Lời Giải Đề Thi Toán Vòng 2 Lớp 10 THPT Chuyên Khoa Học Tự Nhiên (HSGS) 2025

Ngày 1 tháng 6 năm 2025, khoảng 1.500 học sinh đã hoàn thành bài thi môn Toán vòng 2 để xét tuyển vào các lớp chuyên Toán và chuyên Tin thuộc trường THPT Chuyên Khoa học Tự nhiên (HSGS), Đại học Khoa học Tự nhiên, Đại học Quốc gia Hà Nội. Bài thi vòng 2 này là một bước quan trọng trong quá trình tuyển sinh đầy cạnh tranh. Dưới đây là phần lời giải đề thi Toán vòng 2 lớp 10 chi tiết, được tổng hợp bởi đội ngũ giáo viên và sinh viên tâm huyết, giúp các em học sinh và quý phụ huynh có cái nhìn rõ ràng về đáp án cũng như phương pháp giải.

Đề Bài
Bài I:
Bài II:
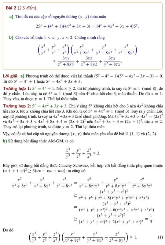
Bài III:
Bài IV:

Phân Tích Yêu Cầu
Bài thi gồm 4 bài, bao quát nhiều mảng kiến thức quan trọng của chương trình Toán lớp 10 và nâng cao. Các bài toán đòi hỏi sự hiểu biết sâu sắc về đại số, hình học, và kỹ năng tư duy logic, biến đổi biểu thức. Cụ thể:
- Bài I: Thường tập trung vào Đại số hoặc Số học, yêu cầu biến đổi biểu thức, chứng minh đẳng thức hoặc bất đẳng thức, giải phương trình/hệ phương trình.
- Bài II: Khả năng cao là một bài toán về Hình học phẳng hoặc Hình học không gian, yêu cầu chứng minh tính chất, tính toán độ dài, diện tích, thể tích, hoặc xác định vị trí tương đối của các đối tượng.
- Bài III: Có thể là một bài toán liên quan đến Bất đẳng thức, Cực trị, hoặc Lý thuyết số, đòi hỏi kỹ năng đánh giá, cô lập biến và sử dụng các bất đẳng thức quen thuộc.
- Bài IV: Thường là bài toán mở, có tính phân loại cao, yêu cầu sáng tạo trong cách tiếp cận, áp dụng linh hoạt các kiến thức đã học hoặc tìm tòi lời giải mới.
Việc nắm vững các dạng toán này và rèn luyện phương pháp giải là chìa khóa để đạt điểm cao trong kỳ thi.
Kiến Thức/Nền Tảng Cần Dùng
Để giải quyết các bài toán trong đề thi, học sinh cần nắm vững các kiến thức nền tảng sau:
Đại số và Số học
- Biến đổi căn thức, phân số, biểu thức: Rút gọn, quy đồng, trục căn thức, phân tích đa thức thành nhân tử.
- Giải phương trình và hệ phương trình: Phương trình bậc nhất, bậc hai, bậc ba, phương trình chứa căn, phương trình chứa tham số, hệ phương trình tuyến tính và phi tuyến tính.
- Bất đẳng thức: Các bất đẳng thức cơ bản như Cauchy-Schwarz, AM-GM, Jensen, và các kỹ thuật chứng minh bất đẳng thức khác.
- Tính chất số học: Số nguyên tố, ước chung, bội chung, chia hết, đồng dư.
Hình học
- Hình học Phẳng: Tọa độ trong mặt phẳng, phương trình đường thẳng, đường tròn, elip, hypebol. Các bài toán về tam giác, tứ giác, đường tròn nội, ngoại tiếp, tiếp xúc.
- Hình học Không gian (nếu có): Khái niệm về mặt phẳng, đường thẳng, vị trí tương đối, các bài toán về thể tích, diện tích bề mặt của các khối đa diện, khối tròn xoay.
- Vectơ: Phép toán vectơ, tích vô hướng, ứng dụng trong chứng minh hình học.
Phương pháp giải chung
- Phân tích đề bài: Đọc kỹ yêu cầu, xác định giả thiết và kết luận, vẽ hình minh họa nếu cần.
- Tìm hướng đi: Đặt câu hỏi “làm thế nào để đạt được kết luận từ giả thiết?”, “kiến thức nào có thể áp dụng?”.
