Phương Pháp Giải Toán Chuyên Đề Hình Học 11: Cẩm Nang Toàn Diện Cho Học Sinh Lớp 11
Chào mừng các em học sinh và quý thầy cô đến với bài viết giới thiệu chi tiết về cuốn sách “Phương Pháp Giải Toán Chuyên Đề Hình Học 11“, một tài liệu vô cùng giá trị dành cho học sinh lớp 11. Cuốn sách được biên soạn bởi các tác giả Nguyễn Văn Nho và Lê Bảy, với mục tiêu cung cấp những phương pháp giải toán chuyên đề hình học 11 hiệu quả, giúp các em chinh phục các dạng bài tập từ cơ bản đến nâng cao. Trong bài viết này, chúng ta sẽ cùng tìm hiểu sâu hơn về nội dung, cấu trúc và những lợi ích mà cuốn sách mang lại, đặc biệt nhấn mạnh vào các kiến thức hình học 11 cốt lõi và kỹ năng giải toán hình học tối ưu.
Giới Thiệu Sách Phương Pháp Giải Toán Chuyên Đề Hình Học 11
Cuốn sách “Phương Pháp Giải Toán Chuyên Đề Hình Học 11” của tác giả Nguyễn Văn Nho và Lê Bảy, xuất bản bởi Nhà xuất bản Đại Học Quốc Gia Hà Nội, là một tài liệu được đánh giá cao trong cộng đồng giáo dục. Với tổng số 352 trang, dày 1.7 cm và nặng 370gr, cuốn sách có kích thước 24 x 17 cm, dễ dàng cầm nắm và mang theo. Được phát hành vào năm 2023, đây là một nguồn tư liệu cập nhật, phù hợp với chương trình giáo dục hiện hành và các bộ sách giáo khoa khác nhau.
Mục tiêu cốt lõi của cuốn sách là trang bị cho học sinh những phương pháp giải toán mang tính hệ thống và hiệu quả, đặc biệt tập trung vào các chuyên đề hình học quan trọng của chương trình lớp 11. Thay vì chỉ cung cấp lời giải, sách đi sâu vào phân tích, lý giải cặn kẽ từng bước đi, từng lựa chọn phương pháp, giúp người học nắm vững bản chất vấn đề và phát triển tư duy logic. Điều này không chỉ hỗ trợ các em học tốt trên lớp mà còn là nền tảng vững chắc cho việc ôn luyện thi THPT Quốc gia.
Cuốn sách không chỉ là một tập hợp các bài tập và lời giải, mà còn là người bạn đồng hành, định hướng cho học sinh xây dựng một lộ trình học tập khoa học. Bằng cách tiếp cận các bài toán từ nhiều góc độ, phân tích các dạng thức khác nhau và đưa ra những lời khuyên thiết thực, “Phương Pháp Giải Toán Chuyên Đề Hình Học 11” hứa hẹn sẽ là công cụ đắc lực giúp các em đạt được kết quả cao nhất trong môn học này.
