Giải Bài Tập Sách Bài Tập Toán Lớp 9 Tập 1 Trang 11: Liên Hệ Giữa Phép Chia Và Phép Khai Phương
Trong hành trình chinh phục tri thức Toán học lớp 9, việc nắm vững các quy tắc và áp dụng linh hoạt chúng vào giải bài tập là vô cùng quan trọng. Bài viết này tập trung vào giải toán lớp 9 tập 1 trang 11, cung cấp lời giải chi tiết cho các bài tập thuộc chủ đề “Liên hệ giữa phép chia và phép khai phương”. Bài viết này không chỉ cung cấp đáp án mà còn đi sâu vào phương pháp, các kiến thức nền tảng cần thiết, mẹo kiểm tra và lỗi hay gặp, giúp học sinh hiểu sâu bản chất và tự tin giải quyết các dạng toán tương tự.
Đề Bài
Dưới đây là các bài tập được trích xuất từ Sách bài tập Toán lớp 9, Tập 1, liên quan đến chủ đề “Liên hệ giữa phép chia và phép khai phương”, đặc biệt tập trung vào các trang 10 và 11.
Bài 36 trang 10 Sách bài tập Toán 9 Tập 1:
Áp dụng quy tắc khai phương, hãy tính:
Hình ảnh minh họa bài 36
Bài 37 trang 11 Sách bài tập Toán 9 Tập 1:
Áp dụng quy tắc chia hai căn bậc hai, hãy tính:
Hình ảnh minh họa bài 37
Bài 38 trang 11 Sách bài tập Toán 9 Tập 1:
Cho các biểu thức:
a. Tìm x để A có nghĩa. Tìm x để B có nghĩa.
b. Với giá trị nào của x thì A = B?
Bài 39 trang 11 Sách bài tập Toán 9 Tập 1:
Biểu diễn biểu thức với a < 0, b < 0 ở dạng thương của hai căn thức.
Áp dụng tính biểu thức .
Bài 40 trang 11 Sách bài tập Toán 9 Tập 1:
Rút gọn biểu thức:
Hình ảnh minh họa bài 40
Bài 41 trang 11 Sách bài tập Toán 9 Tập 1:
Rút gọn các biểu thức:
Hình ảnh minh họa bài 41
Bài 42 trang 12 Sách bài tập Toán 9 Tập 1:
Rút gọn biểu thức với điều kiện đã cho của x rồi tính giá trị của nó:
Hình ảnh minh họa bài 42
Bài 43 trang 12 Sách bài tập Toán 9 Tập 1:
Tìm x thỏa mãn điều kiện:
Hình ảnh minh họa bài 43
Bài 44 trang 12 Sách bài tập Toán 9 Tập 1:
Cho hai số a, b, không âm. Chứng minh:
(Bất đẳng thức Cô-si cho hai số không âm)
Dấu đẳng thức xảy ra khi nào?
Bài 45 trang 12 Sách bài tập Toán 9 Tập 1:
Với a ≥ 0 và b ≥ 0, chứng minh:
Bài 46 trang 12 Sách bài tập Toán 9 Tập 1:
Với a dương, chứng minh a + 1/a ≥ 2
Bài 1 trang 12 Sách bài tập Toán 9 Tập 1 (Bài tập bổ xung):
Giá trị của √(49/0,09) bằng
A. 7/3; B. 70/3;
C. 7/30 D. 700/3.
Hãy chọn đáp án đúng.
Phân Tích Yêu Cầu
Bài tập trong Sách bài tập Toán lớp 9, đặc biệt là các bài thuộc chủ đề liên hệ giữa phép chia và phép khai phương, yêu cầu học sinh vận dụng nhuần nhuyễn các quy tắc đã học. Cụ thể, các bài toán đòi hỏi khả năng:
- Áp dụng quy tắc khai phương một thương:
sqrt{frac{a}{b}} = frac{sqrt{a}}{sqrt{b}}vớib > 0. - Áp dụng quy tắc chia hai căn bậc hai:
frac{sqrt{a}}{sqrt{b}} = sqrt{frac{a}{b}}vớia ge 0, b > 0. - Xác định điều kiện xác định của biểu thức chứa căn thức, đặc biệt là khi có căn ở mẫu số.
- Sử dụng các phép biến đổi đại số kết hợp với quy tắc căn bậc hai để rút gọn biểu thức.
- Chứng minh bất đẳng thức, thường liên quan đến các biểu thức không âm.
Các bài tập được sắp xếp từ dễ đến khó, từ việc tính toán trực tiếp đến việc chứng minh các mệnh đề toán học. Việc hiểu rõ yêu cầu từng bài và liên hệ với các quy tắc là bước đầu tiên để đưa ra lời giải chính xác.
Kiến Thức/Nền Tảng Cần Dùng
Để giải quyết các bài tập này, học sinh cần nắm vững các định lý và quy tắc sau:
-
Quy tắc khai phương một thương:
Vớia ge 0vàb > 0, ta có:
sqrt{frac{a}{b}} = frac{sqrt{a}}{sqrt{b}} -
Quy tắc chia hai căn bậc hai:
Vớia ge 0vàb > 0, ta có:
frac{sqrt{a}}{sqrt{b}} = sqrt{frac{a}{b}} -
Điều kiện xác định của căn bậc hai:
Biểu thứcsqrt{A}có nghĩa khiA ge 0.
