Chứng Minh Định Lý Viète Cho Biểu Thức (x_1^4 – x_2^4)

Chứng minh định lý Viète là một kỹ năng quan trọng trong toán học, giúp liên hệ giữa các nghiệm của một đa thức với các hệ số của nó. Trong phạm vi bài viết này, chúng ta sẽ đi sâu vào cách tách biểu thức (x_1^4 – x_2^4) và sau đó áp dụng tư duy của định lý Viète để hiểu rõ hơn về mối quan hệ giữa các biến số.

Đề Bài
Để tách biểu thức (x_1^4 – x_2^4) và chứng minh bằng định lý Viète, trước tiên chúng ta có thể viết biểu thức này dưới dạng nhân tử.
Biểu thức (x_1^4 – x_2^4) có thể được viết thành sản phẩm của hai yếu tố như sau:
x_1^4 - x_2^4 = (x_1^2 - x_2^2)(x_1^2 + x_2^2)Tiếp tục, chúng ta có thể tách yếu tố (x_1^2 – x_2^2):
x_1^2 - x_2^2 = (x_1 - x_2)(x_1 + x_2)Như vậy, ta có:
x_1^4 - x_2^4 = (x_1 - x_2)(x_1 + x_2)(x_1^2 + x_2^2)Đến đây, chúng ta đã tách được biểu thức (x_1^4 – x_2^4) thành các yếu tố.