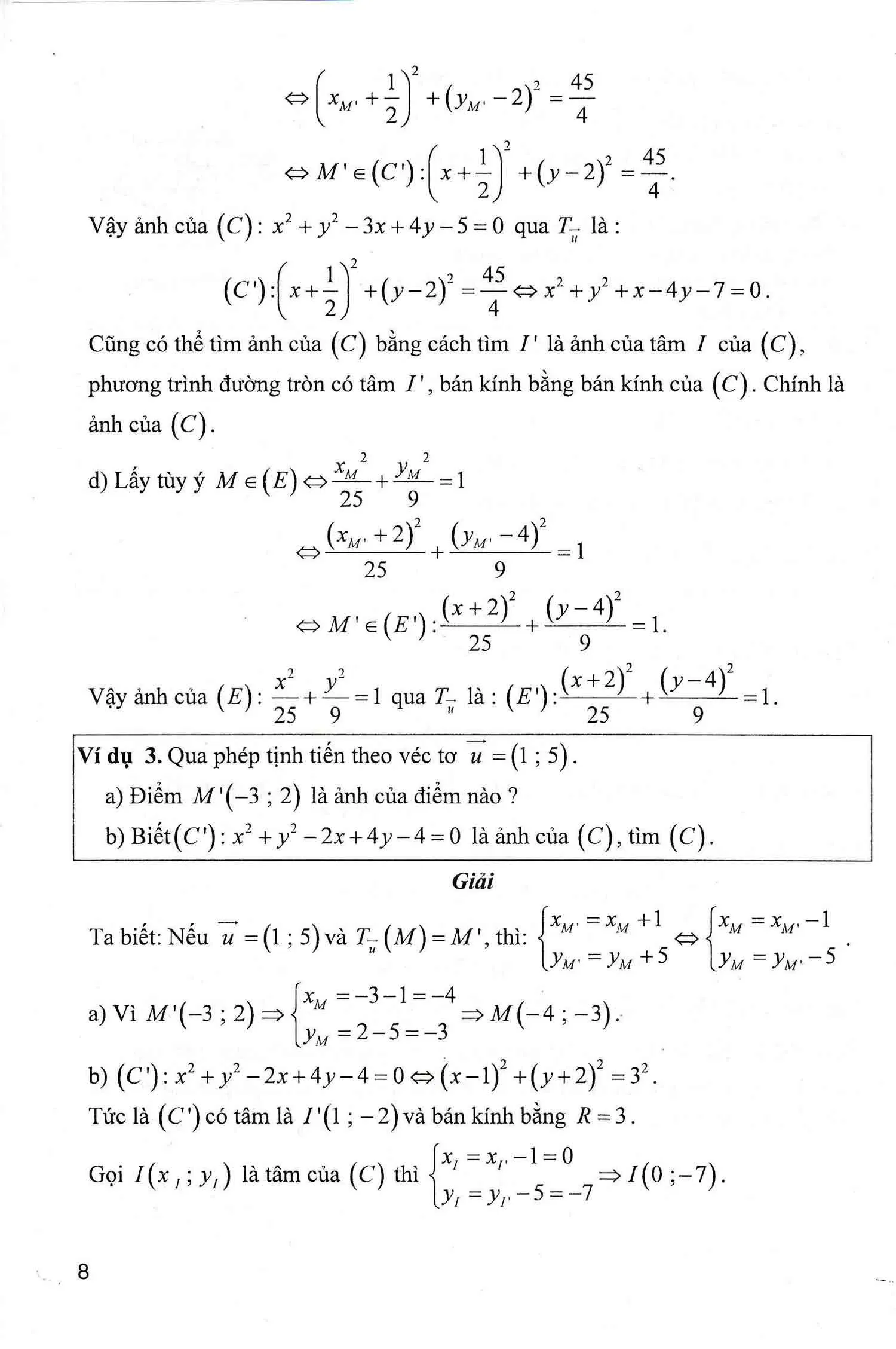
Đề Bài (Nội Dung Sách Phương Pháp Giải Toán Chuyên Đề Hình Học 11)
Cuốn sách “Phương Pháp Giải Toán Chuyên Đề Hình Học 11” được cấu trúc thành 3 chương chính, bao quát các chủ đề quan trọng nhất của chương trình hình học 11. Mỗi chương đều được xây dựng một cách khoa học, từ lý thuyết nền tảng đến các bài tập minh họa đa dạng.
Chương 1: Phép dời hình và phép đồng dạng trong mặt phẳng
Chương đầu tiên tập trung vào các khái niệm cơ bản nhưng vô cùng quan trọng của hình học phẳng. Học sinh sẽ được làm quen và nắm vững các loại phép biến hình như phép tịnh tiến, phép quay, phép đối xứng trục, và phép đối xứng tâm. Hiểu rõ bản chất và đặc điểm của từng phép biến hình là chìa khóa để giải quyết nhiều bài toán liên quan đến tính chất của hình, sự di chuyển, biến đổi và bảo toàn khoảng cách, góc.
