Giải Toán Lớp 5 Trang 135 Kết Nối Tri Thức: Ôn Tập Chung
Chào mừng các em học sinh đến với bài hướng dẫn giải toán lớp 5 trang 135 sách Kết nối tri thức. Trang bài tập này tập trung vào việc ôn tập các kiến thức quan trọng về phân số, hỗn số và số thập phân, giúp củng cố và nâng cao kỹ năng tính toán của các em. Trong bài viết này, chúng ta sẽ cùng nhau đi sâu vào từng dạng bài tập, từ việc nhận diện, chuyển đổi các loại số đến thực hiện các phép tính một cách chính xác và hiệu quả nhất.
Đề Bài
Bài 1:
a) Viết rồi đọc hỗn số chỉ phần đã tô màu của mỗi hình dưới đây (theo mẫu).
b) Chuyển các hỗn số sau thành phân số (theo mẫu):
c) Chuyển các phân số sau thành số thập phân (theo mẫu).
Bài 2: Tính.
Bài 3: Tính bằng cách thuận tiện.
Phân Tích Yêu Cầu
Bài tập trang 135 là phần ôn tập chương, bao gồm ba dạng chính:
- Bài 1: Tập trung vào việc nhận biết và biểu diễn số dưới dạng hỗn số, phân số và số thập phân.
- Phần a) yêu cầu học sinh quan sát hình vẽ đã được chia và tô màu, sau đó biểu diễn phần tô màu dưới dạng hỗn số và đọc nó lên.
- Phần b) yêu cầu chuyển đổi từ dạng hỗn số sang phân số.
- Phần c) yêu cầu chuyển đổi từ dạng phân số (có mẫu số là lũy thừa của 10 hoặc có thể quy đồng về dạng đó) sang số thập phân.
- Bài 2: Yêu cầu học sinh thực hiện các phép tính cơ bản với phân số và số thập phân, bao gồm cộng, trừ, nhân, chia.
- Bài 3: Đòi hỏi kỹ năng vận dụng tính chất giao hoán, kết hợp, phân phối của phép tính để thực hiện các phép tính một cách “thuận tiện” nhất, giúp tiết kiệm thời gian và giảm thiểu sai sót.
Kiến Thức/Nền Tảng Cần Dùng
Để hoàn thành tốt các bài tập này, học sinh cần nắm vững các kiến thức sau:
-
Phân số:
- Khái niệm phân số, tử số, mẫu số.
- Các phép tính cộng, trừ, nhân, chia phân số.
- Quy đồng mẫu số các phân số.
- Chuyển phân số thành số thập phân: Chia tử số cho mẫu số.
-
Hỗn số:
- Khái niệm hỗn số: Số nguyên và phần phân số.
- Chuyển đổi giữa hỗn số và phân số:
- Hỗn số $to$ Phân số: afrac{b}{c} = \frac{a \times c + b}{c}
- Phân số $to$ Hỗn số: Chia tử số cho mẫu số, thương là phần nguyên, số dư là tử số mới, mẫu số giữ nguyên.
-
Số thập phân:
- Khái niệm số thập phân, hàng phần mười, phần trăm, phần nghìn,…
- Chuyển đổi giữa phân số thập phân và số thập phân.
- Các phép tính cộng, trừ, nhân, chia số thập phân.
-
Tính chất của phép tính:
- Giao hoán: a+b = b+a, a \times b = b \times a.
- Kết hợp: (a+b)+c = a+(b+c), (a \times b) \times c = a \times (b \times c).
- Phân phối: a \times (b+c) = a \times b + a \times c.
Hướng Dẫn Giải Chi Tiết
Bài 1: Liên quan đến Phân số, Hỗn số và Số thập phân
a) Viết rồi đọc hỗn số chỉ phần đã tô màu của mỗi hình:
Quan sát các hình vẽ, ta sẽ xác định được:
- Mỗi hình được chia thành bao nhiêu phần bằng nhau (đây là mẫu số của phân số).
- Có bao nhiêu phần được tô màu (đây là tử số của phân số).
- Có bao nhiêu hình nguyên vẹn được tô màu.
Ví dụ: Nếu một hình tròn chia làm 4 phần bằng nhau, tô màu 3 phần, và có 1 hình tròn nguyên vẹn khác được tô màu, thì phần tô màu đó sẽ là 1 hỗn số.
Số nguyên là số hình nguyên vẹn đã tô màu.
Phần phân số là phần tô màu trong hình còn lại, với tử số là số phần tô màu và mẫu số là tổng số phần của hình đó.
Hình ảnh minh họa bài 1a
Dựa vào hình ảnh được cung cấp:
- Hình đầu tiên: Có 1 hình nguyên vẹn và 1/4 của hình thứ hai được tô màu. Vậy hỗn số là 1frac{1}{4}. Đọc là: Một và một phần tư.
- Hình thứ hai: Có 2 hình nguyên vẹn và 3/4 của hình thứ ba được tô màu. Vậy hỗn số là 2frac{3}{4}. Đọc là: Hai và ba phần tư.
