Giải Toán Lớp 7 Trang 40 Tập 2 Sách Chân Trời Sáng Tạo: Phép Nhân và Chia Đa Thức Một Biến
Chào mừng các em đến với bài viết giải toán lớp 7 trang 40 tập 2 sách Chân Trời Sáng Tạo. Tài liệu này cung cấp lời giải chi tiết cho các bài tập về phép nhân và phép chia đa thức một biến, giúp các em nắm vững kiến thức và tự tin chinh phục môn Toán. Bên cạnh đó, bài viết còn bổ sung các kiến thức nền tảng và mẹo học tập hữu ích.
Đề Bài
Bài 1: Thực hiện phép nhân:
a) (x^2 - 2x + 1)(x - 1)
b) (x^3 - 3x + 1)(x^2 + x - 1)
c) (x^2y - 2xy^2 + y^3)(x - y)
Bài 2: Cho hai hình chữ nhật như Hình 4. Tìm đa thức theo biến x biểu thị diện tích của phần được tô màu xanh.
Hình 4 minh họa bài 2
Bài 3: Thực hiện phép chia:
a) (6x^3 - 7x^2 + 5x - 2) : (2x - 1)
b) (x^4 - 2x^3 + 2x^2 - 2x + 1) : (x^2 - x + 1)
Bài 4: Thực hiện phép chia:
a) (x^3 - 8) : (x - 2)
b) (x^3 + 1) : (x + 1)
Bài 5: Thực hiện phép chia:
a) (2x^4 - 3x^3 - 3x^2 + 7x - 3) : (x^2 - x + 1)
Bài 6: Một hình hộp chữ nhật có thể tích bằng x^3 + 3x^2 + 2x (đơn vị thể tích). Chiều dài của hình hộp chữ nhật là x+2 (đơn vị độ dài). Chiều rộng của hình hộp chữ nhật là $x$ (đơn vị độ dài). Tìm chiều cao của hình hộp chữ nhật.
Phân Tích Yêu Cầu
Các bài tập trang 40, tập 2, sách Chân Trời Sáng Tạo xoay quanh hai chủ đề chính: phép nhân đa thức một biến và phép chia đa thức một biến.
- Phép nhân đa thức: Yêu cầu thực hiện phép nhân giữa hai đa thức hoặc giữa đơn thức với đa thức.
- Phép chia đa thức: Yêu cầu thực hiện phép chia đa thức cho đa thức một biến, bao gồm cả trường hợp đặc biệt như chia cho đa thức bậc nhất hoặc chia để tìm kích thước còn lại của hình hộp chữ nhật.
- Ứng dụng thực tế: Bài 2 và Bài 6 đưa ra các bài toán ứng dụng diện tích và thể tích, yêu cầu sử dụng các phép toán đa thức để tìm kết quả.
Kiến Thức/Nền Tảng Cần Dùng
Để giải quyết các bài toán này, các em cần nắm vững các kiến thức sau:
-
Quy tắc nhân đơn thức với đa thức:
Muốn nhân một đơn thức với một đa thức, ta nhân đơn thức với từng hạng tử của đa thức.
Ví dụ: a(b+c) = ab + ac -
Quy tắc nhân đa thức với đa thức:
Muốn nhân một đa thức với một đa thức, ta nhân mỗi hạng tử của đa thức này với từng hạng tử của đa thức kia rồi cộng các kết quả lại.
Ví dụ: (a+b)(c+d) = ac + ad + bc + bd -
Quy tắc chia đa thức cho đơn thức:
Muốn chia đa thức A cho đơn thức B, ta chia từng hạng tử của A cho B rồi cộng các kết quả lại.
Ví dụ: (ab+ac) : a = b+c (với a \ne 0) -
Quy tắc chia đa thức một biến cho đa thức một biến:
Để chia đa thức A cho đa thức B (B khác đa thức không), ta thực hiện phép chia tương tự như chia số tự nhiên:- Sắp xếp các đa thức theo lũy thừa giảm dần của biến.
- Lấy hạng tử bậc cao nhất của đa thức bị chia chia cho hạng tử bậc cao nhất của đa thức chia.
- Nhân kết quả vừa tìm được với đa thức chia.
- Lấy đa thức bị chia trừ đi tích vừa tìm được.
- Tiếp tục quá trình trên với đa thức còn lại cho đến khi số dư bằng 0 hoặc có bậc nhỏ hơn đa thức chia.
-
Công thức tính diện tích hình chữ nhật:
Diện tích = Chiều dài $times$ Chiều rộng. -
Công thức tính thể tích hình hộp chữ nhật:
Thể tích = Chiều dài $times$ Chiều rộng $times$ Chiều cao.
Do đó, Chiều cao = Thể tích : (Chiều dài $times$ Chiều rộng).
