Ứng Dụng Của Định Lý Viet Và Các Bài Toán Liên Quan
Định lý Vi-et, một công cụ toán học mạnh mẽ được đặt theo tên nhà toán học Pháp François Viète, đóng vai trò nền tảng trong việc hiểu mối quan hệ giữa nghiệm và hệ số của các phương trình đa thức. Bài viết này tập trung vào ứng dụng của định lý Viet, đặc biệt là trong phương trình bậc hai, cung cấp cái nhìn sâu sắc và các phương pháp giải toán hiệu quả. Bên cạnh đó, chúng ta cũng sẽ khám phá cách áp dụng định lý này cho phương trình bậc ba và các đa thức bậc cao hơn.
Đề Bài
1. Tìm hiểu về định lý Viet (Hệ thức vi-et)
1.1. Khái niệm:
Định lý Viet là công thức thể hiện mối quan hệ giữa các nghiệm của phương trình đa thức trong trường số phức và các hệ số do nhà toán học Pháp François Viète tìm ra. Viète được phiên âm theo tiếng Việt là Vi-ét.
Định lý Vi-et học ở chương trình đại số ở cấp 2 và cấp 3 có nội dung kiến thức quan trọng đối với học sinh.
1.2. Định lý Vi-et thuận:
Định lý viet thuận
1.3. Định lý Vi-et đảo:
Định lý Viet đảo
1.4. Ứng dụng của hệ thức Vi-et
Theo hệ thức Vi-et, phương trình (ax^2 + bx + c = 0) (2) với a≠0 có hai nghiệm là x1, x2 khi và chỉ khi thỏa mãi các hệ thức:
(x_1 + x_2 = frac{-b}{a})
và
(x_1x_2 = frac{c}{a})
Từ hệ thức viet chúng ta có thể áp dụng để tìm 2 số a và b khi biết a+b=S và a.b=P, khi đó ta chỉ cần giải phương trình (x^2-Sx+P=0), a và b chính là 2 nghiệm của phương trình.
Do đó, các ứng dụng của Định lý Vi-et bao gồm:
• Tính nhẩm nghiệm phương trình bậc 2. Ví dụ: Với phương trình (x^2 – 5x + 6 = 0), ta có thể tính nhẩm nghiệm số nguyên của phương trình là 2 và 3 bởi 2 + 3 = 5 và 2 x 3 = 6.
• Tìm 2 số khi biết tích và tổng: Nếu tổng là S, tích là P thì hai số có 2 nghiệm phương trình gồm : (x^2 – Sx + P = 0) (Lưu ý, hai số trên tồn tại với điều kiện là (S^2 – 4P >= 0))
• Tính giá trị các biểu thức đối xứng của 2 nghiệm phương trình bậc 2:
• Biến tam thức bậc 2 thành nhân tử: Nếu x1, x2 là nghiệm của đa thức (f(x) = ax^2 + bx + c) có thể phân tích thành nhân tử f(x) = a(x – x1)(x – x2)
Xem thêm: Bảng công thức đạo hàm tổng hợp kèm bài tập ví dụ
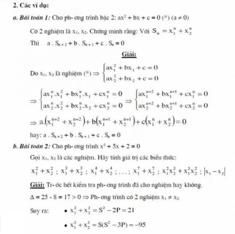
2. Định lý viet bậc 2 và bậc 3
2.1. Định lý viet bậc 2
Công thức Vi-ét thể hiện theo phương trình bậc 2 có dạng như sau nếu 2 nghiệm của phương trình lần lượt là x1 và x2, ta có công thức:
(ax^2 + bx + c = 0), điều kiện a ≠ 0 thì ta có x1 + x2 = S = -b/a và x1.x2 = P = c/a
Xem thêm: Toàn bộ chi tiết về công thức LOGARIT cần biết
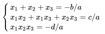
2.2. Định lý viet bậc 3
Phương trình (ax^3 + bx^2 + cx + d = 0) có 3 nghiệm phân biệt x1, x2, x3 khi đó:
Lưu ý: Áp dụng Định lý viet bậc 3 giúp giải một số bài phương trình bậc 3 dễ dạng hơn
3. Phương trình đa thức bất kỳ
Phương trình đa thức bất kỳ có dạng:
Cho x1, x2, x3,…, xn là n nghiệm của phương trình đa thức ở trên, ta có công thức như sau:
Do đó, công thức Vi-ét sẽ là kết quả của phép tính ở vế phải và ta được:
Phương trình đa thức bất kỳ
Theo đó, trong hàng k bất kỳ, ta sẽ có đẳng thức (a_{n-k}) sẽ là vế phải còn vế trái sẽ là:
Phương trình đa thức bất kỳ 1
Ví dụ về phương trình bậc 3 cho x1, x2, x3 là nghiệm của phương trình: (ax^3 + bx^2 + cx + d = 0)
Ta chia đều cho a3 tức a ở cả 2 về của phương trình đồng thời chuyển dấu trừ (nếu có) sang về phải thì công thức Vi-et là:
Phương trình đa thức bất kỳ
4. Các ứng dụng của định lý Vi-ét
4.1. Tìm Số Biết Tổng Và Tích Của Chúng
Tìm Số Biết Tổng Và Tích Của Chúng 1
Tìm Số Biết Tổng Và Tích Của Chúng 2
Tìm Số Biết Tổng Và Tích Của Chúng 3
Tìm Số Biết Tổng Và Tích Của Chúng 4
4.2. Tính giá trị các biểu thức đối xứng giữa các nghiệm
biểu thức đối xứng giữa các nghiệm 1
biểu thức đối xứng giữa các nghiệm 2
biểu thức đối xứng giữa các nghiệm 3
biểu thức đối xứng giữa các nghiệm 4
biểu thức đối xứng giữa các nghiệm 5
biểu thức đối xứng giữa các nghiệm 6
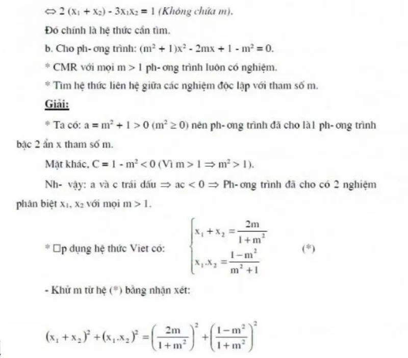
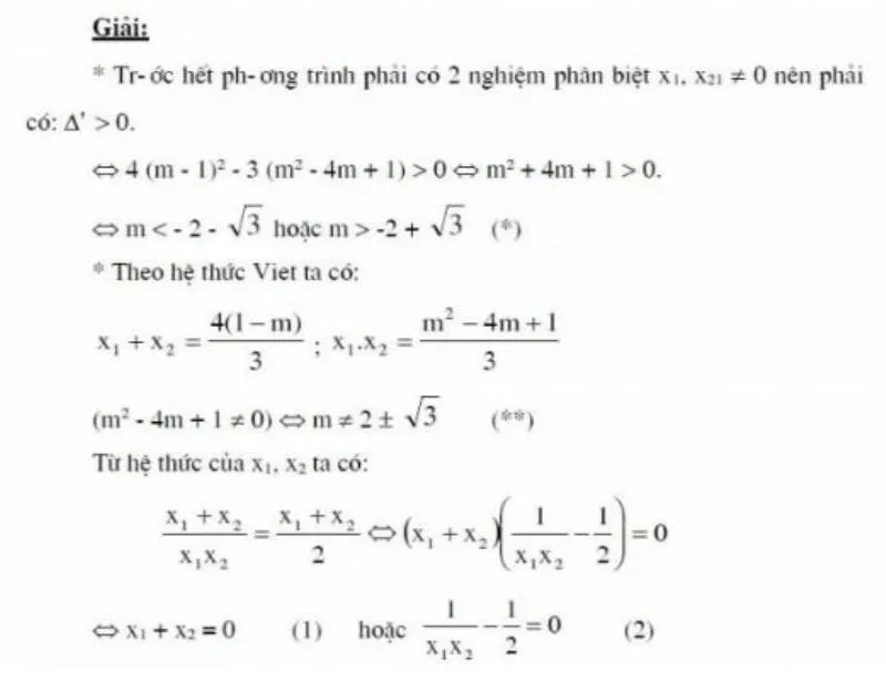
4.3. Tìm Hệ Thức Liên Hệ Giữa Các Nghiệm Phụ Thuộc Tham Số
Hệ Thức Liên Hệ Giữa Các Nghiệm Phụ Thuộc Tham Số 1
Hệ Thức Liên Hệ Giữa Các Nghiệm Phụ Thuộc Tham Số 2
Hệ Thức Liên Hệ Giữa Các Nghiệm Phụ Thuộc Tham Số
Hệ Thức Liên Hệ Giữa Các Nghiệm Phụ Thuộc Tham Số 3
Hệ Thức Liên Hệ Giữa Các Nghiệm Phụ Thuộc Tham Số 4
Hệ Thức Liên Hệ Giữa Các Nghiệm Phụ Thuộc Tham Số 5
