Giải Toán Lớp 8 Trang 22, 23, 24 Sách KNTT Tập 1: Phép Chia Đa Thức Cho Đơn Thức

Trong hành trình chinh phục kiến thức Toán học lớp 8, việc nắm vững các phép toán cơ bản là vô cùng quan trọng. Bài viết này tập trung vào Giải toán lớp 8 trang 22, 23, 24 sách KNTT tập 1, đặc biệt là các bài tập liên quan đến phép chia đa thức cho đơn thức. Chúng tôi sẽ cung cấp phương pháp giải chi tiết, kiến thức nền tảng và những lưu ý quan trọng để học sinh có thể tự tin giải quyết các dạng bài này, qua đó nâng cao khả năng làm toán của mình.

Đề Bài
Các bài tập trong phần này thuộc SGK Toán 8 tập 1 sách Kết nối tri thức (KNTT), bao gồm các phần Luyện tập, Hoạt động và Bài tập từ trang 22 đến 24. Cụ thể:
Luyện tập 1 trang 19 sgk Toán 8 tập 1 KNTT
(Dữ kiện và yêu cầu cụ thể của bài tập này không được trình bày dưới dạng văn bản trong bài gốc, nhưng liên quan đến phép nhân đơn thức với đa thức).
Hoạt động 1 trang 16 sgk Toán 8 tập 1 KNTT
(Dữ kiện và yêu cầu cụ thể của bài tập này không được trình bày dưới dạng văn bản trong bài gốc, nhưng liên quan đến phép nhân đơn thức với đa thức).
Hoạt động 2 trang 20 sgk Toán 8 tập 1 KNTT
(Dữ kiện và yêu cầu cụ thể của bài tập này không được trình bày dưới dạng văn bản trong bài gốc, nhưng liên quan đến phép nhân đơn thức với đa thức).
Luyện tập 2 trang 20 sgk Toán 8 tập 1 KNTT
(Dữ kiện và yêu cầu cụ thể của bài tập này không được trình bày dưới dạng văn bản trong bài gốc, nhưng liên quan đến phép nhân đơn thức với đa thức).
Vận dụng trang 20 sgk Toán 8 tập 1 KNTT
(Dữ kiện và yêu cầu cụ thể của bài tập này không được trình bày dưới dạng văn bản trong bài gốc, nhưng liên quan đến phép nhân đơn thức với đa thức).
Hoạt động 3 trang 20 sgk Toán 8 tập 1 KNTT
(Dữ kiện và yêu cầu cụ thể của bài tập này không được trình bày dưới dạng văn bản trong bài gốc, nhưng liên quan đến phép nhân đa thức với đa thức).
Hoạt động 4 trang 20 sgk Toán 8 tập 1 KNTT
(Dữ kiện và yêu cầu cụ thể của bài tập này không được trình bày dưới dạng văn bản trong bài gốc, nhưng liên quan đến phép nhân đa thức với đa thức).
Luyện tập 3 trang 21 sgk Toán 8 tập 1 KNTT
(Dữ kiện và yêu cầu cụ thể của bài tập này không được trình bày dưới dạng văn bản trong bài gốc, nhưng liên quan đến phép nhân đa thức với đa thức).
Bài tập 1.24 trang 21 sgk Toán 8 tập 1 KNTT
(Dữ kiện và yêu cầu cụ thể của bài tập này không được trình bày dưới dạng văn bản trong bài gốc).
Bài tập 1.25 trang 21 sgk Toán 8 tập 1 KNTT
(Dữ kiện và yêu cầu cụ thể của bài tập này không được trình bày dưới dạng văn bản trong bài gốc).
Bài tập 1.26 trang 21 sgk Toán 8 tập 1 KNTT
(Dữ kiện và yêu cầu cụ thể của bài tập này không được trình bày dưới dạng văn bản trong bài gốc).
Bài tập 1.27 trang 21 sgk Toán 8 tập 1 KNTT
(Dữ kiện và yêu cầu cụ thể của bài tập này không được trình bày dưới dạng văn bản trong bài gốc).
Bài tập 1.28 trang 21 sgk Toán 8 tập 1 KNTT
(Dữ kiện và yêu cầu cụ thể của bài tập này không được trình bày dưới dạng văn bản trong bài gốc).
Bài tập 1.29 trang 21 sgk Toán 8 tập 1 KNTT
(Dữ kiện và yêu cầu cụ thể của bài tập này không được trình bày dưới dạng văn bản trong bài gốc).
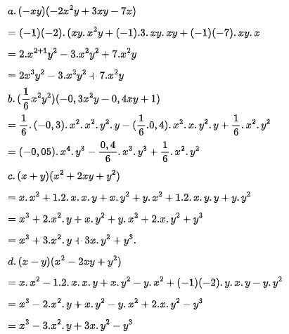
Lưu ý: Do bài viết gốc không cung cấp lời giải dưới dạng văn bản rõ ràng mà chủ yếu là hình ảnh, phần này chỉ liệt kê các đề bài theo cấu trúc ban đầu.