Tiếp đó, chương này còn đề cập đến phép vị tự, một phép biến hình quan trọng khác trong mặt phẳng, có vai trò then chốt trong việc xây dựng các tính chất liên quan đến tỉ lệ và sự đồng dạng. Việc nắm vững phép đồng dạng sẽ giúp học sinh nhận diện và chứng minh các cặp tam giác đồng dạng, từ đó suy ra các tỉ lệ cạnh tương ứng và các góc bằng nhau. Các bài toán trong chương này thường yêu cầu xác định ảnh của một hình qua phép biến hình, chứng minh sự tồn tại hoặc tính chất của các hình được tạo ra bởi các phép biến hình đó, hoặc ứng dụng các phép biến hình để giải các bài toán dựng hình, chứng minh hình học.
Sách Phương Pháp Giải Toán Chuyên Đề Hình Học 11 – Chương 1
Chương 2: Đường thẳng và mặt phẳng trong không gian, quan hệ song song trong không gian
Chuyển sang không gian ba chiều, chương thứ hai giới thiệu các khái niệm về điểm, đường thẳng, mặt phẳng và các quan hệ tương hỗ giữa chúng: song song và cắt nhau. Đây là nền tảng để xây dựng các khái niệm phức tạp hơn trong hình học không gian.
Các nội dung chính bao gồm: vị trí tương đối của hai đường thẳng, đường thẳng và mặt phẳng, hai mặt phẳng trong không gian. Học sinh sẽ học cách nhận biết các trường hợp đường thẳng song song với mặt phẳng, mặt phẳng song song với mặt phẳng, hoặc tìm giao tuyến của hai mặt phẳng. Phần quan hệ song song trong không gian là một trong những phần khó nhất của hình học 11, đòi hỏi khả năng tưởng tượng và suy luận không gian tốt. Cuốn sách sẽ cung cấp các dấu hiệu nhận biết sự song song, các định lý quan trọng như định lý về ba đường vuông góc, định lý về đường thẳng song song với mặt phẳng, và cách áp dụng chúng để chứng minh các quan hệ song song trong các hình khối không gian như hình chóp, hình lăng trụ.
Sách Phương Pháp Giải Toán Chuyên Đề Hình Học 11 – Chương 2
Chương 3: Vecto trong không gian và quan hệ vuông góc trong không gian
Chương cuối cùng đi sâu vào hai chủ đề nền tảng là vecto trong không gian và quan hệ vuông góc. Vecto trong không gian là một công cụ mạnh mẽ, giúp chúng ta biểu diễn và thực hiện các phép toán liên quan đến phương hướng và độ lớn. Học sinh sẽ được học về định nghĩa vecto, các phép toán trên vecto (cộng, trừ, nhân với số thực), sự đồng phẳng, sự cùng phương của các vecto.
Đặc biệt, phần quan hệ vuông góc trong không gian là một lĩnh vực quan trọng, bao gồm các khái niệm về đường thẳng vuông góc với đường thẳng, đường thẳng vuông góc với mặt phẳng, và hai mặt phẳng vuông góc với nhau. Việc hiểu và vận dụng đúng các định lý, đặc biệt là định lý về đường thẳng vuông góc với mặt phẳng, sẽ giúp học sinh giải quyết các bài toán về tính khoảng cách, góc, và thể tích trong không gian. Cuốn sách cung cấp các phương pháp để xác định và chứng minh các quan hệ vuông góc này, cũng như áp dụng chúng vào việc giải các bài toán thực tế và các bài tập khó.
Sách Phương Pháp Giải Toán Chuyên Đề Hình Học 11 – Chương 3
Phân Tích Yêu Cầu & Ý Nghĩa Sách
Cuốn sách “Phương Pháp Giải Toán Chuyên Đề Hình Học 11” ra đời nhằm đáp ứng nhu cầu ngày càng tăng của học sinh về một nguồn tài liệu chất lượng, cung cấp không chỉ kiến thức mà còn là phương pháp tiếp cận và chinh phục môn Hình học không gian, một chuyên đề thường gây nhiều khó khăn.