Hệ Thức Liên Hệ Giữa Các Nghiệm Phụ Thuộc Tham Số 6
Hệ Thức Liên Hệ Giữa Các Nghiệm Phụ Thuộc Tham Số 8
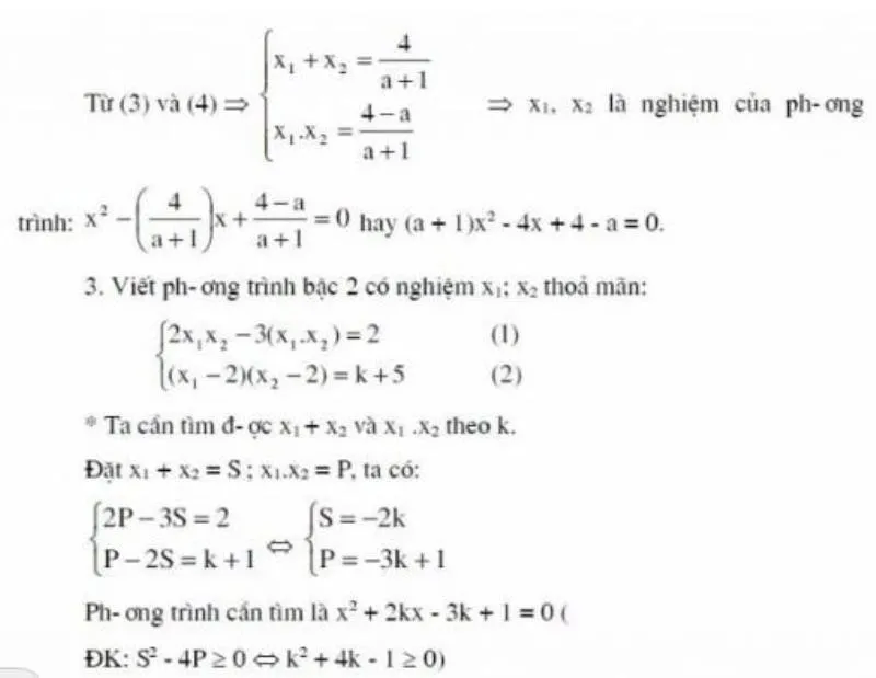
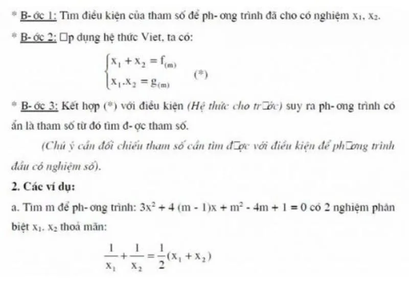
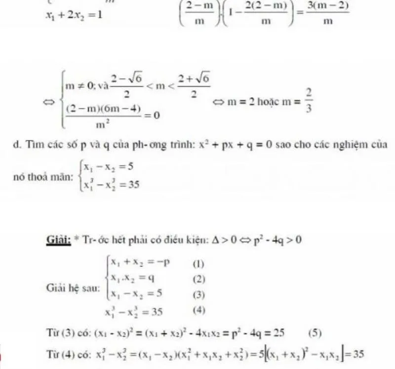
4.4. Tìm Điều Kiện Của Tham Số Để 2 Nghiệm Liên Hệ Với Nhau Bởi 1 Hệ Thức Cho Trước (Điều Kiện Cho Trước)
Điều Kiện Của Tham Số Để 2 Nghiệm Liên Hệ Với Nhau Bởi 1 Hệ Thức Cho Trước 1
Điều Kiện Của Tham Số Để 2 Nghiệm Liên Hệ Với Nhau Bởi 1 Hệ Thức Cho Trước 2
Điều Kiện Của Tham Số Để 2 Nghiệm Liên Hệ Với Nhau Bởi 1 Hệ Thức Cho Trước 3
Điều Kiện Của Tham Số Để 2 Nghiệm Liên Hệ Với Nhau Bởi 1 Hệ Thức Cho Trước 5
Điều Kiện Của Tham Số Để 2 Nghiệm Liên Hệ Với Nhau Bởi 1 Hệ Thức Cho Trước 6
Điều Kiện Của Tham Số Để 2 Nghiệm Liên Hệ Với Nhau Bởi 1 Hệ Thức Cho Trước 8
Điều Kiện Của Tham Số Để 2 Nghiệm Liên Hệ Với Nhau Bởi 1 Hệ Thức Cho Trước 10
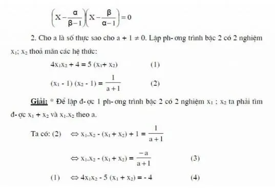
4.5. Thiết Lập Phương Trình Bậc 2
Dựa trên cơ sở của định lý Vi-et, ta thiết lập phương trình bậc 2 có nghiệm là x1, x2. Nếu (x1+x2=S); (x1.x2=P) thì nghiệm của phương trình là x1, x2. Xét các ví dụ:
Thiết Lập Phương Trình Bậc 2
Thiết Lập Phương Trình Bậc 2
Thiết Lập Phương Trình Bậc 2
Thiết Lập Phương Trình Bậc 2
4.6. Xét Dấu Các Nghiệm
Xét Dấu Các Nghiệm 1
Xét Dấu Các Nghiệm 2
Xét Dấu Các Nghiệm 3
Xét Dấu Các Nghiệm 4
Xét Dấu Các Nghiệm 5
5. Bài tập ứng dụng định lý Vi-et
Sau đây là những bài tập áp dụng định lý Vi-et đã học ở trên mà chúng ta cùng tham khảo sau đây.
