Giải Toán Lớp 7 Trang 22: Luyện Tập Các Dạng Bài Tập Cơ Bản

Chào mừng bạn đến với bài viết chi tiết về giải toán lớp 7 trang 22, nơi chúng ta sẽ cùng nhau khám phá và chinh phục các bài tập quan trọng trong chương trình học. Bài viết này tập trung vào việc cung cấp lời giải rõ ràng, dễ hiểu, cùng với những phân tích sâu sắc về phương pháp giải và kiến thức nền tảng. Chúng tôi sẽ đi sâu vào từng bài tập, từ đó giúp bạn nắm vững các khái niệm về lũy thừa, tỉ lệ thức và các phép toán liên quan. Bên cạnh đó, bài viết còn cung cấp các mẹo kiểm tra và lỗi sai thường gặp để tối ưu hóa quá trình học tập.

Đề Bài
Bài 38 trang 22 sgk Toán lớp 7 Tập 1:
a) Viết các số 2^{27} và 3^{18} dưới dạng các lũy thừa có số mũ là 9.
b) Trong hai số 2^{27} và 3^{18}, số nào lớn hơn.
Bài 39 trang 23 sgk Toán lớp 7 Tập 1: Cho x in mathbb{Q} và x \ne 0. Viết x^{10} dưới dạng:
a) Tích của hai lũy thừa trong đó có một thừa số là x^7.
b) Lũy thừa của x^2.
c) Thương của hai lũy thừa trong đó số bị chia là x^{12}.
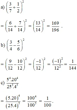
Bài 40 trang 23 sgk Toán lớp 7 Tập 1: Tính
[image]https://vietjack.com/giai-bai-tap-toan-7/images/bai-40-trang-23-sgk-toan-7-tap-1-5.PNG[/image]
[image]https://vietjack.com/giai-bai-tap-toan-7/images/bai-40-trang-23-sgk-toan-7-tap-1-8.PNG[/image]
[image]https://vietjack.com/giai-bai-tap-toan-7/images/bai-40-trang-23-sgk-toan-7-tap-1-7.PNG[/image]
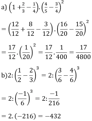
Bài 41 trang 23 sgk Toán lớp 7 Tập 1: Tính
[image]https://vietjack.com/giai-bai-tap-toan-7/images/bai-41-trang-23-sgk-toan-7-tap-1.PNG[/image]
[image]https://vietjack.com/giai-bai-tap-toan-7/images/bai-41-trang-23-sgk-toan-7-2-tap-1.PNG[/image]
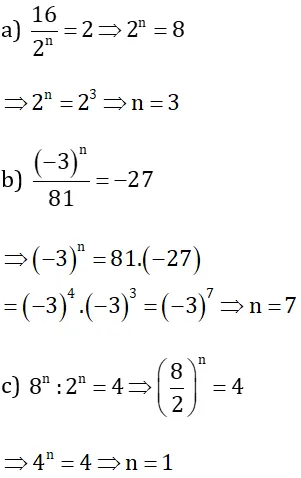
Bài 42 trang 23 sgk Toán lớp 7 Tập 1: Tìm số tự nhiên n, biết :
[image]https://vietjack.com/giai-bai-tap-toan-7/images/bai-42-trang-23-sgk-toan-7-tap-1-1.PNG[/image]
[image]https://vietjack.com/giai-bai-tap-toan-7/images/bai-42-trang-23-sgk-toan-7-2-tap-1.PNG[/image]
Bài 43 trang 23 sgk Toán lớp 7 Tập 1: Đố: Biết rằng 1^2 + 2^2 + 3^2 + \ldots + 10^2 = 385, đố em tính nhanh được tổng:
S = 2^2 + 4^2 + 6^2 + \ldots + 20^2
Phân Tích Yêu Cầu
Các bài tập trang 22 và 23 sách giáo khoa Toán lớp 7 chủ yếu xoay quanh chủ đề lũy thừa với số mũ tự nhiên và các tính chất của nó. Cụ thể, chúng ta cần:
- Biểu diễn lũy thừa: Chuyển đổi các lũy thừa về dạng có cơ số hoặc số mũ khác nhau dựa trên quy tắc (a^m)^n = a^{m \times n} và a^m \times a^n = a^{m+n}, a^m : a^n = a^{m-n}.