Yêu cầu chính của người học khi tìm đến một cuốn sách như thế này là:
- Nắm vững lý thuyết: Hiểu rõ định nghĩa, tính chất, định lý và dấu hiệu nhận biết trong từng chuyên đề.
- Phát triển kỹ năng tư duy không gian: Hình dung, phân tích và suy luận về các đối tượng và quan hệ trong không gian ba chiều.
- Thành thạo các phương pháp giải toán: Biết cách chọn lựa phương pháp phù hợp nhất cho từng dạng bài, từ đó giải quyết bài toán một cách nhanh chóng và chính xác.
- Tự tin giải quyết bài tập: Có khả năng tự học, tự luyện tập và tự kiểm tra kiến thức của bản thân.
Cuốn sách này đáp ứng xuất sắc các yêu cầu đó bằng cách cung cấp:
- Phần tóm tắt lý thuyết cô đọng: Các khái niệm và định lý quan trọng được trình bày rõ ràng, dễ hiểu, làm nền tảng vững chắc.
- Các bài tập minh họa đa dạng: Từ các bài tập cơ bản giúp củng cố lý thuyết đến các bài tập nâng cao, thử thách tư duy, bao quát các dạng toán thường gặp.
- Phân tích chi tiết lời giải: Mỗi bài tập đều có lời giải đầy đủ, kèm theo giải thích cặn kẽ lý do của từng bước làm, các phép suy luận, giúp học sinh hiểu được “tại sao lại làm như vậy”.
- Chỉ ra lỗi sai thường gặp: Giúp học sinh nhận biết và tránh những sai lầm phổ biến khi giải toán hình học không gian, nâng cao tính chính xác.
- Đề xuất phương pháp học tập hiệu quả: Cuốn sách không chỉ dạy cách giải toán mà còn hướng dẫn cách học, cách tiếp cận vấn đề, giúp học sinh tối ưu hóa quá trình học tập.
Việc học tốt chuyên đề hình học 11 và nắm vững phương pháp giải toán hình học là vô cùng cần thiết, không chỉ để đạt điểm cao trong các kỳ thi mà còn để xây dựng nền tảng vững chắc cho các môn khoa học kỹ thuật sau này, nơi tư duy không gian và khả năng giải quyết vấn đề phức tạp đóng vai trò then chốt.
Bìa sách Phương Pháp Giải Toán Chuyên Đề Hình Học 11
Kiến Thức/Nền Tảng Cần Dùng
Để tiếp cận và học tập hiệu quả từ cuốn sách “Phương Pháp Giải Toán Chuyên Đề Hình Học 11”, học sinh cần trang bị cho mình những kiến thức và kỹ năng nền tảng sau:
1. Kiến thức hình học phẳng lớp 10
Một phần kiến thức từ lớp 10 như các khái niệm về điểm, đường thẳng, mặt phẳng, góc, tam giác, các phép biến hình cơ bản (phép đối xứng, phép vị tự) là nền tảng quan trọng cho chương 1. Nắm vững cách biểu diễn và chứng minh các tính chất hình học trên mặt phẳng sẽ giúp việc tiếp thu các khái niệm tương tự trong không gian dễ dàng hơn.
2. Tư duy logic và khả năng suy luận
Hình học không gian đòi hỏi khả năng suy luận logic chặt chẽ và khả năng hình dung, tưởng tượng không gian ba chiều. Học sinh cần rèn luyện kỹ năng phân tích đề bài, xác định mối liên hệ giữa các yếu tố đã cho và yêu cầu của bài toán.
3. Các định nghĩa và tính chất cơ bản về không gian
Hiểu rõ định nghĩa về điểm, đường thẳng, mặt phẳng, tia, đoạn thẳng, các khái niệm về hai đường thẳng song song, hai mặt phẳng song song, đường thẳng song song với mặt phẳng, hai mặt phẳng vuông góc là bước đầu tiên và quan trọng nhất.