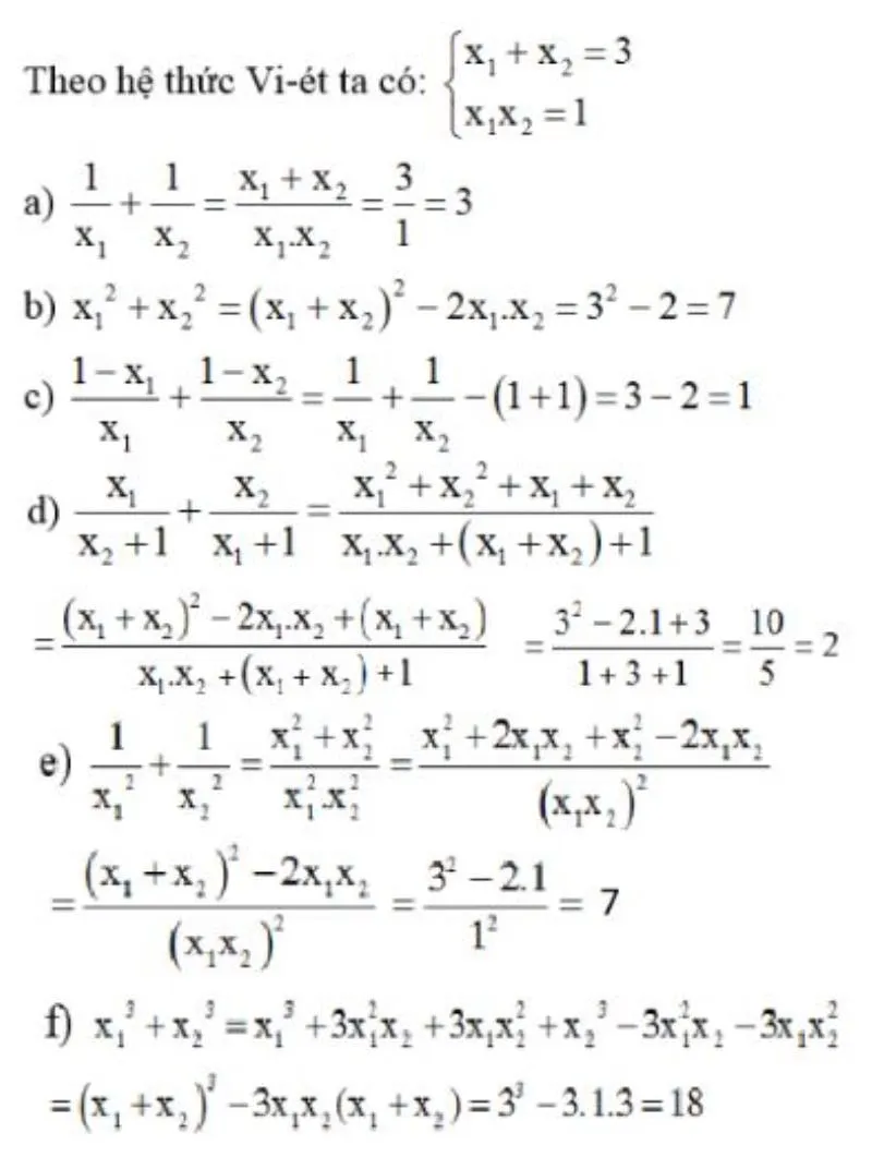
Bài tập 1: Gọi các nghiệm của phương trình (x^2 – 3x + 1 = 0) là x1, x2. Yêu cầu tìm giá trị của các biểu thức mà không giải phương trình.
Bài tập ứng dụng định lý Viète 6
Bài giải: Có (Delta = (-3)^2 – 4 cdot 1 cdot 1 = 9 – 4 = 5 > 0) nên phương trình có nghiệm x1, x2. Theo định lý Vi-et, ta có:
(x_1 + x_2 = frac{-(-3)}{1} = 3)
(x_1 cdot x_2 = frac{1}{1} = 1)
Bài tập ứng dụng định lý Viète 7
Bài tập 2: Đề bài có phương trình (x^2 + (2m – 1)x – m = 0)
a. Chứng minh với mọi m phương trình luôn có nghiệm.
b. Gọi x1, x2 là 2 nghiệm. Để biểu thức (A = x_1^2 + x_2^2 – x_1 cdot x_2) có giá trị nhỏ nhất, hãy tìm giá trị của m.
Bài giải:
a. Để phương trình luôn có nghiệm, ta cần (Delta ge 0).
(Delta = (2m-1)^2 – 4(1)(-m) = 4m^2 – 4m + 1 + 4m = 4m^2 + 1).
Vì (4m^2 ge 0) với mọi m, nên (Delta = 4m^2 + 1 ge 1 > 0).
Do đó, phương trình luôn có hai nghiệm phân biệt với mọi m.
b. Theo định lý Vi-et, ta có:
(x_1 + x_2 = -(2m – 1) = 1 – 2m)
(x_1 cdot x_2 = -m)
Biểu thức A có thể viết lại như sau:
(A = (x_1^2 + 2x_1x_2 + x_2^2) – 3x_1x_2 = (x_1 + x_2)^2 – 3x_1x2)
Thay các biểu thức Vi-et vào:
(A = (1 – 2m)^2 – 3(-m) = 1 – 4m + 4m^2 + 3m = 4m^2 – m + 1)
Đây là một tam thức bậc hai theo biến m. Để A có giá trị nhỏ nhất, ta tìm đỉnh của parabol (f(m) = 4m^2 – m + 1). Giá trị nhỏ nhất đạt được tại (m = frac{-(-1)}{2 cdot 4} = frac{1}{8}).