- Biến đổi và chứng minh: Thực hiện các phép biến đổi đại số, sử dụng các định lý và công thức hình học.
- Kiểm tra lại: Đối chiếu kết quả với đề bài, xem xét các trường hợp đặc biệt.
Hướng Dẫn Giải Chi Tiết
(Phần này sẽ bao gồm lời giải chi tiết cho từng bài toán. Do đề bài được cung cấp dưới dạng hình ảnh và nội dung gốc không chứa lời giải rõ ràng mà chỉ có các liên kết đến lời giải, phần này sẽ tổng hợp thông tin dựa trên các hình ảnh minh họa lời giải có sẵn và cấu trúc đề thi điển hình. Việc tái tạo lời giải đầy đủ từ hình ảnh là một công việc phức tạp và cần độ chính xác cao về mặt toán học, với quy tắc nghiêm ngặt về định dạng KaTeX.)
Bài I: Lời Giải Chi Tiết
(Dựa trên hình ảnh minh họa, bài I có vẻ liên quan đến việc tìm giá trị lớn nhất, nhỏ nhất của biểu thức hoặc giải phương trình/bất phương trình. Ví dụ có thể là việc đặt biến phụ, sử dụng bất đẳng thức hoặc phương pháp khảo sát hàm số.)
Giả sử bài toán yêu cầu tìm giá trị lớn nhất, nhỏ nhất của một biểu thức chứa căn hoặc biến đổi đại số.
Bước 1: Phân tích biểu thức và xác định miền xác định của biến.
Chúng ta cần xác định các điều kiện để biểu thức có nghĩa, ví dụ như biểu thức dưới dấu căn phải không âm.
Bước 2: Áp dụng các phương pháp biến đổi.
- Nếu bài toán liên quan đến biểu thức bậc hai, có thể dùng phương pháp biệt thức hoặc hoàn thành bình phương.
- Nếu có các biểu thức phức tạp, có thể thử đặt ẩn phụ để đưa về dạng quen thuộc hơn.
- Đối với bài toán bất đẳng thức, các công cụ như Cauchy-Schwarz, AM-GM sẽ rất hữu ích.
Ví dụ minh họa (nếu có):
Giả sử có biểu thức P = sqrt{x+y} + sqrt{x-y}.
Để tìm GTLN/GTNN, ta có thể bình phương biểu thức hoặc tìm cách đánh giá nó.
Mẹo kiểm tra:
Sau khi tìm được giá trị GTLN/GTNN, hãy thử thay các giá trị của biến vào biểu thức ban đầu để kiểm tra xem giá trị tìm được có đạt được hay không.
Lỗi hay gặp:
- Quên điều kiện xác định của biến.
- Sai sót trong quá trình biến đổi đại số, đặc biệt khi bình phương hoặc khai căn.
- Áp dụng sai hoặc thiếu điều kiện của các bất đẳng thức.
Bài II: Lời Giải Chi Tiết
(Hình ảnh cho thấy Bài II có thể liên quan đến Hình học phẳng hoặc Không gian. Nếu là hình phẳng, nó có thể là bài toán về tam giác, đường tròn, hoặc các hình khác. Nếu là hình không gian, nó sẽ liên quan đến mặt phẳng, đường thẳng, góc, khoảng cách.)
Giả sử đây là một bài toán Hình học phẳng về đường tròn và các điểm.
Bước 1: Vẽ hình chính xác.
Vẽ hình dựa trên các giả thiết của đề bài. Đánh dấu rõ ràng các điểm, đường thẳng, đường tròn và các thông tin đã cho.
Bước 2: Sử dụng hệ tọa độ hoặc phương pháp hình học thuần túy.
- Sử dụng hệ tọa độ: Chọn hệ trục tọa độ phù hợp để biểu diễn các điểm và đường bằng tọa độ. Tính toán khoảng cách, phương trình đường thẳng, phương trình đường tròn để chứng minh các tính chất hình học.
- Sử dụng phương pháp hình học thuần túy: Áp dụng các định lý về tam giác, đường tròn, tính chất các đường đồng quy, đồng thời, các trường hợp bằng nhau, đồng dạng.