Biểu thứcfrac{1}{sqrt{A}}có nghĩa khiA > 0. -
Bất đẳng thức Cô-si cho hai số không âm:
Với hai số thực không âmavàb, ta có:
a + b ge 2sqrt{ab}
Dấu đẳng thức xảy ra khi và chỉ khia = b. -
Tính chất của giá trị tuyệt đối (liên quan đến Bài 42):
|x| = xnếux ge 0
|x| = -xnếux < 0 -
Hằng đẳng thức đáng nhớ:
(√a - √b)^2 = a - 2√ab + b(vớia ge 0, b ge 0)
(√a + √b)^2 = a + 2√ab + b(vớia ge 0, b ge 0)
Việc hiểu rõ các quy tắc này sẽ giúp học sinh tiếp cận bài toán một cách hệ thống và logic.
Hướng Dẫn Giải Chi Tiết
Bài 36 trang 10 Sách bài tập Toán 9 Tập 1:
Yêu cầu: Tính giá trị các biểu thức bằng cách áp dụng quy tắc khai phương một thương.
Lời giải:
Chúng ta áp dụng quy tắc sqrt{frac{a}{b}} = frac{sqrt{a}}{sqrt{b}} với b > 0.
-
Ý 1:
sqrt{frac{144}{121}} = frac{sqrt{144}}{sqrt{121}} = frac{12}{11}
Mẹo kiểm tra: Tính(12/11)^2 = 144/121. -
Ý 2:
sqrt{frac{169}{144}} = frac{sqrt{169}}{sqrt{144}} = frac{13}{12}
Mẹo kiểm tra: Tính(13/12)^2 = 169/144. -
Ý 3:
sqrt{frac{196}{121}} = frac{sqrt{196}}{sqrt{121}} = frac{14}{11}
Mẹo kiểm tra: Tính(14/11)^2 = 196/121. -
Ý 4:
sqrt{frac{289}{225}} = frac{sqrt{289}}{sqrt{225}} = frac{17}{15}
Mẹo kiểm tra: Tính(17/15)^2 = 289/225.
Lỗi hay gặp: Nhầm lẫn giữa số và căn bậc hai của số đó. Cần nhớ sqrt{x^2} = |x|.
Bài 37 trang 11 Sách bài tập Toán 9 Tập 1:
Yêu cầu: Tính giá trị các biểu thức bằng cách áp dụng quy tắc chia hai căn bậc hai.
Lời giải:
Chúng ta áp dụng quy tắc frac{sqrt{a}}{sqrt{b}} = sqrt{frac{a}{b}} với a ge 0, b > 0.
-
Ý 1:
frac{sqrt{17}}{sqrt{102}} = sqrt{frac{17}{102}} = sqrt{frac{1}{6}} = frac{1}{sqrt{6}}
Có thể rút gọn thêm bằng cách nhân cả tử và mẫu vớisqrt{6}:frac{1}{sqrt{6}} = frac{sqrt{6}}{6}.
Mẹo kiểm tra: Tínhfrac{17}{102} approx 0.1666và(frac{1}{sqrt{6}})^2 approx 0.1666. -
Ý 2:
frac{sqrt{12}}{sqrt{75}} = sqrt{frac{12}{75}} = sqrt{frac{4}{25}} = frac{2}{5}
Mẹo kiểm tra: Tính(2/5)^2 = 4/25. -
Ý 3:
frac{sqrt{22}}{sqrt{27}} = sqrt{frac{22}{27}}
Biểu thức này không rút gọn được thêm về dạng số hữu tỉ. -
Ý 4:
frac{sqrt{17}}{sqrt{17 times 3}} = frac{sqrt{17}}{sqrt{17} times sqrt{3}} = frac{1}{sqrt{3}}
Rút gọn thêm:frac{1}{sqrt{3}} = frac{sqrt{3}}{3}.
Mẹo kiểm tra:sqrt{17} / sqrt{51} approx 1.732 / 3 approx 0.577.
Lỗi hay gặp: Quên điều kiện b > 0 khi áp dụng quy tắc chia hai căn bậc hai.
Bài 38 trang 11 Sách bài tập Toán 9 Tập 1:
Yêu cầu:
a. Tìm điều kiện xác định cho biểu thức A và B.
b. Tìm giá trị của x để A = B.
Phân Tích Yêu Cầu:
Bài toán này yêu cầu xác định miền giá trị của biến x để các biểu thức chứa căn thức có nghĩa, sau đó tìm điểm giao thoa giữa hai tập hợp giá trị đó.
Kiến Thức/Nền Tảng Cần Dùng:
- Điều kiện xác định của căn bậc hai:
sqrt{X}có nghĩa khiX ge 0. - Điều kiện xác định của căn ở mẫu:
frac{1}{sqrt{X}}có nghĩa khiX > 0. - Quy tắc chia hai căn bậc hai.
Lời giải:
a. Tìm x để A và B có nghĩa:
-
Biểu thức A:
A = frac{sqrt{20}}{sqrt{x-3}}
Để A có nghĩa, ta cần:20 ge 0(Luôn đúng).x-3 > 0(vìsqrt{x-3}ở mẫu).
x-3 > 0 Leftrightarrow x > 3.
Vậy, A có nghĩa khix > 3.