- So sánh lũy thừa: Sử dụng phép biến đổi ở trên để đưa các lũy thừa về cùng cơ số hoặc cùng số mũ, từ đó so sánh chúng.
- Phân tích và tổng hợp lũy thừa: Áp dụng các quy tắc lũy thừa để biểu diễn một lũy thừa dưới dạng tích, thương hoặc lũy thừa của một lũy thừa khác.
- Tính toán tổng có quy luật: Nhận dạng quy luật trong một dãy tổng và sử dụng các tính chất của lũy thừa để tính nhanh giá trị của tổng đó.
- Tìm số mũ chưa biết: Sử dụng tính chất a^m = a^n implies m=n (với a \ne 0, a \ne 1, a \ne -1) để tìm giá trị của biến số mũ.
Các bài toán này đòi hỏi sự hiểu biết vững chắc về các quy tắc cơ bản của lũy thừa và khả năng áp dụng linh hoạt chúng vào các tình huống khác nhau.
Kiến Thức/Nền Tảng Cần Dùng
Để giải quyết các bài tập này, chúng ta cần nắm vững các kiến thức sau về lũy thừa:
- Định nghĩa lũy thừa: Lũy thừa a^n là tích của n thừa số a (n là số tự nhiên khác 0). a được gọi là cơ số, n được gọi là số mũ.
- Quy tắc nhân hai lũy thừa cùng cơ số: Khi nhân hai lũy thừa cùng cơ số, ta giữ nguyên cơ số và cộng các số mũ.
a^m \times a^n = a^{m+n} - Quy tắc chia hai lũy thừa cùng cơ số: Khi chia hai lũy thừa cùng cơ số (a \ne 0), ta giữ nguyên cơ số và trừ các số mũ.
a^m : a^n = a^{m-n} (với m \ge n) - Quy tắc lũy thừa của lũy thừa: Khi nâng một lũy thừa lên lũy thừa bậc khác, ta giữ nguyên cơ số và nhân hai số mũ.
katex^n = a^{m times n}[/katex] - Quy tắc lũy thừa của một tích/thương:
(a \times b)^n = a^n \times b^n
(a : b)^n = a^n : b^n (với b \ne 0) - So sánh hai lũy thừa:
- Nếu a > 1, thì a^m > a^n khi m > n.
- Nếu 0 < a < 1[/katex], thì [katex]a^m < a^n[/katex] khi [katex]m > n.
- Để so sánh hai số a^m và b^n, ta thường đưa chúng về cùng cơ số hoặc cùng số mũ.
Hướng Dẫn Giải Chi Tiết
Bài 38 trang 22 sgk Toán lớp 7 Tập 1:
Phân tích: Bài toán yêu cầu viết lại hai số dưới dạng lũy thừa có cùng số mũ là 9, sau đó so sánh chúng.
a) Viết các số dưới dạng lũy thừa có số mũ là 9:
-
Đối với số 2^{27}: Ta cần tìm một số a sao cho 2^{27} = a^9. Áp dụng quy tắc lũy thừa của lũy thừa, ta có 2^{27} = 2^{3 \times 9} = (2^3)^9.
Ta tính 2^3 = 2 \times 2 \times 2 = 8.
Vậy, 2^{27} = 8^9. -
Đối với số 3^{18}: Ta cần tìm một số b sao cho 3^{18} = b^9. Áp dụng quy tắc lũy thừa của lũy thừa, ta có 3^{18} = 3^{2 \times 9} = (3^2)^9.
Ta tính 3^2 = 3 \times 3 = 9.
Vậy, 3^{18} = 9^9.
b) So sánh hai số 2^{27} và 3^{18}:
Sau khi biến đổi ở câu a), ta có 2^{27} = 8^9 và 3^{18} = 9^9.
Bây giờ, chúng ta cần so sánh hai lũy thừa có cùng số mũ là 9.
Vì 8 < 9[/katex] và cơ số đều dương, nên [katex]8^9 < 9^9[/katex].
Do đó, [katex]2^{27} < 3^{18}[/katex].</p>
<p><strong>Mẹo kiểm tra:</strong>
Luôn kiểm tra lại phép tính [katex]2^3 và 3^2. Đảm bảo rằng số mũ được phân tích đúng (ví dụ: 27 = 3 \times 9, 18 = 2 \times 9).