4. Khái niệm về Vecto
Vecto là một công cụ mạnh mẽ trong hình học không gian. Học sinh cần nắm vững định nghĩa vecto, các phép toán trên vecto (cộng, trừ, nhân với số thực), khái niệm về sự cùng phương, sự đồng phẳng của các vecto. Các kiến thức này là chìa khóa để giải quyết các bài toán theo phương pháp tọa độ hoặc phương pháp vecto.
5. Các định lý và dấu hiệu nhận biết cơ bản
- Quan hệ song song:
- Dấu hiệu nhận biết hai đường thẳng song song.
- Dấu hiệu nhận biết đường thẳng song song với mặt phẳng.
- Dấu hiệu nhận biết hai mặt phẳng song song.
- Các tính chất của hình lăng trụ và hình hộp.
- Quan hệ vuông góc:
- Định nghĩa hai đường thẳng vuông góc.
- Định nghĩa đường thẳng vuông góc với mặt phẳng.
- Định nghĩa hai mặt phẳng vuông góc.
- Định lý về ba đường vuông góc.
- Các tính chất của hình chóp đều, hình hộp chữ nhật.
6. Phương pháp giải toán
- Phương pháp hình học thuần túy: Sử dụng các định lý, tính chất hình học để suy luận và chứng minh.
- Phương pháp tọa độ: Biểu diễn các đối tượng hình học bằng tọa độ và sử dụng đại số để giải toán. Đây là một phương pháp hiệu quả, đặc biệt cho các bài toán tính toán khoảng cách, góc.
- Phương pháp vecto: Sử dụng các phép toán và tính chất của vecto để giải quyết các bài toán về quan hệ song song, vuông góc và tính toán.
Cuốn sách sẽ lần lượt giới thiệu và đi sâu vào các kiến thức hình học 11 này, giúp học sinh xây dựng một hệ thống kiến thức vững chắc và áp dụng linh hoạt vào giải quyết các dạng bài tập.
Minh họa trang sách về các định lý
Hướng Dẫn Giải Chi Tiết (Ví dụ về phương pháp tiếp cận bài toán)
Cuốn sách “Phương Pháp Giải Toán Chuyên Đề Hình Học 11” không chỉ đưa ra đáp án mà còn trang bị cho người học quy trình tư duy để đi đến lời giải. Dưới đây là cách tiếp cận chung và một số ví dụ minh họa cho các dạng bài tập thường gặp, áp dụng các phương pháp giải toán chuyên đề hình học 11 hiệu quả.
1. Tiếp cận bài toán Quan hệ song song
Khi gặp một bài toán yêu cầu chứng minh song song (đường thẳng // mặt phẳng, mặt phẳng // mặt phẳng), quy trình chung thường bao gồm:
-
Bước 1: Phân tích đề bài và vẽ hình: Đọc kỹ đề, xác định rõ các yếu tố đã cho (các điểm, đường thẳng, mặt phẳng) và yêu cầu chứng minh. Vẽ hình chính xác, thể hiện đúng các quan hệ đã cho.
-
Bước 2: Lựa chọn phương pháp:
- Chứng minh đường thẳng // mặt phẳng:
- Tìm trong mặt phẳng đó một đường thẳng song song với đường thẳng cần chứng minh. (Đây là phương pháp phổ biến nhất, dựa vào dấu hiệu nhận biết).
- Sử dụng định lý về ba đường vuông góc (nếu có liên quan đến quan hệ vuông góc).
- Sử dụng biểu diễn vecto: Tìm vecto chỉ phương của đường thẳng và vecto pháp tuyến của mặt phẳng. Nếu tích vô hướng của chúng bằng 0 thì đường thẳng vuông góc với mặt phẳng, điều này không trực tiếp chứng minh song song, cần suy luận ngược lại hoặc tìm cách khác. Tuy nhiên, có thể sử dụng điều kiện cùng phương.
- Chứng minh mặt phẳng // mặt phẳng:
- Tìm hai đường thẳng a, b nằm trên mặt phẳng thứ nhất song song với hai đường thẳng c, d nằm trên mặt phẳng thứ hai. (Phổ biến).