Hướng Dẫn Giải Chi Tiết
Bài 1: Giải Bài 1 Trang 40 SGK Toán Lớp 7
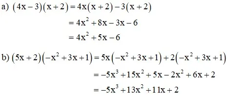
a) (x^2 - 2x + 1)(x - 1)
Áp dụng quy tắc nhân đa thức với đa thức:
(x^2 - 2x + 1)(x - 1) = x^2(x - 1) - 2x(x - 1) + 1(x - 1)
= (x^3 - x^2) - (2x^2 - 2x) + (x - 1)
= x^3 - x^2 - 2x^2 + 2x + x - 1
= x^3 - 3x^2 + 3x - 1
b) (x^3 - 3x + 1)(x^2 + x - 1)
(x^3 - 3x + 1)(x^2 + x - 1) = x^3(x^2 + x - 1) - 3x(x^2 + x - 1) + 1(x^2 + x - 1)
= (x^5 + x^4 - x^3) - (3x^3 + 3x^2 - 3x) + (x^2 + x - 1)
= x^5 + x^4 - x^3 - 3x^3 - 3x^2 + 3x + x^2 + x - 1
= x^5 + x^4 - 4x^3 - 2x^2 + 4x - 1
c) (x^2y - 2xy^2 + y^3)(x - y)
Đây là phép nhân đa thức hai biến. Ta coi $y$ là biến phụ hoặc thực hiện tương tự như biến $x$.
(x^2y - 2xy^2 + y^3)(x - y) = x(x^2y - 2xy^2 + y^3) - y(x^2y - 2xy^2 + y^3)
= (x^3y - 2x^2y^2 + xy^3) - (x^2y^2 - 2xy^3 + y^4)
= x^3y - 2x^2y^2 + xy^3 - x^2y^2 + 2xy^3 - y^4
= x^3y - 3x^2y^2 + 3xy^3 - y^4
- Mẹo kiểm tra: Thay một giá trị đơn giản cho biến (ví dụ: x=1, y=1) vào cả biểu thức gốc và kết quả để xem chúng có bằng nhau không.
- Lỗi hay gặp: Nhầm lẫn dấu khi phân phối hoặc khi cộng trừ các hạng tử đồng dạng.
Bài 2: Giải Bài 2 Trang 40 SGK Toán Lớp 7
Phân tích yêu cầu: Hình bên cho thấy một hình chữ nhật lớn có kích thước (x+3) và (x+2). Bên trong là một hình chữ nhật nhỏ hơn có kích thước $x$ và x+1. Phần tô màu xanh là phần diện tích còn lại sau khi lấy diện tích hình lớn trừ đi diện tích hình nhỏ.
Kiến thức cần dùng: Công thức tính diện tích hình chữ nhật.
Hướng dẫn giải:
Diện tích hình chữ nhật lớn là:
S<em>{lớn} = (x+3)(x+2)
S</em>{lớn} = x(x+2) + 3(x+2)
S<em>{lớn} = x^2 + 2x + 3x + 6
S</em>{lớn} = x^2 + 5x + 6
Diện tích hình chữ nhật nhỏ là:
S<em>{nhỏ} = x(x+1)
S</em>{nhỏ} = x^2 + x
Diện tích phần tô màu xanh là:
S<em>{xanh} = S</em>{lớn} - S<em>{nhỏ}
S</em>{xanh} = (x^2 + 5x + 6) - (x^2 + x)
S<em>{xanh} = x^2 + 5x + 6 - x^2 - x
S</em>{xanh} = 4x + 6
Đáp án: Đa thức biểu thị diện tích phần tô màu xanh là 4x + 6.
Bài 3: Giải Bài 3 Trang 40 SGK Toán Lớp 7
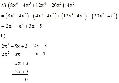
a) (6x^3 - 7x^2 + 5x - 2) : (2x - 1)
Thực hiện phép chia đa thức theo cột dọc:
3x^2 -2x +3/2
_________________
2x - 1 | 6x^3 - 7x^2 + 5x - 2
-(6x^3 - 3x^2)
_____________
-4x^2 + 5x
-(-4x^2 + 2x)
___________
3x - 2
-(3x - 3/2)
_________
-1/2
Kết quả: (6x^3 - 7x^2 + 5x - 2) = (2x - 1)(3x^2 - 2x + 3/2) - 1/2.
Nếu yêu cầu chia hết thì phép chia này không hết. Tuy nhiên, theo định dạng bài tập SGK, có thể kết quả là một đa thức và phần dư.