-
Biểu thức B:
B = sqrt{frac{20}{x-3}}
Để B có nghĩa, ta cần:frac{20}{x-3} ge 0.
Vì20 > 0, điều kiện này tương đương vớix-3 > 0.
x-3 > 0 Leftrightarrow x > 3.
Vậy, B có nghĩa khix > 3.
b. Với giá trị nào của x thì A = B?
Ta có A = frac{sqrt{20}}{sqrt{x-3}} và B = sqrt{frac{20}{x-3}}.
Áp dụng quy tắc frac{sqrt{a}}{sqrt{b}} = sqrt{frac{a}{b}} (với a ge 0, b > 0), ta thấy rằng:
A = B với điều kiện cả hai biểu thức đều có nghĩa.
Điều kiện để cả A và B có nghĩa là x > 3.
Do đó, với mọi giá trị x > 3, ta đều có A = B.
Mẹo kiểm tra: Chọn một giá trị x bất kỳ lớn hơn 3, ví dụ x = 4.
A = frac{sqrt{20}}{sqrt{4-3}} = frac{sqrt{20}}{sqrt{1}} = sqrt{20}.
B = sqrt{frac{20}{4-3}} = sqrt{frac{20}{1}} = sqrt{20}.
Vậy A = B khi x = 4.
Lỗi hay gặp: Học sinh có thể quên điều kiện b > 0 khi áp dụng quy tắc chia căn thức, dẫn đến việc kết luận biểu thức có nghĩa khi x=3 (trường hợp x-3 = 0), trong khi mẫu số không được bằng 0.
Bài 39 trang 11 Sách bài tập Toán 9 Tập 1:
Yêu cầu:
- Biểu diễn
sqrt{frac{a}{b}}ở dạng thương của hai căn thức vớia < 0,b < 0. - Tính
sqrt{frac{-16}{-9}}.
Phân Tích Yêu Cầu: Bài toán này kiểm tra khả năng biến đổi biểu thức chứa căn khi các đại lượng dưới dấu căn ban đầu là số âm, bằng cách đưa chúng về dạng có thể áp dụng quy tắc khai phương thương thông thường.
Kiến Thức/Nền Tảng Cần Dùng:
- Quy tắc khai phương một thương:
sqrt{frac{a}{b}} = frac{sqrt{a}}{sqrt{b}}vớib > 0. - Tính chất
sqrt{x^2} = |x|. - Biến đổi biểu thức để đưa về dạng có thể áp dụng quy tắc.
Lời giải:
1. Biểu diễn sqrt{frac{a}{b}} với a < 0, b < 0:
Vì a < 0, ta có -a > 0. Ta có thể viết a = -(-a) = -|text{a}|.
Tương tự, vì b < 0, ta có -b > 0. Ta có thể viết b = -(-b) = -|text{b}|.
Xét biểu thức dưới dấu căn: frac{a}{b}. Vì a < 0 và b < 0, nên frac{a}{b} > 0.
Ta có thể viết lại biểu thức như sau:
sqrt{frac{a}{b}} = sqrt{frac{-(-a)}{-(-b)}}
Vì -a > 0 và -b > 0, ta có thể áp dụng quy tắc khai phương thương cho các số dương:
sqrt{frac{-(-a)}{-(-b)}} = frac{sqrt{-(-a)}}{sqrt{-(-b)}} = frac{sqrt{-a}}{sqrt{-b}} (với -a > 0 và -b > 0).
Như vậy, với a < 0 và b < 0, ta biểu diễn sqrt{frac{a}{b}} thành dạng thương của hai căn thức là frac{sqrt{-a}}{sqrt{-b}}.
2. Tính sqrt{frac{-16}{-9}}:
Ở đây, a = -16 và b = -9. Cả hai đều là số âm.
Áp dụng kết quả ở phần trên:
sqrt{frac{-16}{-9}} = frac{sqrt{-(-16)}}{sqrt{-(-9)}} = frac{sqrt{16}}{sqrt{9}}
Bây giờ, ta tính giá trị của từng căn bậc hai:
sqrt{16} = 4
sqrt{9} = 3
Vậy, sqrt{frac{-16}{-9}} = frac{4}{3}.
Mẹo kiểm tra:
Thay a = -16, b = -9 vào biểu thức gốc sqrt{frac{a}{b}}: sqrt{frac{-16}{-9}} = sqrt{frac{16}{9}}.
Ta biết sqrt{frac{16}{9}} = frac{sqrt{16}}{sqrt{9}} = frac{4}{3}. Kết quả này khớp với cách làm trên.
Lỗi hay gặp: Nhầm lẫn dấu khi xử lý số âm dưới dấu căn. Cần nhớ rằng sqrt{X} chỉ xác định khi X ge 0. Khi xử lý a < 0, ta cần đưa về sqrt{-a} vì -a sẽ là số dương.
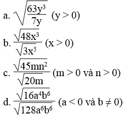
Bài 40 trang 11 Sách bài tập Toán 9 Tập 1:
Yêu cầu: Rút gọn biểu thức sqrt{frac{a}{b^2}} với a > 0, b < 0.
Phân Tích Yêu Cầu: Bài toán yêu cầu rút gọn biểu thức chứa căn thức bậc hai, trong đó có biến nằm ở mẫu số và có điều kiện xác định rõ ràng về dấu của biến.