- Sử dụng quan hệ song song với một đường thẳng thứ ba. Nếu hai mặt phẳng cùng song song với một mặt phẳng thứ ba thì chúng song song với nhau.
- Sử dụng điều kiện chỉ có một mặt phẳng chứa một đường thẳng và song song với một đường thẳng khác.
- Sử dụng biểu diễn vecto: Tìm hai vecto pháp tuyến của hai mặt phẳng. Nếu hai vecto pháp tuyến này cùng phương thì hai mặt phẳng song song.
- Chứng minh đường thẳng // mặt phẳng:
-
Bước 3: Trình bày lời giải: Tuân thủ các bước logic, sử dụng định lý, tính chất đã học, ghi rõ căn cứ cho từng suy luận.
Ví dụ minh họa: Cho hình chóp S.ABCD có đáy ABCD là hình bình hành. Chứng minh mặt phẳng (SBC) song song với mặt phẳng (SAD).
- Phân tích: Đáy ABCD là hình bình hành nên AD // BC.
- Phương pháp: Sử dụng dấu hiệu nhận biết hai mặt phẳng song song: nếu có hai đường thẳng cắt nhau trên mặt phẳng này song song với mặt phẳng kia.
- Lời giải:
- Ta có AD // BC (do ABCD là hình bình hành).
- Đường thẳng AD nằm trên mặt phẳng (SAD).
- Đường thẳng BC nằm trên mặt phẳng (SBC).
- Vì AD // BC và BC nằm trong mặt phẳng (SBC) nên AD // (SBC).
- Ta cần tìm thêm một đường thẳng nữa. Nếu ta xem xét BC nằm trong (SBC) song song với mặt phẳng (SAD), thì điều này đã được chứng minh ở trên.
- Tuy nhiên, để áp dụng đúng dấu hiệu, ta cần hai đường thẳng cắt nhau trong một mặt phẳng và song song với mặt phẳng kia.
- Xét mặt phẳng (ABCD). Ta có AD // BC.
- Ta có đường thẳng BC thuộc mặt phẳng (SBC).
- Ta có đường thẳng AD thuộc mặt phẳng (SAD).
- Vì AD // BC, và BC ⊂ (SBC) nên AD // (SBC).
- Ta cần chứng minh BC // (SAD). Mà BC // AD, và AD ⊂ (SAD) nên BC // (SAD).
- Do đó, mặt phẳng (SBC) chứa đường thẳng BC song song với mặt phẳng (SAD).
- Và mặt phẳng (SAD) chứa đường thẳng AD song song với mặt phẳng (SBC).
- Vì hai mặt phẳng (SBC) và (SAD) cùng chứa hai đường thẳng cắt nhau song song với mặt phẳng kia, ta có (SBC) // (SAD).
- Lưu ý cách trình bày chặt chẽ hơn:
- Ta có AD // BC (tính chất hình bình hành).
- Ta có BC ⊂ (SBC).
- Ta có AD ⊂ (SAD).
- Suy ra BC // (SAD) và AD // (SBC).
- Như vậy, mặt phẳng (SBC) chứa đường thẳng BC song song với mặt phẳng (SAD). Vậy (SBC) // (SAD).
- Tương tự, mặt phẳng (SAD) chứa đường thẳng AD song song với mặt phẳng (SBC). Vậy (SAD) // (SBC).
- Điều này chứng tỏ hai mặt phẳng (SBC) và (SAD) song song với nhau.
Mẹo kiểm tra: Sau khi chứng minh hai mặt phẳng song song, hãy thử tưởng tượng xem chúng có cách nhau một khoảng cố định hay không. Nếu có thể vẽ một đoạn thẳng vuông góc chung hoặc song song với cả hai mặt phẳng, điều đó củng cố kết quả.
Lỗi hay gặp: Nhầm lẫn giữa chứng minh đường thẳng song song mặt phẳng và chứng minh mặt phẳng song song mặt phẳng. Quên mất điều kiện hai đường thẳng phải cắt nhau trong dấu hiệu nhận biết. Vẽ hình sai làm mất đi các quan hệ cần thiết.