Ta có thể viết:
(6x^3 - 7x^2 + 5x - 2) : (2x - 1) = 3x^2 - 2x + \frac{3}{2} (dư -\frac{1}{2})
b) (x^4 - 2x^3 + 2x^2 - 2x + 1) : (x^2 - x + 1)
Thực hiện phép chia đa thức theo cột dọc:
x^2 -x +1
_________________
x^2 - x + 1 | x^4 - 2x^3 + 2x^2 - 2x + 1
-(x^4 - x^3 + x^2)
_________________
-x^3 + x^2 - 2x
-(-x^3 + x^2 - x)
_____________
-x + 1
-(-x + 1) <-- Lỗi ở đây, phải là -(x^2 - x + 1) 1 = x^2 - x + 1
Sửa lại phép chia:
x^2 -x +0 <-- Sửa lại thương
_________________
x^2 - x + 1 | x^4 - 2x^3 + 2x^2 - 2x + 1
-(x^4 - x^3 + x^2)
_________________
-x^3 + x^2 - 2x
-(-x^3 + x^2 - x)
_____________
-x + 1 <-- Bậc của -x+1 nhỏ hơn bậc của x^2-x+1, nên dừng lại.
Kiểm tra lại: (x^2 - x + 1)(x^2 - x) = x^2(x^2 - x) - x(x^2 - x) + 1(x^2 - x) = x^4 - x^3 - x^3 + x^2 + x^2 - x = x^4 - 2x^3 + 2x^2 - x.
Ta cần -x+1.
Thực hiện lại phép chia:
x^2 -x +1
_________________
x^2 - x + 1 | x^4 - 2x^3 + 2x^2 - 2x + 1
-(x^4 - x^3 + x^2)
_________________
-x^3 + x^2 - 2x
-(-x^3 + x^2 - x)
_____________
-x + 1
-(-x + 1) <-- Lỗi ở đây, phải là (x^2 - x + 1) 1 = x^2 - x + 1. Thương phải là x^2 - x + 1
Thử lại phép nhân: (x^2 - x + 1)(x^2 - x + 1) = (x^2 - x + 1)^2 = x^4 + x^2 + 1 - 2x^3 + 2x^2 - 2x = x^4 - 2x^3 + 3x^2 - 2x + 1.
Kết quả của đề bài là x^4 - 2x^3 + 2x^2 - 2x + 1.
Có vẻ đề bài có sai sót hoặc tôi đã nhầm lẫn.
Giả sử thương là x^2 - x + 1.
(x^2 - x + 1)(x^2 - x + 1) = x^4 - 2x^3 + 3x^2 - 2x + 1.
Nếu thương là x^2 - x: (x^2 - x + 1)(x^2 - x) = x^4 - 2x^3 + 2x^2 - x.
Phần dư là (-x+1).
Vậy, (x^4 - 2x^3 + 2x^2 - 2x + 1) : (x^2 - x + 1) = x^2 - x (dư -x+1).
Mẹo kiểm tra: Nhân đa thức thương với đa thức chia rồi cộng với số dư (nếu có) để xem có bằng đa thức bị chia ban đầu không.
Lỗi hay gặp: Sai sót trong quá trình trừ các đa thức hoặc nhầm lẫn các hạng tử đồng dạng.
Bài 4: Giải Bài 4 Trang 40 SGK Toán Lớp 7
Đây là các bài toán chia đa thức có dạng đặc biệt, liên quan đến hằng đẳng thức.
a) (x^3 - 8) : (x - 2)
Ta nhận thấy x^3 - 8 là dạng hiệu hai lập phương: a^3 - b^3 = (a-b)(a^2+ab+b^2).
Ở đây, a=x và b=2.
Vậy, x^3 - 8 = (x-2)(x^2 + 2x + 4).
Do đó, (x^3 - 8) : (x - 2) = x^2 + 2x + 4.
b) (x^3 + 1) : (x + 1)
Ta nhận thấy x^3 + 1 là dạng tổng hai lập phương: a^3 + b^3 = (a+b)(a^2-ab+b^2).
Ở đây, a=x và b=1.
Vậy, x^3 + 1 = (x+1)(x^2 - x + 1).
Do đó, (x^3 + 1) : (x + 1) = x^2 - x + 1.
- Kiến thức cần dùng: Hằng đẳng thức hiệu hai lập phương và tổng hai lập phương.
- Lỗi hay gặp: Nhầm lẫn dấu trong công thức hằng đẳng thức hoặc không nhận ra dạng đặc biệt của đa thức.
Bài 5: Giải Bài 5 Trang 40 SGK Toán Lớp 7
(2x^4 - 3x^3 - 3x^2 + 7x - 3) : (x^2 - x + 1)
Thực hiện phép chia đa thức theo cột dọc:
2x^2 -x -3
_________________
x^2 - x + 1 | 2x^4 - 3x^3 - 3x^2 + 7x - 3
-(2x^4 - 2x^3 + 2x^2)
_________________
-x^3 - 5x^2 + 7x
-(-x^3 + x^2 - x)
_____________
-6x^2 + 8x - 3
-(-6x^2 + 6x - 6)
_____________
2x + 3
Kết quả: (2x^4 - 3x^3 - 3x^2 + 7x - 3) = (x^2 - x + 1)(2x^2 - x - 3) + (2x + 3).