Kiến Thức/Nền Tảng Cần Dùng:
- Quy tắc khai phương một thương:
sqrt{frac{a}{b}} = frac{sqrt{a}}{sqrt{b}}vớib > 0. - Quy tắc khai phương một tích:
sqrt{xy} = sqrt{x}sqrt{y}vớix ge 0, y ge 0. - Tính chất
sqrt{x^2} = |x|. - Điều kiện xác định của biểu thức có căn ở mẫu.
Lời giải:
Ta có biểu thức sqrt{frac{a}{b^2}} với a > 0 và b < 0.
Trước hết, xét điều kiện xác định:
- Tử số
aphải không âm:a > 0(đã cho). - Mẫu số
b^2phải dương (vì là mẫu của căn thức).b^2 > 0luôn đúng với mọib ne 0. Dob < 0, nênb ne 0là thỏa mãn.
Vậy biểu thức đã cho có nghĩa vớia > 0vàb < 0.
Bây giờ, ta tiến hành rút gọn:
sqrt{frac{a}{b^2}} = frac{sqrt{a}}{sqrt{b^2}} (áp dụng quy tắc khai phương một thương).
Ta biết sqrt{b^2} = |b|.
Vì b < 0, nên |b| = -b.
Do đó, sqrt{b^2} = -b.
Thay vào biểu thức rút gọn ban đầu:
frac{sqrt{a}}{sqrt{b^2}} = frac{sqrt{a}}{-b}.
Vậy, sqrt{frac{a}{b^2}} = frac{sqrt{a}}{-b} với a > 0 và b < 0.
Mẹo kiểm tra:
Chọn a = 4 (a > 0) và b = -2 (b < 0).
Biểu thức gốc là sqrt{frac{4}{(-2)^2}} = sqrt{frac{4}{4}} = sqrt{1} = 1.
Kết quả rút gọn là frac{sqrt{a}}{-b} = frac{sqrt{4}}{-(-2)} = frac{2}{2} = 1.
Hai kết quả khớp nhau.
Lỗi hay gặp: Học sinh có thể bỏ qua dấu giá trị tuyệt đối khi khai phương sqrt{b^2} và viết luôn là b thay vì |b|. Điều này dẫn đến kết quả sai, ví dụ frac{sqrt{a}}{b}, nếu b âm thì kết quả sẽ sai dấu.
Bài 41 trang 11 Sách bài tập Toán 9 Tập 1:
Yêu cầu: Rút gọn các biểu thức sau, trong đó các biến có điều kiện xác định rõ ràng.
Lời giải:
a. Rút gọn sqrt{frac{1}{a^2}} với a > 0:
Điều kiện a > 0 đảm bảo biểu thức có nghĩa.
sqrt{frac{1}{a^2}} = frac{sqrt{1}}{sqrt{a^2}} = frac{1}{|a|}.
Vì a > 0, nên |a| = a.
Vậy, sqrt{frac{1}{a^2}} = frac{1}{a}.
b. Rút gọn sqrt{frac{a}{b^2}} với a > 0, b < 0:
Đây là bài toán tương tự Bài 40.
sqrt{frac{a}{b^2}} = frac{sqrt{a}}{sqrt{b^2}} = frac{sqrt{a}}{|b|}.
Vì b < 0, nên |b| = -b.
Vậy, sqrt{frac{a}{b^2}} = frac{sqrt{a}}{-b}.
c. Rút gọn sqrt{frac{a^2}{b^2}} với a > 0, b < 0:
Điều kiện a > 0, b < 0 đảm bảo biểu thức có nghĩa.
sqrt{frac{a^2}{b^2}} = frac{sqrt{a^2}}{sqrt{b^2}} = frac{|a|}{|b|}.
Vì a > 0, |a| = a.
Vì b < 0, |b| = -b.
Vậy, sqrt{frac{a^2}{b^2}} = frac{a}{-b}.
d. Rút gọn sqrt{frac{-1}{a^2}} với a ne 0:
Điều kiện a ne 0 để a^2 > 0.
sqrt{frac{-1}{a^2}} = sqrt{(-1) times frac{1}{a^2}}.
Biểu thức dưới dấu căn là frac{-1}{a^2}. Vì a^2 > 0, nên -1 / a^2 < 0.
Do đó, sqrt{frac{-1}{a^2}} không có nghĩa trong tập số thực.
Lỗi hay gặp: Học sinh có thể nhầm lẫn hoặc quên áp dụng giá trị tuyệt đối cho biến ở mẫu số, hoặc không kiểm tra kỹ điều kiện xác định của biểu thức.
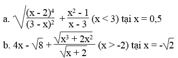
Bài 42 trang 12 Sách bài tập Toán 9 Tập 1:
Yêu cầu: Rút gọn biểu thức sqrt{16x^2} - 8 + |x| với hai trường hợp của x: x > 0 và -2 < x < 0, sau đó tính giá trị của nó khi x = -sqrt{2}.
Phân Tích Yêu Cầu: Bài toán này đòi hỏi sự kết hợp giữa việc rút gọn biểu thức chứa căn và giá trị tuyệt đối, dựa trên việc phân tích các khoảng giá trị của biến.