Lỗi hay gặp:
Nhầm lẫn quy tắc lũy thừa của lũy thừa ((a^m)^n = a^{m \times n}) với quy tắc nhân hai lũy thừa cùng cơ số (a^m \times a^n = a^{m+n}).
Bài 39 trang 23 sgk Toán lớp 7 Tập 1:
Phân tích: Bài toán yêu cầu biểu diễn lũy thừa x^{10} dưới ba dạng khác nhau, sử dụng các quy tắc nhân, chia và lũy thừa của lũy thừa. Lưu ý rằng x \ne 0.
a) Tích của hai lũy thừa có một thừa số là x^7:
Ta cần tìm y sao cho x^{10} = y \times x^7.
Áp dụng quy tắc nhân hai lũy thừa cùng cơ số (a^m \times a^n = a^{m+n}), ta có:
x^{10} = x^{3+7} = x^3 \times x^7.
Vậy, ta có thể viết x^{10} = x^3 \cdot x^7.
b) Lũy thừa của x^2:
Ta cần tìm số mũ n sao cho x^{10} = (x^2)^n.
Áp dụng quy tắc lũy thừa của lũy thừa (katex^n = a^{m times n}[/katex]), ta có:
x^{10} = (x^2)^5 vì 2 \times 5 = 10.
Vậy, ta có thể viết x^{10} = (x^2)^5.
c) Thương của hai lũy thừa có số bị chia là x^{12}:
Ta cần tìm z sao cho x^{10} = x^{12} : z.
Áp dụng quy tắc chia hai lũy thừa cùng cơ số (a^m : a^n = a^{m-n}), ta có:
x^{10} = x^{12-2} = x^{12} : x^2.
Vậy, ta có thể viết x^{10} = x^{12} : x^2.
Mẹo kiểm tra:
Sau khi tìm được biểu thức, hãy áp dụng ngược lại các quy tắc lũy thừa để xem có quay về x^{10} hay không. Ví dụ, với câu a), kiểm tra x^3 \times x^7 = x^{3+7} = x^{10}.
Lỗi hay gặp:
Nhầm lẫn giữa quy tắc nhân và chia, hoặc áp dụng sai quy tắc lũy thừa của lũy thừa.
Bài 40 trang 23 sgk Toán lớp 7 Tập 1:
Phân tích: Bài toán yêu cầu tính giá trị của các biểu thức chứa lũy thừa. Chúng ta cần áp dụng các quy tắc tính toán và thứ tự thực hiện phép tính.
Lời giải:
Ta có các biểu thức cần tính:
-
3 \cdot 5^2
Thực hiện phép tính lũy thừa trước: 5^2 = 25.
Sau đó thực hiện phép nhân: 3 \times 25 = 75.
Vậy, 3 \cdot 5^2 = 75. -
2^3 \cdot 7
Thực hiện phép tính lũy thừa trước: 2^3 = 8.
Sau đó thực hiện phép nhân: 8 \times 7 = 56.
Vậy, 2^3 \cdot 7 = 56. -
10^2 : 5
Thực hiện phép tính lũy thừa trước: 10^2 = 100.
Sau đó thực hiện phép chia: 100 : 5 = 20.
Vậy, 10^2 : 5 = 20. -
4^3 : 2^2
Ta có thể tính từng lũy thừa rồi chia:
4^3 = 4 \times 4 \times 4 = 64.
2^2 = 4.
Thực hiện phép chia: 64 : 4 = 16.
Hoặc, ta có thể đưa về cùng cơ số 2:
4^3 = (2^2)^3 = 2^{2 \times 3} = 2^6.
Khi đó, 4^3 : 2^2 = 2^6 : 2^2 = 2^{6-2} = 2^4.
Tính 2^4 = 16.
Vậy, 4^3 : 2^2 = 16.
Mẹo kiểm tra:
Đối với các phép tính có nhiều bước, hãy kiểm tra lại thứ tự thực hiện phép tính: Lũy thừa, Nhân/Chia, Cộng/Trừ. Đối với các bài toán có thể đưa về cùng cơ số, hãy thử cả hai cách để đảm bảo kết quả là nhất quán.
Lỗi hay gặp:
Nhầm lẫn thứ tự thực hiện phép tính, ví dụ tính 3 \times 5 trước rồi mới bình phương.