Phân Tích Yêu Cầu
Các bài tập trong trang 22, 23, 24 của sách Toán lớp 8 tập 1, sách Kết nối tri thức (KNTT) chủ yếu xoay quanh việc củng cố và vận dụng các quy tắc nhân và chia đa thức cho đơn thức. Yêu cầu chung là học sinh phải thực hiện đúng các phép toán đại số, rút gọn biểu thức và xác định kết quả cuối cùng một cách chính xác. Bài viết gốc tập trung vào cả phép nhân đa thức và phép chia đa thức cho đơn thức, vì hai phép toán này có mối liên hệ mật thiết với nhau.
Kiến Thức/Nền Tảng Cần Dùng
Để giải quyết các bài tập này, học sinh cần nắm vững các kiến thức sau:
-
Quy tắc nhân đơn thức với đa thức:
- Khi nhân một đơn thức với một đa thức, ta nhân đơn thức đó với từng hạng tử của đa thức.
- Công thức tổng quát: A \cdot (B + C) = A \cdot B + A \cdot C.
- Ví dụ: 2x \cdot (3x^2 + 5y) = (2x) \cdot (3x^2) + (2x) \cdot (5y) = 6x^3 + 10xy.
-
Quy tắc chia đa thức cho đơn thức:
- Để chia đa thức $P(x)$ cho đơn thức $Q(x)$ (trong đó mỗi hạng tử của $P(x)$ chia hết cho $Q(x)$), ta chia từng hạng tử của $P(x)$ cho $Q(x)$ rồi cộng các kết quả lại.
- Công thức tổng quát: \dfrac{A + B}{C} = \dfrac{A}{C} + \dfrac{B}{C}.
- Điều kiện để phép chia thực hiện được: Mỗi hạng tử của đa thức phải chia hết cho đơn thức.
-
Quy tắc chia hai lũy thừa cùng cơ số:
- Khi chia hai lũy thừa cùng cơ số, ta giữ nguyên cơ số và trừ các số mũ.
- Công thức: x^m : x^n = x^{m-n} (với m \ge n).
Ví dụ minh họa về quy tắc chia:
-
Chia hai đơn thức:
- Ví dụ: Chia 6x^3y^2 cho 2xy.
- Ta thực hiện chia phần hệ số: 6 div 2 = 3.
- Chia phần biến: x^3 div x = x^{3-1} = x^2.
- Chia phần biến: y^2 div y = y^{2-1} = y^1 = y.
- Kết quả: 3x^2y.
-
Chia đa thức cho đơn thức:
- Ví dụ: Chia đa thức 4x^2y - 6xy^2 cho đơn thức 2xy.
- Ta áp dụng quy tắc chia từng hạng tử:
- Hạng tử thứ nhất: \dfrac{4x^2y}{2xy} = \dfrac{4}{2} \cdot \dfrac{x^2}{x} \cdot \dfrac{y}{y} = 2 \cdot x^{2-1} \cdot y^{1-1} = 2x.
- Hạng tử thứ hai: \dfrac{-6xy^2}{2xy} = \dfrac{-6}{2} \cdot \dfrac{x}{x} \cdot \dfrac{y^2}{y} = -3 \cdot x^{1-1} \cdot y^{2-1} = -3y.
- Kết quả: 2x - 3y.
Hướng Dẫn Giải Chi Tiết
Phần này sẽ đi sâu vào cách giải các dạng bài tập thường gặp, áp dụng kiến thức nền tảng đã nêu.
Dạng 1: Nhân đơn thức với đa thức
Bài tập yêu cầu thực hiện phép nhân một đơn thức với một đa thức.
Các bước thực hiện:
- Xác định đơn thức và đa thức cần nhân.
- Áp dụng quy tắc phân phối: Nhân đơn thức với từng hạng tử của đa thức.
- Áp dụng quy tắc nhân các lũy thừa cùng cơ số để rút gọn kết quả.
- Cộng hoặc trừ các hạng tử đồng dạng (nếu có) để thu được kết quả cuối cùng.
Ví dụ: Tính 3x^2(2x - 5y + 1).
- Nhân 3x^2 với 2x: (3x^2) \cdot (2x) = 6x^{2+1} = 6x^3.
- Nhân 3x^2 với -5y: (3x^2) \cdot (-5y) = -15x^2y.
- Nhân 3x^2 với $1$: (3x^2) \cdot (1) = 3x^2.
- Kết quả cuối cùng: 6x^3 - 15x^2y + 3x^2.
Dạng 2: Chia đa thức cho đơn thức
Bài tập yêu cầu thực hiện phép chia một đa thức cho một đơn thức.
Các bước thực hiện:
- Kiểm tra xem mỗi hạng tử của đa thức có chia hết cho đơn thức chia hay không. Nếu không, phép chia không thực hiện được theo quy tắc cơ bản này.
- Chia từng hạng tử của đa thức cho đơn thức chia.
- Cộng các kết quả của từng phép chia lại.
Ví dụ: Tính \dfrac{8x^3y^2 - 12x^2y^3 + 4xy}{2xy}.
- Chia hạng tử thứ nhất: \dfrac{8x^3y^2}{2xy} = 4x^{3-1}y^{2-1} = 4x^2y.