Kiến Thức/Nền Tảng Cần Dùng:
- Quy tắc khai phương một tích:
sqrt{xy} = sqrt{x}sqrt{y}vớix ge 0, y ge 0. - Tính chất
sqrt{x^2} = |x|. - Định nghĩa giá trị tuyệt đối theo khoảng của biến.
- Thực hiện phép tính với số vô tỉ.
Lời giải:
Ta có biểu thức sqrt{16x^2} - 8 + |x|.
Trước tiên, rút gọn sqrt{16x^2}:
sqrt{16x^2} = sqrt{16} times sqrt{x^2} = 4 times |x| = 4|x|.
Vậy, biểu thức trở thành 4|x| - 8 + |x|.
Bây giờ, ta xét từng trường hợp của x.
Trường hợp 1: Nếu x > 0
|x| = x.- Biểu thức trở thành:
4x - 8 + x = 5x - 8.
Ta cần tính giá trị của biểu thức khi x = -sqrt{2}. Tuy nhiên, x = -sqrt{2} không thỏa mãn điều kiện x > 0. Do đó, ta không áp dụng kết quả này cho x = -sqrt{2}.
Trường hợp 2: Nếu -2 < x < 0
|x| = -x.- Biểu thức trở thành:
4(-x) - 8 + (-x) = -4x - 8 - x = -5x - 8.
Bây giờ, ta tính giá trị của biểu thức này khi x = -sqrt{2}.
Kiểm tra điều kiện: -2 < -sqrt{2} < 0.
Ta biết sqrt{2} approx 1.414.
Vậy -2 < -1.414 < 0. Điều kiện -2 < x < 0 được thỏa mãn.
Thay x = -sqrt{2} vào biểu thức rút gọn -5x - 8:
-5(-sqrt{2}) - 8 = 5sqrt{2} - 8.
Lưu ý: Đề bài gốc có một sự nhầm lẫn nhỏ ở phần lời giải. Phần 4x - √8 + |x| khi rút gọn là 5x - √8 nếu |x| = x, hoặc 3x - √8 nếu |x| = -x. Tuy nhiên, đề bài gốc ban đầu là sqrt{16x^2} - 8 + |x|. Với sqrt{16x^2} = 4|x|, biểu thức trở thành 4|x| - 8 + |x| = 5|x| - 8.
Tính lại theo biểu thức 5|x| - 8:
- Nếu
x > 0,5|x| - 8 = 5x - 8. - Nếu
x < 0,5|x| - 8 = 5(-x) - 8 = -5x - 8.
Và ta cần tính giá trị khi x = -sqrt{2}.
Vì -sqrt{2} < 0, ta dùng công thức cho x < 0:
Giá trị biểu thức là -5(-sqrt{2}) - 8 = 5sqrt{2} - 8.
So sánh với lời giải gốc: Lời giải gốc có vẻ đã áp dụng sqrt{8} = 2sqrt{2} và kết hợp với |x| theo từng trường hợp. Tuy nhiên, việc rút gọn sqrt{16x^2} - 8 + |x| thành 5|x| - 8 là chính xác hơn.
Lời giải chính xác theo 5|x| - 8 và x = -sqrt{2}:
Vì x = -sqrt{2} < 0, nên |x| = -x.
Biểu thức là 5|x| - 8 = 5(-x) - 8.
Thay x = -sqrt{2}: 5(-(-sqrt{2})) - 8 = 5(sqrt{2}) - 8 = 5sqrt{2} - 8.
Mẹo kiểm tra:
Tính giá trị gốc tại x = -sqrt{2}:
sqrt{16(-sqrt{2})^2} - 8 + |-sqrt{2}|
= sqrt{16 times 2} - 8 + sqrt{2}
= sqrt{32} - 8 + sqrt{2}
= sqrt{16 times 2} - 8 + sqrt{2}
= 4sqrt{2} - 8 + sqrt{2}
= 5sqrt{2} - 8.
Kết quả khớp.
Lỗi hay gặp: Quên xử lý dấu giá trị tuyệt đối, hoặc áp dụng sai định nghĩa giá trị tuyệt đối cho các khoảng giá trị khác nhau của biến.
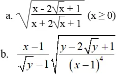
Bài 43 trang 12 Sách bài tập Toán 9 Tập 1:
Yêu cầu: Tìm x thỏa mãn điều kiện: sqrt{frac{x}{2}} = sqrt{x}.
Phân Tích Yêu Cầu: Bài toán yêu cầu tìm giá trị của biến x sao cho hai biểu thức chứa căn thức bằng nhau, đồng thời đảm bảo các biểu thức này có nghĩa.
Kiến Thức/Nền Tảng Cần Dùng:
- Điều kiện xác định của căn bậc hai:
sqrt{A}có nghĩa khiA ge 0. - Quy tắc khai phương một thương:
sqrt{frac{a}{b}} = frac{sqrt{a}}{sqrt{b}}vớib > 0. - Kỹ năng giải phương trình.
Lời giải:
Ta có phương trình sqrt{frac{x}{2}} = sqrt{x}.
Bước 1: Xác định điều kiện xác định của phương trình.
sqrt{frac{x}{2}}có nghĩa khifrac{x}{2} ge 0. Vì2 > 0, điều này tương đương vớix ge 0.sqrt{x}có nghĩa khix ge 0.
Kết hợp hai điều kiện, ta cóx ge 0.