Bài 41 trang 23 sgk Toán lớp 7 Tập 1:
Phân tích: Bài toán yêu cầu tính giá trị của các biểu thức phức tạp hơn, bao gồm cả các phép toán cộng, trừ, nhân, chia và lũy thừa.
Lời giải:
Ta có các biểu thức cần tính:
-
3^4 - 3^3
Tính các lũy thừa: 3^4 = 81, 3^3 = 27.
Thực hiện phép trừ: 81 - 27 = 54.
Vậy, 3^4 - 3^3 = 54.
Cách khác: Đặt thừa số chung 3^3:
3^4 - 3^3 = 3^3 \cdot 3^1 - 3^3 \cdot 1 = 3^3 (3 - 1) = 27 \times 2 = 54. -
katex^3 + 2^3[/katex]
Tính các lũy thừa:
katex^3 = (-2) times (-2) times (-2) = -8[/katex].
2^3 = 2 \times 2 \times 2 = 8.
Thực hiện phép cộng: -8 + 8 = 0.
Vậy, katex^3 + 2^3 = 0[/katex]. -
3^2 \cdot 5^3 + 3^2 \cdot 5^2
Ta có thể đặt thừa số chung 3^2 \cdot 5^2 ra ngoài:
3^2 \cdot 5^3 + 3^2 \cdot 5^2 = 3^2 \cdot 5^2 \cdot (5^1 + 1)
= (3 \cdot 5)^2 \cdot (5 + 1)
= 15^2 \cdot 6
= 225 \cdot 6
= 1350.
Cách khác: Tính trực tiếp:
3^2 = 9, 5^3 = 125, 5^2 = 25.
9 \times 125 + 9 \times 25 = 1125 + 225 = 1350.
Vậy, 3^2 \cdot 5^3 + 3^2 \cdot 5^2 = 1350. -
7^3 : 7^2 + 2^3
Thực hiện phép chia lũy thừa trước: 7^3 : 7^2 = 7^{3-2} = 7^1 = 7.
Thực hiện phép tính lũy thừa thứ hai: 2^3 = 8.
Thực hiện phép cộng: 7 + 8 = 15.
Vậy, 7^3 : 7^2 + 2^3 = 15.
Mẹo kiểm tra:
Khi gặp các biểu thức có nhiều phép toán, hãy cẩn thận với dấu ngoặc và thứ tự ưu tiên. Việc đặt thừa số chung có thể giúp đơn giản hóa bài toán đáng kể.
Lỗi hay gặp:
Nhầm lẫn khi tính lũy thừa của số âm, hoặc áp dụng sai thứ tự phép tính.
Bài 42 trang 23 sgk Toán lớp 7 Tập 1:
Phân tích: Bài toán yêu cầu tìm số tự nhiên n thỏa mãn một phương trình liên quan đến lũy thừa. Chúng ta cần sử dụng tính chất a^m = a^n implies m=n (với a \ne 0, 1, -1).
Lời giải:
Ta có phương trình: 2^n = 4^{20}.
Để tìm n, ta cần đưa hai vế của phương trình về cùng cơ số. Cơ số chung ở đây là 2.
Ta biết rằng 4 = 2^2.
Thay 4 bằng 2^2 vào phương trình:
2^n = (2^2)^{20}.
Áp dụng quy tắc lũy thừa của lũy thừa (katex^n = a^{m times n}[/katex]):
katex^{20} = 2^{2 times 20} = 2^{40}[/katex].
Vậy, phương trình trở thành:
2^n = 2^{40}.
Do hai lũy thừa có cùng cơ số (2 \ne 0, 1, -1), ta có thể cho các số mũ bằng nhau:
n = 40.
Số n=40 là một số tự nhiên.
Mẹo kiểm tra:
Thay giá trị n=40 vào phương trình ban đầu: 2^{40} và 4^{20} = (2^2)^{20} = 2^{40}. Hai vế bằng nhau, vậy kết quả đúng.
Lỗi hay gặp:
Nhầm lẫn khi chuyển đổi cơ số, ví dụ 4 = 2^2 nhưng lại viết 4 = 2^4 hoặc sai khi nhân số mũ.