- Hình thứ ba: Có 3 hình nguyên vẹn và 1/2 của hình thứ tư được tô màu. Vậy hỗn số là 3frac{1}{2}. Đọc là: Ba và một phần hai.
b) Chuyển các hỗn số sau thành phân số:
Chúng ta sẽ áp dụng quy tắc chuyển hỗn số thành phân số: Lấy phần nguyên nhân với mẫu số rồi cộng với tử số, giữ nguyên mẫu số.
- 5frac{2}{5} = \frac{5 \times 5 + 2}{5} = \frac{25 + 2}{5} = \frac{27}{5}
- 4frac{7}{10} = \frac{4 \times 10 + 7}{10} = \frac{40 + 7}{10} = \frac{47}{10}
- 6frac{13}{100} = \frac{6 \times 100 + 13}{100} = \frac{600 + 13}{100} = \frac{613}{100}
c) Chuyển các phân số sau thành số thập phân:
Để chuyển phân số thành số thập phân, ta chia tử số cho mẫu số. Nếu mẫu số là lũy thừa của 10 hoặc có thể quy đồng về dạng đó, việc chuyển đổi sẽ dễ dàng hơn.
-
\frac{96}{50}: Ta có thể quy đồng mẫu số về 100 bằng cách nhân cả tử và mẫu với 2.
\frac{96}{50} = \frac{96 \times 2}{50 \times 2} = \frac{192}{100} = 1,92
Hoặc thực hiện phép chia: 96 div 50 = 1,92. -
\frac{327}{300}: Ta có thể chia cả tử và mẫu cho 3 để đưa về mẫu số là 100.
\frac{327}{300} = \frac{327 div 3}{300 div 3} = \frac{109}{100} = 1,09
Hoặc thực hiện phép chia: 327 div 300 = 1,09. -
\frac{204}{125}: Để chuyển phân số này sang số thập phân, ta cần đưa mẫu số về 1000 (vì 125 x 8 = 1000).
\frac{204}{125} = \frac{204 \times 8}{125 \times 8} = \frac{1632}{1000} = 1,632
Hoặc thực hiện phép chia: 204 div 125 = 1,632.
Mẹo kiểm tra:
- Với bài 1b: Sau khi chuyển hỗn số thành phân số, phân số thu được phải có tử số lớn hơn mẫu số (trừ trường hợp phần phân số là 0).
- Với bài 1c: Nếu phân số có thể viết dưới dạng số thập phân hữu hạn, thì mẫu số của phân số tối giản chỉ chứa các thừa số nguyên tố 2 và 5.
Lỗi hay gặp:
- Nhầm lẫn khi nhân hoặc cộng trong công thức chuyển hỗn số sang phân số.
- Thực hiện phép chia phân số sang số thập phân sai, đặc biệt với các phân số có mẫu số không phải là lũy thừa của 10.
- Sai sót trong việc quy đồng mẫu số.
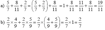
Bài 2: Tính (Phép toán với Phân số và Số thập phân)
Bài tập này yêu cầu thực hiện các phép tính cộng, trừ, nhân, chia.
Lời giải:
-
\frac{5}{7} - \frac{3}{4}: Cần quy đồng mẫu số. Mẫu số chung nhỏ nhất là 28.
\frac{5}{7} - \frac{3}{4} = \frac{5 \times 4}{7 \times 4} - \frac{3 \times 7}{4 \times 7} = \frac{20}{28} - \frac{21}{28} = \frac{20 - 21}{28} = \frac{-1}{28} -
\frac{5}{7} + \frac{3}{4}: Quy đồng mẫu số tương tự.
\frac{5}{7} + \frac{3}{4} = \frac{20}{28} + \frac{21}{28} = \frac{20 + 21}{28} = \frac{41}{28} - \frac{5}{7} \times \frac{3}{4} = \frac{5 \times 3}{7 \times 4} = \frac{15}{28}
- \frac{5}{7} div \frac{3}{4} = \frac{5}{7} \times \frac{4}{3} = \frac{5 \times 4}{7 \times 3} = \frac{20}{21}
Các phép tính với số thập phân:
-
1,35 + 2,7:
1,35 + 2,70 ------ 4,05Kết quả là $4,05$.
-
3,05 - 1,2:
3,05 - 1,20 ------ 1,85Kết quả là $1,85$.
-
$1,05 times 2,3$:
1,05 x 2,3 ------ 315 (105 x 3) 2100 (105 x 20) ------ 2,415Kết quả là $2,415$.
-
$2,4 div 1,2$:
Ta có thể viết lại là 24 div 12 = 2.
Hoặc: 2,4 div 1,2 = \frac{24}{10} div \frac{12}{10} = \frac{24}{10} \times \frac{10}{12} = \frac{24}{12} = 2.
Kết quả là $2$.
Hình ảnh minh họa bài 2
Mẹo kiểm tra:
- Với phép cộng/trừ phân số: Số bị trừ/trừ đi lớn hơn, kết quả phải nhỏ hơn (nếu các phân số dương).