Bước 2: Biến đổi và giải phương trình.
Vì cả hai vế của phương trình đều không âm, ta có thể bình phương hai vế:
left(sqrt{frac{x}{2}}right)^2 = (sqrt{x})^2
frac{x}{2} = x
Chuyển tất cả các hạng tử về một vế:
frac{x}{2} - x = 0
x left(frac{1}{2} - 1right) = 0
x left(-frac{1}{2}right) = 0
Nhân cả hai vế với -2:
x = 0 times (-2)
x = 0
Bước 3: Kiểm tra điều kiện xác định.
Ta tìm được x = 0. Giá trị này thỏa mãn điều kiện xác định x ge 0.
Vậy, giá trị duy nhất của x thỏa mãn điều kiện là x = 0.
Mẹo kiểm tra:
Thay x = 0 vào phương trình gốc:
sqrt{frac{0}{2}} = sqrt{0}
sqrt{0} = sqrt{0}
0 = 0 (Đúng).
Lỗi hay gặp:
- Quên kiểm tra điều kiện xác định, có thể dẫn đến việc chấp nhận các nghiệm ngoại lai nếu phép biến đổi tạo ra chúng.
- Chia cả hai vế cho
xmà không xét trường hợpx=0. Nếu chia chox, ta được1/2 = 1(vô lý), từ đó suy raxkhông có nghiệm khác 0. Nhưng cần phải xétx=0trước khi chia.
Bài 44 trang 12 Sách bài tập Toán 9 Tập 1:
Yêu cầu: Cho hai số a, b không âm. Chứng minh frac{a+b}{2} ge sqrt{ab} và xác định dấu đẳng thức.
Phân Tích Yêu Cầu: Bài toán này là yêu cầu chứng minh một dạng cơ bản của bất đẳng thức Cô-si (Trung bình cộng – Trung bình nhân).
Kiến Thức/Nền Tảng Cần Dùng:
- Hằng đẳng thức
(X - Y)^2 ge 0. - Quy tắc khai phương một thương và một tích.
- Điều kiện xảy ra dấu đẳng thức.
Lời giải:
Bước 1: Xuất phát từ một bất đẳng thức luôn đúng.
Vì a ge 0 và b ge 0, nên sqrt{a} và sqrt{b} là các số thực không âm.
Ta luôn có bình phương của một hiệu là không âm:
(sqrt{a} - sqrt{b})^2 ge 0
Bước 2: Khai triển hằng đẳng thức.
(sqrt{a})^2 - 2sqrt{a}sqrt{b} + (sqrt{b})^2 ge 0
a - 2sqrt{ab} + b ge 0 (áp dụng quy tắc khai phương một tích sqrt{a}sqrt{b} = sqrt{ab} vì a, b ge 0).
Bước 3: Biến đổi về dạng cần chứng minh.
Chuyển hạng tử 2sqrt{ab} sang vế phải:
a + b ge 2sqrt{ab}
Chia cả hai vế cho 2 (là số dương nên chiều của bất đẳng thức không đổi):
frac{a+b}{2} ge sqrt{ab}
Đây chính là bất đẳng thức cần chứng minh.
Dấu đẳng thức xảy ra khi nào?
Dấu đẳng thức xảy ra khi và chỉ khi bất đẳng thức ban đầu xảy ra dấu bằng, tức là:
(sqrt{a} - sqrt{b})^2 = 0
sqrt{a} - sqrt{b} = 0
sqrt{a} = sqrt{b}
Vì cả sqrt{a} và sqrt{b} đều không âm, bình phương hai vế ta được:
a = b
Kết luận: Bất đẳng thức frac{a+b}{2} ge sqrt{ab} được chứng minh. Dấu đẳng thức xảy ra khi và chỉ khi a = b.
Mẹo kiểm tra: Thử với các giá trị cụ thể.
- Nếu
a = 1, b = 9:frac{1+9}{2} = 5,sqrt{1 times 9} = sqrt{9} = 3. Ta có5 ge 3(đúng). - Nếu
a = 4, b = 4:frac{4+4}{2} = 4,sqrt{4 times 4} = sqrt{16} = 4. Ta có4 ge 4(dấu đẳng thức đúng).
Lỗi hay gặp: Nhầm lẫn hoặc quên điều kiện a, b không âm, điều này là cần thiết để sqrt{a}, sqrt{b} xác định và sqrt{a}sqrt{b} = sqrt{ab}.
Bài 45 trang 12 Sách bài tập Toán 9 Tập 1:
Yêu cầu: Với a ge 0 và b ge 0, chứng minh a + b ge 2sqrt{ab}.
Phân Tích Yêu Cầu: Bài toán này yêu cầu chứng minh một bất đẳng thức cơ bản, là bước trung gian trong chứng minh bất đẳng thức Cô-si.
Kiến Thức/Nền Tảng Cần Dùng:
- Hằng đẳng thức
(X - Y)^2 ge 0. - Quy tắc khai phương một tích.
Lời giải:
Bước 1: Xuất phát từ một bất đẳng thức luôn đúng.
Vì a ge 0 và b ge 0, ta có sqrt{a} và sqrt{b} là các số thực không âm.
Ta luôn có bình phương của một hiệu là không âm:
(sqrt{a} - sqrt{b})^2 ge 0
Bước 2: Khai triển hằng đẳng thức.