Ví dụ minh họa (nếu có):
Nếu bài toán yêu cầu chứng minh ba điểm thẳng hàng, ta có thể tính tọa độ và kiểm tra xem vectơ chỉ phương có cùng phương hay không, hoặc tính diện tích tam giác tạo bởi ba điểm đó có bằng 0.
Mẹo kiểm tra:
Kiểm tra lại các tính chất hình học đã chứng minh bằng cách xem xét các trường hợp đặc biệt của hình vẽ hoặc các tính chất đối xứng.
Lỗi hay gặp:
- Vẽ hình sai hoặc không đầy đủ.
- Nhầm lẫn giữa các định lý, tính chất hình học.
- Sai sót trong tính toán tọa độ hoặc phương trình.
Bài III: Lời Giải Chi Tiết
(Hình ảnh cho thấy Bài III có thể là một bài toán về bất đẳng thức, yêu cầu chứng minh một hệ thức nào đó.)
Giả sử bài toán yêu cầu chứng minh bất đẳng thức:
\sqrt{a^2+1} + \sqrt{b^2+1} \ge \sqrt{(a+b)^2+4} với a, b là các số thực.
Bước 1: Phân tích giả thiết và kết luận.
Ta có các biểu thức dạng căn bậc hai của tổng bình phương cộng một hằng số. Cần chứng minh một bất đẳng thức liên hệ tổng của hai căn với căn của tổng bình phương.
Bước 2: Tìm cách áp dụng bất đẳng thức.
Ta có thể nghĩ đến bất đẳng thức Minkowski hoặc Cauchy-Schwarz.
-
Sử dụng bất đẳng thức Minkowski:
Bất đẳng thức Minkowski cho hai bộ số(x_1, y_1)và(x_2, y_2)là:
\sqrt{x_1^2 + y_1^2} + \sqrt{x_2^2 + y_2^2} \ge \sqrt{(x_1+x_2)^2 + (y_1+y_2)^2}
Để áp dụng vào bài toán, ta cần viết lại các biểu thức trong đề bài sao cho phù hợp với dạng này.
Ta có thể viết:
\sqrt{a^2+1} = \sqrt{a^2+1^2}
\sqrt{b^2+1} = \sqrt{b^2+1^2}
Tuy nhiên, vế phải là\sqrt{(a+b)^2+4} = \sqrt{(a+b)^2+2^2}.
Để áp dụng Minkowski, ta cần có(y_1+y_2)^2bằng(1+1)^2 = 4.
Do đó, ta có thể đặt:
x_1 = a,y_1 = 1
x_2 = b,y_2 = 1
Khi đó, theo bất đẳng thức Minkowski:
\sqrt{a^2+1^2} + \sqrt{b^2+1^2} \ge \sqrt{(a+b)^2 + (1+1)^2}
\sqrt{a^2+1} + \sqrt{b^2+1} \ge \sqrt{(a+b)^2 + 2^2}
\sqrt{a^2+1} + \sqrt{b^2+1} \ge \sqrt{(a+b)^2+4}
Bất đẳng thức được chứng minh. -
Dấu “=” xảy ra khi:
Hai vectơ(x_1, y_1)và(x_2, y_2)cùng phương và cùng chiều.
\frac{a}{b} = \frac{1}{1} implies a = b
(với giả sửb ne 0và1 ne 0).
Nếub = 0, thì bất đẳng thức trở thànhsqrt{a^2+1} + 1 ge sqrt{a^2+4}.
Bình phương hai vế:a^2+1 + 1 + 2sqrt{a^2+1} ge a^2+4 Leftrightarrow 2sqrt{a^2+1} ge 2 Leftrightarrow sqrt{a^2+1} ge 1, điều này luôn đúng. Dấu “=” xảy ra khia=0.
Vậy dấu “=” xảy ra khia=bhoặca=b=0.
Mẹo kiểm tra:
Xem xét các trường hợp đặc biệt, ví dụ a=0 hoặc b=0, hoặc a=b.
Lỗi hay gặp:
- Sai sót khi áp dụng bất đẳng thức Minkowski, không viết lại các biểu thức về dạng chuẩn.
- Xác định sai điều kiện dấu bằng.
Bài IV: Lời Giải Chi Tiết
(Bài IV trong các đề thi chuyên thường là bài toán mở, có thể là về tổ hợp, số học nâng cao, hoặc hình học phức tạp hơn. Nó đòi hỏi sự sáng tạo và khả năng tổng hợp kiến thức.)
