{6} = \frac{-4}{6}. Nhưng $x$ phải là số dương, nên cách chọn này không phù hợp.
- Ta cần $x > 0$ và $y > 0$. Ta có x - y = \frac{-5}{6}, suy ra y - x = \frac{5}{6}. Điều này có nghĩa là số hữu tỉ dương $y$ phải lớn hơn số hữu tỉ dương $x$ và hiệu của chúng là \frac{5}{6}.
- Chọn x = \frac{1}{6}. Ta cần y = x + \frac{5}{6} = \frac{1}{6} + \frac{5}{6} = \frac{6}{6} = 1. Vì 1 là số hữu tỉ dương, ta có ví dụ: \frac{-5}{6} = \frac{1}{6} - 1.
- Chọn x = \frac{2}{6} = \frac{1}{3}. Ta cần y = x + \frac{5}{6} = \frac{2}{6} + \frac{5}{6} = \frac{7}{6}. Cả $x$ và $y$ đều dương. Ví dụ: \frac{-5}{6} = \frac{2}{6} - \frac{7}{6}.
- Chọn x = \frac{3}{6} = \frac{1}{2}. Ta cần y = x + \frac{5}{6} = \frac{3}{6} + \frac{5}{6} = \frac{8}{6} = \frac{4}{3}. Cả $x$ và $y$ đều dương. Ví dụ: \frac{-5}{6} = \frac{1}{2} - \frac{4}{3}.
Bài tập 8 (Trang 10)
Tính: Các phép tính này bao gồm cả số nguyên và phân số, đòi hỏi việc thực hiện tuần tự các bước.
-
a) \frac{3}{4} - \frac{1}{4} + \frac{2}{7}
Thực hiện phép trừ trước: \frac{3}{4} - \frac{1}{4} = \frac{3-1}{4} = \frac{2}{4} = \frac{1}{2}.
Sau đó cộng với \frac{2}{7}: \frac{1}{2} + \frac{2}{7}.
Quy đồng mẫu số chung là 14.
\frac{1}{2} = \frac{1 \times 7}{2 \times 7} = \frac{7}{14}
\frac{2}{7} = \frac{2 \times 2}{7 \times 2} = \frac{4}{14}
Kết quả: \frac{7}{14} + \frac{4}{14} = \frac{7+4}{14} = \frac{11}{14}. -
b) \frac{-2}{3} + \frac{1}{5} - \frac{3}{10}
Quy đồng mẫu số chung là 30.
\frac{-2}{3} = \frac{-2 \times 10}{3 \times 10} = \frac{-20}{30}
\frac{1}{5} = \frac{1 \times 6}{5 \times 6} = \frac{6}{30}
\frac{3}{10} = \frac{3 \times 3}{10 \times 3} = \frac{9}{30}
Ta có: \frac{-20}{30} + \frac{6}{30} - \frac{9}{30} = \frac{-20 + 6 - 9}{30} = \frac{-14 - 9}{30} = \frac{-23}{30}. -
c) \frac{-5}{7} - \frac{2}{7} + \frac{1}{3}
Thực hiện phép trừ và cộng các phân số có cùng mẫu trước:
\frac{-5}{7} - \frac{2}{7} = \frac{-5-2}{7} = \frac{-7}{7} = -1.
Sau đó cộng với \frac{1}{3}: -1 + \frac{1}{3}.
Viết -1 dưới dạng phân số: \frac{-1}{1}.
Quy đồng mẫu số chung là 3.
\frac{-1}{1} = \frac{-1 \times 3}{1 \times 3} = \frac{-3}{3}.
Kết quả: \frac{-3}{3} + \frac{1}{3} = \frac{-3+1}{3} = \frac{-2}{3}. -
d) \frac{1}{5} - (-\frac{7}{10}) - \frac{1}{2}
Đổi dấu phép trừ với số âm: \frac{1}{5} + \frac{7}{10} - \frac{1}{2}.
Quy đồng mẫu số chung là 10.
\frac{1}{5} = \frac{1 \times 2}{5 \times 2} = \frac{2}{10}
\frac{1}{2} = \frac{1 \times 5}{2 \times 5} = \frac{5}{10}
Ta có: \frac{2}{10} + \frac{7}{10} - \frac{5}{10} = \frac{2 + 7 - 5}{10} = \frac{9 - 5}{10} = \frac{4}{10} = \frac{2}{5}.