Phân Tích Yêu Cầu
Yêu cầu chính của bài toán là thực hiện hai bước: thứ nhất là phân tích biểu thức đại số (x_1^4 – x_2^4) thành các nhân tử đơn giản hơn, và thứ hai là liên hệ quá trình này với nguyên lý của định lý Viète. Việc phân tích thành nhân tử giúp chúng ta nhìn thấy cấu trúc cơ bản của biểu thức, trong khi việc áp dụng định lý Viète cho phép chúng ta suy luận về mối quan hệ giữa các biến số (x_1) và (x_2) nếu chúng là nghiệm của một phương trình đa thức nào đó.
Kiến Thức/Nền Tảng Cần Dùng
Để giải quyết bài toán này, chúng ta cần nắm vững các kiến thức sau:
- Hằng đẳng thức đáng nhớ: Đặc biệt là hiệu hai bình phương: (a^2 – b^2 = (a – b)(a + b)).
- Phân tích đa thức thành nhân tử: Kỹ thuật nhóm hạng tử, sử dụng hằng đẳng thức để hạ bậc hoặc tách biến.
- Định lý Viète: Phát biểu rằng với một phương trình đa thức bậc (n), có dạng (an x^n + a{n-1} x^{n-1} + dots + a_1 x + a_0 = 0), với các nghiệm là (x_1, x_2, dots, x_n), thì tồn tại các mối quan hệ giữa tổng và tích của các nghiệm với các hệ số của đa thức. Cụ thể:
- Tổng các nghiệm: (x_1 + x_2 + dots + xn = -frac{a{n-1}}{a_n})
- Tổng các tích từng cặp nghiệm: (sum_{1 le i < j le n} x_i xj = frac{a{n-2}}{a_n})
- …
- Tích của các nghiệm: (x_1 x_2 dots x_n = (-1)^n frac{a_0}{a_n})
Trong trường hợp của biểu thức (x_1^4 – x_2^4), nếu coi (x_1) và (x_2) là các nghiệm của một phương trình bậc 4 nào đó, định lý Viète sẽ cung cấp công cụ để liên hệ chúng với các hệ số của phương trình đó.
Hướng Dẫn Giải Chi Tiết
Chúng ta sẽ tiến hành phân tích biểu thức (x_1^4 – x_2^4) từng bước một.
Bước 1: Áp dụng hiệu hai bình phương lần thứ nhất.
Biểu thức (x_1^4 – x_2^4) có thể được xem như là hiệu của hai bình phương, với (a = x_1^2) và (b = x_2^2).
Áp dụng công thức (a^2 – b^2 = (a – b)(a + b)), ta có:
x_1^4 - x_2^4 = (x_1^2)^2 - (x_2^2)^2 = (x_1^2 - x_2^2)(x_1^2 + x_2^2)
Bước 2: Tiếp tục áp dụng hiệu hai bình phương.
Nhân tử đầu tiên là (x_1^2 – x_2^2), đây lại là một hiệu hai bình phương nữa, với (a = x_1) và (b = x_2).
Áp dụng công thức (a^2 – b^2 = (a – b)(a + b)) cho nhân tử này, ta được:
x_1^2 - x_2^2 = (x_1 - x_2)(x_1 + x_2)
Bước 3: Kết hợp các nhân tử.
Thay kết quả từ Bước 2 vào biểu thức đã phân tích ở Bước 1, ta có dạng nhân tử đầy đủ của (x_1^4 – x_2^4):
x_1^4 - x_2^4 = (x_1 - x_2)(x_1 + x_2)(x_1^2 + x_2^2)
Bước 4: Liên hệ với Định lý Viète.
Bây giờ, chúng ta xem xét cách định lý Viète có thể được áp dụng. Giả sử (x_1) và (x_2) là các nghiệm của một phương trình đa thức. Nếu chúng ta xét một phương trình bậc 4 với các nghiệm là (x_1, x_2, x_3, x_4), thì theo định lý Viète:
- Tổng các nghiệm: (x_1 + x_2 + x_3 + x_4 = -frac{a_3}{a_4})
- Tích các nghiệm: (x_1 x_2 x_3 x_4 = frac{a_0}{a_4})
Tuy nhiên, biểu thức ban đầu chỉ chứa (x_1) và (x_2). Để áp dụng định lý Viète một cách trực tiếp, chúng ta cần xem xét một phương trình mà (x_1) và (x_2) là các nghiệm.
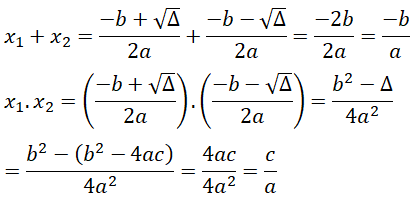
Nếu (x_1) và (x_2) là hai nghiệm của một phương trình bậc hai (ax^2 + bx + c = 0), thì theo định lý Viète:
x_1 + x_2 = -\frac{b}{a}
x_1 x_2 = \frac{c}{a}
Chúng ta có thể biểu diễn (x_1^2 + x_2^2) thông qua tổng và tích của (x_1, x_2):
x_1^2 + x_2^2 = (x_1 + x_2)^2 - 2x_1 x_2
Thay thế các biểu thức từ định lý Viète:
x_1^2 + x_2^2 = \left(-\frac{b}{a}\right)^2 - 2left(\frac{c}{a}\right) = \frac{b^2}{a^2} - \frac{2ac}{a^2} = \frac{b^2 - 2ac}{a^2}
Và biểu thức (x_1^4 – x_2^4) có thể được viết lại như sau:
x_1^4 - x_2^4 = (x_1 - x_2)(x_1 + x_2)(x_1^2 + x_2^2)
Trong đó, (x_1 + x_2) và (x_1^2 + x_2^2) có thể được biểu diễn bằng các hệ số của phương trình bậc hai mà (x_1, x_2) là nghiệm. Biểu thức (x_1 – x_2) cũng có thể được liên hệ thông qua ((x_1 – x_2)^2 = (x_1 + x_2)^2 – 4x_1 x_2).
Mẹo kiểm tra: Sau khi phân tích, hãy thử nhân ngược các nhân tử lại với nhau để đảm bảo chúng trả về biểu thức ban đầu (x_1^4 – x_2^4).
(x_1 - x_2)(x_1 + x_2)(x_1^2 + x_2^2) = (x_1^2 - x_2^2)(x_1^2 + x_2^2) = (x_1^2)^2 - (x_2^2)^2 = x_1^4 - x_2^4
Lỗi hay gặp:
- Nhầm lẫn hoặc quên áp dụng hằng đẳng thức hiệu hai bình phương.
- Không hiểu rõ cách định lý Viète liên hệ nghiệm với hệ số, dẫn đến việc áp dụng sai hoặc không áp dụng được.
- Sai sót trong việc bọc công thức KaTeX hoặc cú pháp KaTeX.
Đáp Án/Kết Quả
Biểu thức (x_1^4 – x_2^4) được tách thành dạng nhân tử là:
x_1^4 - x_2^4 = (x_1 - x_2)(x_1 + x_2)(x_1^2 + x_2^2)
Nếu (x_1) và (x_2) là nghiệm của một phương trình bậc hai (ax^2 + bx + c = 0), thì các nhân tử (x_1 + x_2) và (x_1^2 + x_2^2) có thể được biểu diễn thông qua các hệ số (a, b, c) bằng định lý Viète. Cụ thể, (x_1 + x_2 = -frac{b}{a}) và (x_1^2 + x_2^2 = frac{b^2 – 2ac}{a^2}).
Conclusion
Quá trình tách biểu thức (x_1^4 – x_2^4) cho thấy sức mạnh của việc áp dụng các hằng đẳng thức đại số cơ bản. Khi kết hợp với nguyên lý của chứng minh định lý Viète, chúng ta có thể hiểu sâu sắc hơn về mối liên hệ giữa các nghiệm và hệ số của đa thức, mở ra nhiều hướng giải quyết các bài toán phức tạp hơn trong đại số.
Ngày chỉnh sửa nội dung mới nhất Tháng 1 14, 2026 by Thầy Đông

Thầy Đông – Giảng viên Đại học Công nghiệp Hà Nội, giáo viên luyện thi THPT
Thầy Đông bắt đầu sự nghiệp tại một trường THPT ở quê nhà, sau đó trúng tuyển giảng viên Đại học Công nghiệp Hà Nội nhờ chuyên môn vững và kinh nghiệm giảng dạy thực tế. Với nhiều năm đồng hành cùng học sinh, thầy được biết đến bởi phong cách giảng dạy rõ ràng, dễ hiểu và gần gũi. Hiện thầy giảng dạy tại dehocsinhgioi, tiếp tục truyền cảm hứng học tập cho học sinh cấp 3 thông qua các bài giảng súc tích, thực tiễn và giàu nhiệt huyết.

References:
Casino m8trix https://gamingwiki.space/wiki/Farm_to_Table_Bistro_Fishkill_Menu_Reviews_224_Photos_67
References:
Blackjack strategy trainer lexiekjqe910626.blog2news.com