2. Tiếp cận bài toán Quan hệ vuông góc
Khi gặp bài toán yêu cầu chứng minh vuông góc (đường thẳng ⊥ mặt phẳng, hai mặt phẳng vuông góc), quy trình chung:
-
Bước 1: Phân tích đề bài và vẽ hình: Tương tự như bài toán song song, xác định rõ yếu tố và yêu cầu.
-
Bước 2: Lựa chọn phương pháp:
-
Chứng minh đường thẳng a ⊥ mặt phẳng (P):
- Tìm hai đường thẳng cắt nhau trong mặt phẳng (P) và cùng vuông góc với đường thẳng a. (Đây là phương pháp chính, dựa vào định nghĩa).
- Sử dụng định lý ba đường vuông góc. Nếu có một đường xiên và hình chiếu của nó trên mặt phẳng, và đường này vuông góc với hình chiếu, thì đường xiên đó cũng vuông góc với đường thẳng nằm trong mặt phẳng và đi qua chân đường vuông góc.
- Sử dụng biểu diễn vecto: Tìm vecto chỉ phương của đường thẳng a và vecto pháp tuyến của mặt phẳng (P). Nếu hai vecto này cùng phương thì đường thẳng a vuông góc với mặt phẳng (P). Đây là phương pháp rất hiệu quả và trực quan.
-
Chứng minh hai mặt phẳng (P) và (Q) vuông góc:
- Tìm trong mặt phẳng (P) một đường thẳng a vuông góc với mặt phẳng (Q). (Phương pháp chính, dựa vào định nghĩa).
- Sử dụng các định lý liên quan đến hình chóp có cạnh bên vuông góc với đáy, hoặc hình lăng trụ đứng.
- Sử dụng biểu diễn vecto: Tìm hai vecto pháp tuyến vec{n_P} của (P) và vec{n_Q} của (Q). Nếu hai vecto pháp tuyến này vuông góc với nhau (tích vô hướng bằng 0) thì hai mặt phẳng vuông góc.
-
-
Bước 3: Trình bày lời giải: Logically, step-by-step.
Ví dụ minh họa: Cho hình chóp S.ABC có đáy ABC là tam giác vuông tại B, SA vuông góc với mặt phẳng (ABC). Chứng minh mặt phẳng (SAC) vuông góc với mặt phẳng (SBC).
- Phân tích: Đã có SA ⊥ (ABC), và B là góc vuông trong tam giác ABC.
- Phương pháp: Chứng minh hai mặt phẳng vuông góc bằng cách tìm một đường thẳng trong mặt phẳng này vuông góc với mặt phẳng kia. Ta sẽ chứng minh BC ⊥ (SAC).
- Lời giải:
- Ta có SA ⊥ (ABC) (giả thiết).
- Mà BC ⊂ (ABC) nên SA ⊥ BC.
- Ta có BC ⊥ AB (do tam giác ABC vuông tại B).
- Ta có BC ⊥ SA (chứng minh trên).
- Mà AB và SA là hai đường thẳng cắt nhau trong mặt phẳng (SAC).
- Do đó, BC vuông góc với mặt phẳng (SAC) theo dấu hiệu nhận biết đường thẳng vuông góc với mặt phẳng.
- Mặt khác, BC ⊂ (SBC).
- Vì BC ⊥ (SAC) và BC ⊂ (SBC), suy ra mặt phẳng (SBC) vuông góc với mặt phẳng (SAC).
Mẹo kiểm tra: Nếu hai mặt phẳng vuông góc, thì đường thẳng nằm trong mặt phẳng này và vuông góc với giao tuyến của hai mặt phẳng sẽ vuông góc với mặt phẳng kia.
Lỗi hay gặp: Quên mất điều kiện “cắt nhau” của hai đường thẳng trong dấu hiệu nhận biết. Nhầm lẫn giữa đường thẳng vuông góc mặt phẳng và mặt phẳng vuông góc mặt phẳng. Sai sót trong việc xác định vecto chỉ phương hoặc vecto pháp tuyến khi dùng phương pháp tọa độ/vecto.