Bài tập 9 (Trang 10)
Tìm $x$ biết: Đây là các bài toán tìm ẩn trong phương trình, sử dụng quy tắc chuyển vế.
-
a) x + \frac{3}{4} = \frac{5}{6}
Chuyển \frac{3}{4} sang vế phải, đổi dấu:
x = \frac{5}{6} - \frac{3}{4}
Quy đồng mẫu số chung là 12.
\frac{5}{6} = \frac{5 \times 2}{6 \times 2} = \frac{10}{12}
\frac{3}{4} = \frac{3 \times 3}{4 \times 3} = \frac{9}{12}
x = \frac{10}{12} - \frac{9}{12} = \frac{10-9}{12} = \frac{1}{12}. -
b) \frac{1}{3} - x = \frac{1}{7}
Để tìm $x$, ta chuyển $x$ sang vế phải và chuyển \frac{1}{7} sang vế trái.
\frac{1}{3} - \frac{1}{7} = x
Quy đồng mẫu số chung là 21.
\frac{1}{3} = \frac{1 \times 7}{3 \times 7} = \frac{7}{21}
\frac{1}{7} = \frac{1 \times 3}{7 \times 3} = \frac{3}{21}
x = \frac{7}{21} - \frac{3}{21} = \frac{7-3}{21} = \frac{4}{21}. -
c) \frac{-2}{9} - x = \frac{-5}{3}
Tương tự bài b, chuyển $x$ sang vế phải và \frac{-5}{3} sang vế trái.
\frac{-2}{9} - (\frac{-5}{3}) = x
\frac{-2}{9} + \frac{5}{3} = x
Quy đồng mẫu số chung là 9.
\frac{5}{3} = \frac{5 \times 3}{3 \times 3} = \frac{15}{9}
x = \frac{-2}{9} + \frac{15}{9} = \frac{-2+15}{9} = \frac{13}{9}. -
d) x - \frac{1}{2} = \frac{-1}{4}
Chuyển -\frac{1}{2} sang vế phải, đổi dấu:
x = \frac{-1}{4} + \frac{1}{2}
Quy đồng mẫu số chung là 4.
\frac{1}{2} = \frac{1 \times 2}{2 \times 2} = \frac{2}{4}
x = \frac{-1}{4} + \frac{2}{4} = \frac{-1+2}{4} = \frac{1}{4}.
Bài tập 10 (Trang 10)
Cho biểu thức A = (\frac{1}{2} - \frac{2}{3}) - (\frac{5}{6} - \frac{3}{4})
Hãy tính giá trị A theo hai cách.
Cách 1: Trước hết tính giá trị từng biểu thức trong ngoặc
-
Tính biểu thức thứ nhất: \frac{1}{2} - \frac{2}{3}
Quy đồng mẫu số chung là 6.
\frac{1}{2} = \frac{1 \times 3}{2 \times 3} = \frac{3}{6}
\frac{2}{3} = \frac{2 \times 2}{3 \times 2} = \frac{4}{6}
Vậy, \frac{1}{2} - \frac{2}{3} = \frac{3}{6} - \frac{4}{6} = \frac{3-4}{6} = \frac{-1}{6}. -
Tính biểu thức thứ hai: \frac{5}{6} - \frac{3}{4}
Quy đồng mẫu số chung là 12.
\frac{5}{6} = \frac{5 \times 2}{6 \times 2} = \frac{10}{12}
\frac{3}{4} = \frac{3 \times 3}{4 \times 3} = \frac{9}{12}
Vậy, \frac{5}{6} - \frac{3}{4} = \frac{10}{12} - \frac{9}{12} = \frac{10-9}{12} = \frac{1}{12}. -
Thực hiện phép trừ hai kết quả:
A = \frac{-1}{6} - \frac{1}{12}
Quy đồng mẫu số chung là 12.
\frac{-1}{6} = \frac{-1 \times 2}{6 \times 2} = \frac{-2}{12}
A = \frac{-2}{12} - \frac{1}{12} = \frac{-2-1}{12} = \frac{-3}{12}.
Rút gọn phân số: A = \frac{-1}{4}.