Bài 43 trang 23 sgk Toán lớp 7 Tập 1:
Phân tích: Đây là một bài toán “đố” yêu cầu tính nhanh một tổng dựa trên một thông tin đã cho. Chúng ta cần nhận ra mối liên hệ giữa tổng cần tính và tổng đã cho, sau đó sử dụng các quy tắc lũy thừa để biến đổi.
Lời giải:
Cho biết: 1^2 + 2^2 + 3^2 + \ldots + 10^2 = 385.
Cần tính tổng: S = 2^2 + 4^2 + 6^2 + \ldots + 20^2.
Quan sát tổng S, ta thấy mỗi số hạng đều là bình phương của một số chẵn. Ta có thể viết lại các số chẵn này dưới dạng 2 \times k:
2 = 2 \times 1
4 = 2 \times 2
6 = 2 \times 3
…
20 = 2 \times 10
Áp dụng vào tổng S:
S = (2 \times 1)^2 + (2 \times 2)^2 + (2 \times 3)^2 + \ldots + (2 \times 10)^2.
Sử dụng quy tắc lũy thừa của một tích ((a \times b)^n = a^n \times b^n):
S = 2^2 \times 1^2 + 2^2 \times 2^2 + 2^2 \times 3^2 + \ldots + 2^2 \times 10^2.
Ta thấy 2^2 là thừa số chung trong tất cả các số hạng. Đặt 2^2 ra ngoài dấu ngoặc:
S = 2^2 \times (1^2 + 2^2 + 3^2 + \ldots + 10^2).
Bây giờ, ta thay giá trị của tổng trong ngoặc đã cho vào biểu thức:
1^2 + 2^2 + 3^2 + \ldots + 10^2 = 385.
Và 2^2 = 4.
Vậy, S = 4 \times 385.
Thực hiện phép nhân: 4 \times 385 = 1540.
Do đó, S = 1540.
Mẹo kiểm tra:
Kiểm tra lại việc áp dụng quy tắc lũy thừa của tích. Đảm bảo rằng bạn đã nhận dạng đúng quy luật của các số hạng trong tổng.
Lỗi hay gặp:
Không nhận ra mối liên hệ giữa các số hạng trong tổng S với tổng đã cho, hoặc áp dụng sai quy tắc lũy thừa.
Đáp Án/Kết Quả
Dưới đây là tóm tắt kết quả cho từng bài tập:
- Bài 38:
a) 2^{27} = 8^9; 3^{18} = 9^9.
b) 2^{27} < 3^{18}[/katex].</li> <li><strong>Bài 39:</strong> a) [katex]x^{10} = x^3 \cdot x^7.
b) x^{10} = (x^2)^5.
c) x^{10} = x^{12} : x^2. - Bài 40:
3 \cdot 5^2 = 75.
2^3 \cdot 7 = 56.
10^2 : 5 = 20.
4^3 : 2^2 = 16. - Bài 41:
3^4 - 3^3 = 54.
katex^3 + 2^3 = 0[/katex].
3^2 \cdot 5^3 + 3^2 \cdot 5^2 = 1350.
7^3 : 7^2 + 2^3 = 15. - Bài 42: n = 40.
- Bài 43: S = 1540.
Hy vọng rằng những lời giải chi tiết và phân tích trên đây sẽ giúp bạn nắm vững kiến thức về lũy thừa và tự tin hơn khi giải các bài tập tương tự. Việc luyện tập thường xuyên với các dạng bài tập giải toán lớp 7 trang 22 và các trang lân cận sẽ củng cố kỹ năng và nâng cao hiệu quả học tập của bạn.
Ngày chỉnh sửa nội dung mới nhất Tháng 1 14, 2026 by Thầy Đông

Thầy Đông – Giảng viên Đại học Công nghiệp Hà Nội, giáo viên luyện thi THPT
Thầy Đông bắt đầu sự nghiệp tại một trường THPT ở quê nhà, sau đó trúng tuyển giảng viên Đại học Công nghiệp Hà Nội nhờ chuyên môn vững và kinh nghiệm giảng dạy thực tế. Với nhiều năm đồng hành cùng học sinh, thầy được biết đến bởi phong cách giảng dạy rõ ràng, dễ hiểu và gần gũi. Hiện thầy giảng dạy tại dehocsinhgioi, tiếp tục truyền cảm hứng học tập cho học sinh cấp 3 thông qua các bài giảng súc tích, thực tiễn và giàu nhiệt huyết.