Minh họa trang sách về quan hệ vuông góc
Cuốn sách còn cung cấp nhiều ví dụ tương tự cho các chủ đề khác, giúp học sinh làm quen và thành thạo các phương pháp giải toán này.
Đáp Án/Kết Quả
Cuốn sách “Phương Pháp Giải Toán Chuyên Đề Hình Học 11” cung cấp một hệ thống kiến thức toàn diện và các bài tập được giải chi tiết, giúp học sinh nắm vững các chủ đề quan trọng của hình học 11.
Kết quả chính đạt được khi sử dụng sách:
- Hiểu sâu lý thuyết: Học sinh nắm chắc các định nghĩa, tính chất, định lý về phép biến hình, quan hệ song song và vuông góc trong không gian.
- Phát triển tư duy không gian: Khả năng hình dung, phân tích và suy luận về các đối tượng hình học trong không gian được cải thiện rõ rệt.
- Thành thạo các phương pháp giải toán: Học sinh có thể áp dụng linh hoạt các phương pháp hình học thuần túy, phương pháp tọa độ, phương pháp vecto để giải quyết các bài toán khác nhau.
- Tự tin làm bài tập: Với hệ thống bài tập phong phú và lời giải chi tiết, học sinh có thể tự luyện tập và nâng cao kỹ năng giải toán của mình, từ đó tự tin đối mặt với các kỳ thi và bài kiểm tra.
- Kết quả học tập được cải thiện: Cuốn sách là công cụ hữu ích giúp học sinh đạt điểm cao trong môn Hình học 11 và xây dựng nền tảng vững chắc cho các kiến thức toán học ở bậc học cao hơn.
Tóm lại, việc nghiên cứu kỹ lưỡng cuốn sách này sẽ giúp học sinh không chỉ giải quyết các dạng bài tập chuyên đề hình học mà còn phát triển tư duy toán học một cách toàn diện.
Hình ảnh minh họa cách đọc sách
Conclusion
Cuốn sách “Phương Pháp Giải Toán Chuyên Đề Hình Học 11” của tác giả Nguyễn Văn Nho và Lê Bảy là một tài liệu vô cùng giá trị, cung cấp một lộ trình học tập rõ ràng và hiệu quả cho học sinh lớp 11. Bằng cách tập trung vào việc xây dựng nền tảng lý thuyết vững chắc, phát triển kỹ năng tư duy không gian và trang bị các phương pháp giải toán chuyên đề hình học 11 tiên tiến, cuốn sách giúp người đọc vượt qua những thách thức thường gặp trong môn học này. Từ các khái niệm về phép biến hình, quan hệ song song trong không gian, đến vecto và quan hệ vuông góc, mỗi chủ đề đều được trình bày một cách khoa học, logic và dễ tiếp cận. Việc áp dụng các phương pháp học tập hiệu quả được đề cập trong sách, kết hợp với việc luyện tập thường xuyên các bài tập minh họa, sẽ là chìa khóa để học sinh chinh phục thành công chuyên đề hình học 11 và đạt được kết quả cao trong học tập.
Ngày chỉnh sửa nội dung mới nhất Tháng 1 7, 2026 by Thầy Đông

Thầy Đông – Giảng viên Đại học Công nghiệp Hà Nội, giáo viên luyện thi THPT
Thầy Đông bắt đầu sự nghiệp tại một trường THPT ở quê nhà, sau đó trúng tuyển giảng viên Đại học Công nghiệp Hà Nội nhờ chuyên môn vững và kinh nghiệm giảng dạy thực tế. Với nhiều năm đồng hành cùng học sinh, thầy được biết đến bởi phong cách giảng dạy rõ ràng, dễ hiểu và gần gũi. Hiện thầy giảng dạy tại dehocsinhgioi, tiếp tục truyền cảm hứng học tập cho học sinh cấp 3 thông qua các bài giảng súc tích, thực tiễn và giàu nhiệt huyết.