Khi đó, giá trị nhỏ nhất của A là:
(A{min} = 4left(frac{1}{8}right)^2 – frac{1}{8} + 1 = 4left(frac{1}{64}right) – frac{1}{8} + 1 = frac{1}{16} – frac{2}{16} + frac{16}{16} = frac{15}{16}).
Vậy, giá trị của m để A có giá trị nhỏ nhất là (m = frac{1}{8}).
Bài tập ứng dụng định lý Viète 8
Bài tập 3: Tìm giá trị của k của phương trình (x^2 + 2x + k = 0) để nghiệm x1, x2 thỏa mãn 1 trong các điều kiện như sau:
- (x1 – x2 = 14)
- (x1 = 2×2)
- (x_1^2 + x_2^2 = 1)
- (1/x1 + 1/x2 = 2)
Bài giải:
Trước hết, phương trình có nghiệm khi (Delta = 2^2 – 4(1)(k) = 4 – 4k ge 0), tức là (k le 1).
Theo định lý Vi-et: (x_1 + x_2 = -2) và (x_1 cdot x_2 = k).
-
(x1 – x2 = 14)
Ta có ((x_1 – x_2)^2 = (x_1 + x_2)^2 – 4x_1x_2).
(14^2 = (-2)^2 – 4k)
(196 = 4 – 4k)
(4k = 4 – 196 = -192)
(k = -48).
Điều kiện (k le 1) được thỏa mãn. -
(x1 = 2×2)
Thay vào (x_1 + x_2 = -2), ta được (2x_2 + x_2 = -2 implies 3x_2 = -2 implies x_2 = -2/3).
Suy ra (x_1 = 2x_2 = 2(-2/3) = -4/3).
Khi đó, (k = x_1 cdot x_2 = (-4/3)(-2/3) = 8/9).
Điều kiện (k le 1) được thỏa mãn. -
(x_1^2 + x_2^2 = 1)
Ta có (x_1^2 + x_2^2 = (x_1 + x_2)^2 – 2x_1x_2).
(1 = (-2)^2 – 2k)
(1 = 4 – 2k)
(2k = 4 – 1 = 3)
(k = 3/2).
Điều kiện (k le 1) không được thỏa mãn, vậy không có giá trị k nào thỏa mãn. -
(1/x1 + 1/x2 = 2)
Quy đồng mẫu số: (frac{x_1 + x_2}{x_1x_2} = 2).
(frac{-2}{k} = 2).
(-2 = 2k)
(k = -1).
Điều kiện (k le 1) được thỏa mãn.
Bài tập ứng dụng định lý Viète
Hy vọng những kiến thức về định lý Vi-ét ở trên đã mang tới cho bạn những thông tin mà mình đang cần. Cùng học tốt môn toán mỗi ngày bằng cách truy cập và làm bài trên vieclam123.vn nhé.
>> Xem thêm:
Ngày chỉnh sửa nội dung mới nhất Tháng 1 7, 2026 by Thầy Đông

Thầy Đông – Giảng viên Đại học Công nghiệp Hà Nội, giáo viên luyện thi THPT
Thầy Đông bắt đầu sự nghiệp tại một trường THPT ở quê nhà, sau đó trúng tuyển giảng viên Đại học Công nghiệp Hà Nội nhờ chuyên môn vững và kinh nghiệm giảng dạy thực tế. Với nhiều năm đồng hành cùng học sinh, thầy được biết đến bởi phong cách giảng dạy rõ ràng, dễ hiểu và gần gũi. Hiện thầy giảng dạy tại dehocsinhgioi, tiếp tục truyền cảm hứng học tập cho học sinh cấp 3 thông qua các bài giảng súc tích, thực tiễn và giàu nhiệt huyết.