- Với phép nhân phân số: Nếu nhân hai phân số nhỏ hơn 1, kết quả sẽ nhỏ hơn hai phân số đó.
- Với phép chia phân số: Chia cho một phân số nhỏ hơn 1 sẽ cho kết quả lớn hơn.
- Với phép tính số thập phân: Ước lượng kết quả trước khi tính. Ví dụ: 1,35 + 2,7 xấp xỉ 1+3=4.
Lỗi hay gặp:
- Nhầm lẫn quy tắc cộng trừ nhân chia phân số.
- Sai sót trong việc đặt dấu phẩy khi cộng trừ nhân chia số thập phân.
- Thực hiện sai phép chia, đặc biệt khi số chia có phần thập phân.
Bài 3: Tính bằng cách thuận tiện
Bài tập này yêu cầu áp dụng các tính chất của phép tính để nhóm các số hạng hoặc các thừa số sao cho việc tính toán trở nên đơn giản hơn.
Lời giải:
-
a) \frac{2}{3} + \frac{3}{4} + \frac{1}{6} + \frac{1}{4}
Ta nhận thấy có các cặp phân số có thể cộng lại với nhau dễ dàng:
Nhóm \frac{2}{3} và \frac{1}{6}: Cần quy đồng mẫu số 3 và 6. Mẫu số chung là 6.
\frac{2}{3} = \frac{2 \times 2}{3 \times 2} = \frac{4}{6}
\frac{2}{3} + \frac{1}{6} = \frac{4}{6} + \frac{1}{6} = \frac{5}{6}
Nhóm \frac{3}{4} và \frac{1}{4}: Hai phân số này có cùng mẫu số.
\frac{3}{4} + \frac{1}{4} = \frac{3+1}{4} = \frac{4}{4} = 1
Vậy, phép tính trở thành: \frac{5}{6} + 1 = 1frac{5}{6} -
b) $4,5 times 0,2 times 0,5 times 4$
Ta có thể nhóm các số lại để tạo ra số tròn chục, tròn trăm hoặc số nguyên.
Nhóm $0,2 times 0,5$:
0,2 \times 0,5 = \frac{2}{10} \times \frac{5}{10} = \frac{10}{100} = 0,1
Nhóm $4,5 times 4$:
4,5 \times 4 = (4+0,5) \times 4 = 4 \times 4 + 0,5 \times 4 = 16 + 2 = 18
Hoặc 4,5 \times 2 \times 2 = 9 \times 2 = 18.
Vậy phép tính trở thành: 0,1 \times 18 = 1,8Một cách nhóm khác:
Nhóm 0,2 \times 4 = 0,8
Nhóm 4,5 \times 0,5 = 4,5 \times \frac{1}{2} = 2,25
Phép tính trở thành: $2,25 times 0,8$.
2,25 \times 0,8 = 2,25 \times \frac{8}{10} = \frac{2,25 \times 8}{10} = \frac{18}{10} = 1,8.Một cách nhóm nữa để tạo số nguyên:
Nhóm 4,5 \times 4 = 18
Nhóm 0,2 \times 0,5 = 0,1
18 \times 0,1 = 1,8.
Hình ảnh minh họa bài 3
Mẹo kiểm tra:
- Với bài toán cộng/trừ: Tìm các số hạng có thể cộng lại với nhau để tạo ra số nguyên hoặc phân số có mẫu số dễ tính.
- Với bài toán nhân: Tìm các thừa số có thể nhân với nhau để tạo ra số nguyên, số tròn chục, tròn trăm.
Lỗi hay gặp:
- Nhầm lẫn các tính chất giao hoán, kết hợp, phân phối.
- Áp dụng sai hoặc không nhận ra cơ hội áp dụng các tính chất này.
- Sai sót trong các phép tính trung gian khi nhóm các số.
Bài tập giải toán lớp 5 trang 135 là cơ hội tuyệt vời để các em học sinh củng cố kiến thức về phân số, hỗn số và số thập phân. Việc luyện tập thường xuyên, chú ý đến từng bước giải và cách áp dụng các tính chất toán học sẽ giúp các em tự tin chinh phục mọi dạng bài. Chúc các em học tốt!
Ngày chỉnh sửa nội dung mới nhất Tháng 1 7, 2026 by Thầy Đông

Thầy Đông – Giảng viên Đại học Công nghiệp Hà Nội, giáo viên luyện thi THPT
Thầy Đông bắt đầu sự nghiệp tại một trường THPT ở quê nhà, sau đó trúng tuyển giảng viên Đại học Công nghiệp Hà Nội nhờ chuyên môn vững và kinh nghiệm giảng dạy thực tế. Với nhiều năm đồng hành cùng học sinh, thầy được biết đến bởi phong cách giảng dạy rõ ràng, dễ hiểu và gần gũi. Hiện thầy giảng dạy tại dehocsinhgioi, tiếp tục truyền cảm hứng học tập cho học sinh cấp 3 thông qua các bài giảng súc tích, thực tiễn và giàu nhiệt huyết.