Cách 2: Bỏ dấu ngoặc rồi nhóm các số thích hợp
-
Bỏ dấu ngoặc:
A = (\frac{1}{2} - \frac{2}{3}) - (\frac{5}{6} - \frac{3}{4})
Khi bỏ dấu ngoặc đằng trước là dấu trừ, ta đổi dấu các số hạng bên trong.
A = \frac{1}{2} - \frac{2}{3} - \frac{5}{6} + \frac{3}{4} -
Nhóm các số hạng thích hợp. Ta có thể nhóm các phân số có cùng mẫu số hoặc mẫu số có thể quy đồng dễ dàng. Ở đây, các mẫu số là 2, 3, 6, 4. Mẫu số chung nhỏ nhất là 12.
Quy đồng tất cả các phân số về mẫu số 12:
\frac{1}{2} = \frac{1 \times 6}{2 \times 6} = \frac{6}{12}
\frac{2}{3} = \frac{2 \times 4}{3 \times 4} = \frac{8}{12}
\frac{5}{6} = \frac{5 \times 2}{6 \times 2} = \frac{10}{12}
\frac{3}{4} = \frac{3 \times 3}{4 \times 3} = \frac{9}{12} -
Thực hiện phép tính sau khi quy đồng:
A = \frac{6}{12} - \frac{8}{12} - \frac{10}{12} + \frac{9}{12}
A = \frac{6 - 8 - 10 + 9}{12}
A = \frac{-2 - 10 + 9}{12}
A = \frac{-12 + 9}{12}
A = \frac{-3}{12}.
Rút gọn phân số: A = \frac{-1}{4}.
Cả hai cách đều cho cùng một kết quả, chứng tỏ tính đúng đắn của phép tính và hiểu biết về các tính chất của phép cộng, trừ số hữu tỉ.
Đáp Án/Kết Quả
- Bài tập trả lời câu hỏi:
- Các phép tính được thực hiện bằng cách quy đồng mẫu số hoặc sử dụng quy tắc cộng, trừ phân số và số nguyên.
- Các giá trị của $x$ được tìm thấy bằng cách chuyển vế và thực hiện phép tính tương ứng.
- Bài tập 6: Kết quả các phép tính được đưa ra sau khi thực hiện quy đồng mẫu số và cộng/trừ các phân số.
- Bài tập 7: Số hữu tỉ \frac{-5}{6} có thể được biểu diễn dưới dạng tổng hai số hữu tỉ âm hoặc hiệu hai số hữu tỉ dương bằng cách tìm các cặp số thỏa mãn điều kiện.
- Bài tập 8: Các phép tính tổng hợp bao gồm cộng và trừ nhiều số hữu tỉ được thực hiện theo thứ tự ưu tiên hoặc quy đồng mẫu số chung.
- Bài tập 9: Giá trị của ẩn $x$ được xác định chính xác bằng các phép biến đổi đại số và thực hiện phép tính với số hữu tỉ.
- Bài tập 10: Giá trị của biểu thức A là \frac{-1}{4}, được tính theo hai cách khác nhau để kiểm tra sự nhất quán của kết quả.
Nắm vững cách giải toán lớp 7 bài 2 về cộng và trừ số hữu tỉ là nền tảng quan trọng cho các em học sinh. Bài viết đã cung cấp lời giải chi tiết cho từng bài tập, kèm theo phân tích phương pháp và kiến thức liên quan. Việc luyện tập thường xuyên các dạng bài tập này sẽ giúp các em tự tin hơn, làm chủ kiến thức và đạt kết quả cao trong học tập.
Ngày chỉnh sửa nội dung mới nhất Tháng 1 7, 2026 by Thầy Đông

Thầy Đông – Giảng viên Đại học Công nghiệp Hà Nội, giáo viên luyện thi THPT
Thầy Đông bắt đầu sự nghiệp tại một trường THPT ở quê nhà, sau đó trúng tuyển giảng viên Đại học Công nghiệp Hà Nội nhờ chuyên môn vững và kinh nghiệm giảng dạy thực tế. Với nhiều năm đồng hành cùng học sinh, thầy được biết đến bởi phong cách giảng dạy rõ ràng, dễ hiểu và gần gũi. Hiện thầy giảng dạy tại dehocsinhgioi, tiếp tục truyền cảm hứng học tập cho học sinh cấp 3 thông qua các bài giảng súc tích, thực tiễn và giàu nhiệt huyết.