- Chia hạng tử thứ hai: \dfrac{-12x^2y^3}{2xy} = -6x^{2-1}y^{3-1} = -6xy^2.
- Chia hạng tử thứ ba: \dfrac{4xy}{2xy} = 2x^{1-1}y^{1-1} = 2.
- Kết quả cuối cùng: 4x^2y - 6xy^2 + 2.
Dạng 3: Vận dụng vào bài tập nâng cao
Các bài tập dạng vận dụng thường yêu cầu kết hợp phép nhân và chia đa thức, hoặc sử dụng các phép toán này để giải quyết một bài toán có nội dung thực tế.
Các bước chung:
- Đọc kỹ đề bài, xác định các đại lượng đã cho và yêu cầu tìm gì.
- Chuyển đổi bài toán về dạng biểu thức đại số.
- Áp dụng linh hoạt các quy tắc nhân, chia đa thức cho đơn thức để rút gọn và tìm kết quả.
- Kiểm tra lại kết quả.
Mẹo kiểm tra:
- Đối với phép nhân: Lấy kết quả nhân ngược lại với đơn thức ban đầu. Nếu ra lại đa thức ban đầu thì phép nhân là đúng.
- Đối với phép chia: Lấy thương nhân với số chia. Nếu ra lại số bị chia thì phép chia là đúng.
- Đối với bài toán thực tế: Thay các giá trị đã biết vào biểu thức kết quả để xem có hợp lý với bối cảnh bài toán hay không.
Lỗi hay gặp:
- Nhầm lẫn quy tắc lũy thừa: Quên cộng hoặc trừ số mũ khi nhân hoặc chia.
- Sai dấu: Không xác định đúng dấu của từng hạng tử hoặc kết quả phép nhân/chia.
- Chia thiếu hạng tử: Khi chia đa thức cho đơn thức, quên chia một hoặc nhiều hạng tử.
- Không kiểm tra điều kiện chia hết: Thực hiện phép chia mà không đảm bảo mỗi hạng tử của đa thức đều chia hết cho đơn thức.
Đáp Án/Kết Quả
Sau khi áp dụng các bước giải chi tiết, học sinh sẽ thu được kết quả cuối cùng cho từng bài tập.
- Phép nhân đơn thức với đa thức: Kết quả là một đa thức mới, không còn dấu ngoặc.
- Phép chia đa thức cho đơn thức: Kết quả là một đa thức hoặc một biểu thức đại số đã được rút gọn, trong đó mỗi hạng tử của đa thức ban đầu đã được chia cho đơn thức.
- Bài toán vận dụng: Kết quả có thể là một giá trị cụ thể, một biểu thức rút gọn, hoặc một đại lượng được tính toán dựa trên yêu cầu của đề bài.
Ví dụ, kết quả của phép tính \dfrac{8x^3y^2 - 12x^2y^3 + 4xy}{2xy} là 4x^2y - 6xy^2 + 2.
Để hoàn thiện kiến thức, học sinh cần xem lại các bài tập đã giải và tự làm thêm các bài tương tự. Bài tập Giải toán lớp 8 trang 19, 20, 21 sách KNTT tập 1 – Bài 4: Phép nhân đa thức cung cấp nền tảng vững chắc, còn Giải toán lớp 8 trang 25, 26 sách KNTT tập 1 – Luyện tập chung sẽ giúp tổng hợp và nâng cao kỹ năng.
Việc nắm vững Giải toán lớp 8 trang 22, 23, 24 sách KNTT tập 1 về phép chia đa thức cho đơn thức không chỉ giúp học sinh hoàn thành tốt các bài kiểm tra mà còn là nền tảng quan trọng cho các kiến thức đại số nâng cao hơn ở các lớp sau. Hãy luyện tập thường xuyên để làm chủ các kỹ năng này.
Ngày chỉnh sửa nội dung mới nhất Tháng 1 7, 2026 by Thầy Đông

Thầy Đông – Giảng viên Đại học Công nghiệp Hà Nội, giáo viên luyện thi THPT
Thầy Đông bắt đầu sự nghiệp tại một trường THPT ở quê nhà, sau đó trúng tuyển giảng viên Đại học Công nghiệp Hà Nội nhờ chuyên môn vững và kinh nghiệm giảng dạy thực tế. Với nhiều năm đồng hành cùng học sinh, thầy được biết đến bởi phong cách giảng dạy rõ ràng, dễ hiểu và gần gũi. Hiện thầy giảng dạy tại dehocsinhgioi, tiếp tục truyền cảm hứng học tập cho học sinh cấp 3 thông qua các bài giảng súc tích, thực tiễn và giàu nhiệt huyết.

References:
Online casino real money https://ronaldowfb515954.blogofchange.com/
References:
Slot machines games https://doc.adminforge.de/