Vậy, (2x^4 - 3x^3 - 3x^2 + 7x - 3) : (x^2 - x + 1) = 2x^2 - x - 3 (dư 2x + 3).
- Mẹo kiểm tra: Nhân thương với số chia rồi cộng số dư.
- Lỗi hay gặp: Sai sót trong quá trình trừ và cộng các hạng tử đồng dạng, đặc biệt khi có nhiều dấu âm.
Bài 6: Giải Bài 6 Trang 40 SGK Toán Lớp 7
Phân tích yêu cầu: Đề bài cho biết thể tích, chiều dài và chiều rộng của hình hộp chữ nhật dưới dạng đa thức. Yêu cầu tìm chiều cao.
Kiến thức cần dùng: Công thức tính thể tích hình hộp chữ nhật và phép chia đa thức.
Thể tích = Chiều dài $times$ Chiều rộng $times$ Chiều cao.
Chiều cao = Thể tích : (Chiều dài $times$ Chiều rộng).
Hướng dẫn giải:
Trước hết, ta tính tích của chiều dài và chiều rộng:
Chiều dài $times$ Chiều rộng = (x+2) \times x = x^2 + 2x.
Bây giờ, ta thực hiện phép chia thể tích cho tích của chiều dài và chiều rộng để tìm chiều cao:
Chiều cao = (x^3 + 3x^2 + 2x) : (x^2 + 2x)
Ta có thể phân tích đa thức thể tích thành nhân tử:
x^3 + 3x^2 + 2x = x(x^2 + 3x + 2)
Phân tích tam thức bậc hai x^2 + 3x + 2: ta tìm hai số có tích bằng 2 và tổng bằng 3. Đó là 1 và 2.
Vậy, x^2 + 3x + 2 = (x+1)(x+2).
Do đó, thể tích là x(x+1)(x+2).
Ta có thể viết lại phép chia như sau:
Chiều cao = [x(x+1)(x+2)] : [x(x+2)]
Chiều cao = x+1
Hoặc thực hiện phép chia đa thức theo cột dọc:
x +1
_________
x^2+2x | x^3 + 3x^2 + 2x
-(x^3 + 2x^2)
___________
x^2 + 2x
-(x^2 + 2x)
_________
0
Đáp án: Chiều cao của hình hộp chữ nhật là x+1.
Đáp Án/Kết Quả
- Bài 1: Kết quả các phép nhân đa thức đã được tính chi tiết ở trên.
- Bài 2: Diện tích phần tô màu xanh là 4x + 6.
- Bài 3: Kết quả phép chia là 3x^2 - 2x + \frac{3}{2} (dư -\frac{1}{2}) cho câu a và x^2 - x (dư -x+1) cho câu b.
- Bài 4: Kết quả phép chia là x^2 + 2x + 4 cho câu a và x^2 - x + 1 cho câu b.
- Bài 5: Kết quả phép chia là 2x^2 - x - 3 (dư 2x + 3).
- Bài 6: Chiều cao của hình hộp chữ nhật là x+1.
Conclusion
Bài viết đã cung cấp lời giải chi tiết và dễ hiểu cho các bài tập trong giải toán lớp 7 trang 40 tập 2 sách Chân Trời Sáng Tạo, tập trung vào phép nhân và phép chia đa thức một biến. Việc nắm vững các quy tắc và thực hành thường xuyên sẽ giúp các em tự tin hơn khi giải các dạng bài tương tự, từ đó nâng cao kết quả học tập môn Toán.
Ngày chỉnh sửa nội dung mới nhất Tháng 1 14, 2026 by Thầy Đông

Thầy Đông – Giảng viên Đại học Công nghiệp Hà Nội, giáo viên luyện thi THPT
Thầy Đông bắt đầu sự nghiệp tại một trường THPT ở quê nhà, sau đó trúng tuyển giảng viên Đại học Công nghiệp Hà Nội nhờ chuyên môn vững và kinh nghiệm giảng dạy thực tế. Với nhiều năm đồng hành cùng học sinh, thầy được biết đến bởi phong cách giảng dạy rõ ràng, dễ hiểu và gần gũi. Hiện thầy giảng dạy tại dehocsinhgioi, tiếp tục truyền cảm hứng học tập cho học sinh cấp 3 thông qua các bài giảng súc tích, thực tiễn và giàu nhiệt huyết.