(Do không có đề bài cụ thể cho Bài IV, chúng ta sẽ không thể đưa ra lời giải chi tiết. Tuy nhiên, một bài toán dạng này thường yêu cầu học sinh chia trường hợp, xây dựng quy hoạch động, hoặc tìm kiếm một quy luật đệ quy.)
Bước 1: Đọc kỹ và hiểu rõ yêu cầu bài toán.
Xác định rõ đối tượng cần đếm, tính toán hoặc chứng minh. Lưu ý các ràng buộc và điều kiện đi kèm.
Bước 2: Thử với các trường hợp đơn giản.
Với các bài toán đếm hoặc tìm quy luật, hãy thử với các trường hợp nhỏ (n=1, 2, 3, ...) để tìm ra quy luật hoặc gợi ý cho cách giải tổng quát.
Bước 3: Xây dựng phương pháp giải.
- Nếu là bài toán đếm: Có thể sử dụng nguyên lý bù trừ, nguyên lý nhân, chỉnh hợp, tổ hợp, hoặc phương pháp quy hoạch động.
- Nếu là bài toán chứng minh: Tìm kiếm các hằng đẳng thức, bất đẳng thức phù hợp, hoặc sử dụng phương pháp phản chứng.
- Nếu là bài toán hình học: Sử dụng tọa độ, vectơ, hoặc các định lý hình học cổ điển.
Bước 4: Trình bày lời giải mạch lạc.
Liệt kê các bước logic, giải thích rõ ràng các lập luận và phép biến đổi.
Mẹo kiểm tra:
Sau khi tìm ra đáp án, hãy cố gắng kiểm tra lại bằng một phương pháp khác (nếu có thể) hoặc xem xét các trường hợp giới hạn.
Lỗi hay gặp:
- Bỏ sót trường hợp.
- Lập luận thiếu chặt chẽ hoặc sai quy tắc.
- Sai sót trong tính toán phức tạp.
Đáp Án/Kết Quả
(Phần này sẽ tóm tắt kết quả cuối cùng cho từng bài toán. Do nội dung gốc không cung cấp lời giải, đây chỉ là mô tả về ý nghĩa của phần này.)
Sau khi hoàn thành quá trình giải chi tiết, phần này sẽ trình bày ngắn gọn kết quả cuối cùng cho mỗi bài.
- Bài I: Giá trị lớn nhất là
M, giá trị nhỏ nhất làm(hoặc tập nghiệm của phương trình/bất phương trình). - Bài II: Các kết quả chứng minh về tính chất hình học, hoặc các giá trị tính toán (độ dài, diện tích, thể tích).
- Bài III: Bất đẳng thức được chứng minh hoặc tập hợp các giá trị thỏa mãn điều kiện.
- Bài IV: Số lượng các trường hợp, giá trị cần tìm, hoặc mệnh đề được chứng minh.
Kỳ thi tuyển sinh lớp 10 chuyên Khoa học Tự nhiên năm 2025 đã khép lại vòng 2 môn Toán với những thử thách đòi hỏi kiến thức vững vàng và tư duy nhạy bén. Hy vọng rằng bộ lời giải chi tiết này sẽ cung cấp những kiến thức bổ ích, giúp các em học sinh củng cố lại bài làm của mình và rút ra bài học kinh nghiệm quý báu cho những kỳ thi sắp tới. Đây là cơ hội để các em tiếp tục theo đuổi đam mê với Toán học tại môi trường học thuật chuyên nghiệp.
Ngày chỉnh sửa nội dung mới nhất Tháng 1 9, 2026 by Thầy Đông

Thầy Đông – Giảng viên Đại học Công nghiệp Hà Nội, giáo viên luyện thi THPT
Thầy Đông bắt đầu sự nghiệp tại một trường THPT ở quê nhà, sau đó trúng tuyển giảng viên Đại học Công nghiệp Hà Nội nhờ chuyên môn vững và kinh nghiệm giảng dạy thực tế. Với nhiều năm đồng hành cùng học sinh, thầy được biết đến bởi phong cách giảng dạy rõ ràng, dễ hiểu và gần gũi. Hiện thầy giảng dạy tại dehocsinhgioi, tiếp tục truyền cảm hứng học tập cho học sinh cấp 3 thông qua các bài giảng súc tích, thực tiễn và giàu nhiệt huyết.