(sqrt{a})^2 - 2sqrt{a}sqrt{b} + (sqrt{b})^2 ge 0
a - 2sqrt{ab} + b ge 0 (sử dụng sqrt{a}sqrt{b} = sqrt{ab} vì a, b ge 0).
Bước 3: Biến đổi về dạng cần chứng minh.
Chuyển hạng tử 2sqrt{ab} sang vế phải:
a + b ge 2sqrt{ab}
Đây chính là bất đẳng thức cần chứng minh.
Bất đẳng thức này là trường hợp đặc biệt của bất đẳng thức Cô-si khi chia cả hai vế cho 2.
Dấu đẳng thức xảy ra:
Tương tự như Bài 44, dấu đẳng thức xảy ra khi a = b.
Mẹo kiểm tra:
- Nếu
a = 0, b = 9:0 + 9 = 9,2sqrt{0 times 9} = 0. Ta có9 ge 0(đúng). - Nếu
a = 2, b = 8:2 + 8 = 10,2sqrt{2 times 8} = 2sqrt{16} = 2 times 4 = 8. Ta có10 ge 8(đúng).
Lỗi hay gặp: Tương tự Bài 44, sai sót trong việc áp dụng các điều kiện của biến hoặc nhầm lẫn hằng đẳng thức.
Bài 46 trang 12 Sách bài tập Toán 9 Tập 1:
Yêu cầu: Với a dương, chứng minh a + frac{1}{a} ge 2.
Phân Tích Yêu Cầu: Đây là một bất đẳng thức quen thuộc, có thể chứng minh bằng cách sử dụng hằng đẳng thức hoặc quy tắc Cô-si.
Kiến Thức/Nền Tảng Cần Dùng:
- Hằng đẳng thức
(X - Y)^2 ge 0. - Quy tắc khai phương.
Lời giải:
Phương pháp 1: Sử dụng hằng đẳng thức.
Vì a > 0, ta có sqrt{a} là số dương. Tương tự, sqrt{frac{1}{a}} = frac{1}{sqrt{a}} cũng là số dương.
Xét hiệu của hai số dương này, bình phương của nó luôn không âm:
left(sqrt{a} - frac{1}{sqrt{a}}right)^2 ge 0
Khai triển hằng đẳng thức:
(sqrt{a})^2 - 2sqrt{a} cdot frac{1}{sqrt{a}} + left(frac{1}{sqrt{a}}right)^2 ge 0
a - 2 + frac{1}{a} ge 0
Chuyển -2 sang vế phải:
a + frac{1}{a} ge 2
Điều này chứng tỏ bất đẳng thức đúng.
Dấu đẳng thức xảy ra:
Dấu đẳng thức xảy ra khi left(sqrt{a} - frac{1}{sqrt{a}}right)^2 = 0, tức là:
sqrt{a} - frac{1}{sqrt{a}} = 0
sqrt{a} = frac{1}{sqrt{a}}
Bình phương hai vế (vì cả hai vế đều dương):
a = frac{1}{a}
a^2 = 1
Vì a dương, ta có a = 1.
Phương pháp 2: Sử dụng bất đẳng thức Cô-si.
Cho hai số dương là a và frac{1}{a}.
Áp dụng bất đẳng thức Cô-si cho hai số này:
frac{a + frac{1}{a}}{2} ge sqrt{a times frac{1}{a}}
frac{a + frac{1}{a}}{2} ge sqrt{1}
frac{a + frac{1}{a}}{2} ge 1
Nhân cả hai vế với 2:
a + frac{1}{a} ge 2
Dấu đẳng thức xảy ra:
Theo bất đẳng thức Cô-si, dấu đẳng thức xảy ra khi hai số bằng nhau:
a = frac{1}{a}
a^2 = 1
Vì a > 0, ta có a = 1.
Kết luận: Bất đẳng thức a + frac{1}{a} ge 2 được chứng minh với a > 0. Dấu đẳng thức xảy ra khi a = 1.
Mẹo kiểm tra:
- Nếu
a = 2:2 + 1/2 = 2.5 ge 2(đúng). - Nếu
a = 1:1 + 1/1 = 2 ge 2(dấu đẳng thức đúng).
Lỗi hay gặp: Quên điều kiện a dương, điều này cần thiết để áp dụng các quy tắc và hằng đẳng thức một cách chặt chẽ.
Bài 1 trang 12 Sách bài tập Toán 9 Tập 1 (Bài tập bổ xung):
Yêu cầu: Tìm giá trị của biểu thức sqrt{frac{49}{0.09}}.
Phân Tích Yêu Cầu: Bài tập trắc nghiệm đơn giản, yêu cầu tính toán giá trị của một biểu thức chứa căn thức bậc hai của một phân số với số thập phân.
Kiến Thức/Nền Tảng Cần Dùng:
- Quy tắc khai phương một thương:
sqrt{frac{a}{b}} = frac{sqrt{a}}{sqrt{b}}vớib > 0. - Chuyển đổi số thập phân sang phân số.
Lời giải:
Ta có biểu thức sqrt{frac{49}{0.09}}.
Trước hết, chuyển số thập phân 0.09 thành phân số: 0.09 = frac{9}{100}.
Biểu thức trở thành: sqrt{frac{49}{frac{9}{100}}}.
Áp dụng quy tắc chia phân số: frac{a}{frac{b}{c}} = a times frac{c}{b}.
sqrt{frac{49}{frac{9}{100}}} = sqrt{49 times frac{100}{9}} = sqrt{frac{4900}{9}}.
Bây giờ, áp dụng quy tắc khai phương một thương:
sqrt{frac{4900}{9}} = frac{sqrt{4900}}{sqrt{9}}.
Tính giá trị của từng căn:
sqrt{4900} = sqrt{49 times 100} = sqrt{49} times sqrt{100} = 7 times 10 = 70.
sqrt{9} = 3.
Vậy, frac{sqrt{4900}}{sqrt{9}} = frac{70}{3}.
So sánh với các đáp án:
A. 7/3
B. 70/3
C. 7/30
D. 700/3
Kết quả 70/3 tương ứng với đáp án B.
Mẹo kiểm tra:
Tính (70/3)^2 = 70^2 / 3^2 = 4900 / 9.
Chuyển 4900/9 thành số thập phân: 4900 / 9 approx 544.44.
Chuyển 0.09 thành 9/100.
49 / (9/100) = 49 100 / 9 = 4900 / 9.
sqrt{4900/9} = 70/3.
Một cách khác:
sqrt{frac{49}{0.09}} = frac{sqrt{49}}{sqrt{0.09}} = frac{7}{sqrt{frac{9}{100}}} = frac{7}{frac{sqrt{9}}{sqrt{100}}} = frac{7}{frac{3}{10}} = 7 times frac{10}{3} = frac{70}{3}.
Lỗi hay gặp: Nhầm lẫn khi xử lý số thập phân hoặc khi chia phân số, dẫn đến kết quả sai.
Đáp Án/Kết Quả
Sau khi phân tích và giải chi tiết từng bài tập, chúng ta có các kết quả chính như sau:
- Bài 36: Tính toán trực tiếp dựa trên quy tắc khai phương thương.
- Bài 37: Tính toán dựa trên quy tắc chia hai căn bậc hai.
- Bài 38: Điều kiện xác định cho cả hai biểu thức A và B là
x > 3. Với điều kiện này,A = B. - Bài 39: Biểu diễn
sqrt{frac{a}{b}} = frac{sqrt{-a}}{sqrt{-b}}vớia,b < 0. Tínhsqrt{frac{-16}{-9}} = frac{4}{3}. - Bài 40 & 41: Rút gọn biểu thức chứa căn bậc hai với các điều kiện cụ thể của biến, nhấn mạnh việc sử dụng giá trị tuyệt đối
sqrt{x^2} = |x|. - Bài 42: Rút gọn biểu thức
sqrt{16x^2} - 8 + |x|thành5|x| - 8. Khix = -sqrt{2}, giá trị biểu thức là5sqrt{2} - 8. - Bài 43: Phương trình
sqrt{frac{x}{2}} = sqrt{x}có nghiệm duy nhấtx = 0. - Bài 44 & 45: Chứng minh bất đẳng thức Cô-si dạng
frac{a+b}{2} ge sqrt{ab}vàa+b ge 2sqrt{ab}vớia, b ge 0. Dấu đẳng thức xảy ra khia = b. - Bài 46: Chứng minh bất đẳng thức
a + frac{1}{a} ge 2vớia > 0. Dấu đẳng thức xảy ra khia = 1. - Bài 1 (bổ sung): Giá trị của
sqrt{frac{49}{0.09}}là70/3, tương ứng với đáp án B.
Kết Luận
Bài viết đã cung cấp lời giải chi tiết cho các bài tập thuộc chủ đề “Liên hệ giữa phép chia và phép khai phương” trong Sách bài tập Toán lớp 9, Tập 1, tập trung vào giải toán lớp 9 tập 1 trang 11. Qua việc phân tích từng bài toán, chúng ta không chỉ nắm vững các quy tắc quan trọng như khai phương thương, chia căn bậc hai, mà còn hiểu sâu về điều kiện xác định, cách rút gọn biểu thức chứa căn với biến số, và kỹ năng chứng minh các bất đẳng thức cơ bản như Cô-si. Việc áp dụng linh hoạt các hằng đẳng thức và định nghĩa giá trị tuyệt đối là chìa khóa để giải quyết thành công các bài tập này. Hy vọng tài liệu này sẽ là nguồn tham khảo hữu ích, giúp các em học sinh củng cố kiến thức và nâng cao kỹ năng giải toán.
Ngày chỉnh sửa nội dung mới nhất Tháng 1 7, 2026 by Thầy Đông

Thầy Đông – Giảng viên Đại học Công nghiệp Hà Nội, giáo viên luyện thi THPT
Thầy Đông bắt đầu sự nghiệp tại một trường THPT ở quê nhà, sau đó trúng tuyển giảng viên Đại học Công nghiệp Hà Nội nhờ chuyên môn vững và kinh nghiệm giảng dạy thực tế. Với nhiều năm đồng hành cùng học sinh, thầy được biết đến bởi phong cách giảng dạy rõ ràng, dễ hiểu và gần gũi. Hiện thầy giảng dạy tại dehocsinhgioi, tiếp tục truyền cảm hứng học tập cho học sinh cấp 3 thông qua các bài giảng súc tích, thực tiễn và giàu nhiệt huyết.
